
nilai cos -15 derajat - Brainly.co.id

Nilai dari cos 15° adalah… - YouTube

Tentukan nilai dari: a. sin 15° b. cos 15° c. tan 15° d. tan 165° e. cos 165° f. cosec 165° - Mas Dayat
cara menentukan sin 15°, cos 15° dan tan 15° - Brainly.co.id
nilai dari cos 15 derajat - Brainly.co.id

Nilai Dari Cos 15 adalah a. 1/4 Akar 3(1 +*akar 2) b. 1/4 Akar 2(1 +*akar 3) c. 1/2 Akar 3 - Brainly.co.id

nilai cos 15 - sin 195 - Brainly.co.id

Nilai cos 15° adalah - Mas Dayat

Nilai dari Sin, Cos, Tan 15 Derajat - SM BLOG

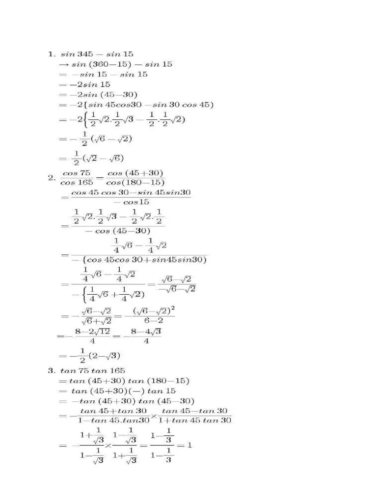
tentukan nilai cos 75°-cos 15° - Brainly.co.id
Menghitung Nilai sin dan cos 15 derajat ~ Konsep Matematika (KoMa)

Soal Nilai dari (sin 15^(@)-cos 15^(@))/(tan 15^(@)) adalah…

Nilai dari 2 cos 105° cos 15° = - Mas Dayat

Soal Nilai dari cos 45^(@)cos 15^(@) adalah

Nilai dari cos 75 + cos 15 adalah …. - YouTube
Nilai Dari Sin 150 Derajat + Cos 45 Derajat Adalah

Mencari cos 15 dan cos 75 - Matematika SMA
Menghitung Nilai sin dan cos 15 derajat ~ Konsep Matematika (KoMa)

Soal Nilai dari (sin 15^(@)-cos 15^(@))/(tan 15^(@)) adalah…

Nilai dari sin 75° - sin 15° / cos 105° - cos 15° adalah - YouTube

Nilai cos (-15°) adalah

Tentukan nilai dari: a. sin 15° b. cos 15° c. tan 15° d. tan 165° e. cos 165° f. cosec 165° - Mas Dayat

Soal Nilai dari (cos 105^(@)+cos 15^(@))/(sin 105^(@)-sin 15^(@)) adalah dots dots A. 0 B. 1 C.

Tentukan nilai dari 2 cos 75° cos 15° - Brainly.co.id

- Nilai dari cos 75 derajat + cos 15 derajat - YouTube

Soal Tentukan nilai trigonometri dari sin 75 cos 15

Nilai dari cos 105° + cos 15° / sin 75° min sin 15°

Jika a = cos 75° + cos 15° per Sin 75° kurang Sin 15° dan b = cos 10 derajat + cos 110 derajat + - Brainly.co.id
Nilai Dari Sin 45 Cos 15 Adalah

Nilai dari sin 75° - sin 15° / cos 105° - cos 15° adalah - YouTube

Soal Nilai dari (sin 75^(@)-sin 15^(@))/(cos 105^(@)+cos 15^(@))=dots..

Nilai dari cos 75 cos 15-sin 75 sin 15 adalah . . . .

Nilai Dari 2 Sin 45 Cos 15 Adalah

Nilai dari 8 sin 15° cos 15 adalah ….Pilih satuSebuah. 5b. 7C. 9d. 2e. 3 - Brainly.co.id

Trigonometri + soal

Nilai Dari 4 Sin 45 Cos 15 Adalah
Nilai dari (cos 75-cos 15)/(sin 75-sin 15) adalah ….

Nilai dari cos 465° - cos 15° adalah - YouTube

Nilai dari sin 105° - sin 15°/cos 75° + cos 15° adalah - Mas Dayat

Nilai Dari 2 Sin 45 Cos 15 Adalah
Nilai Sin 45° Cos 15°+Cos 45° Sin 15° sama dengan - Brainly.co.id

Nilai Dari 4 Sin 45 Derajat Cos 15 Derajat Adalah

Soal Nilai cos(-15^(@))-sin 165^(@) adalah …

nilai dari (sin75 cos 15) adalah - Brainly.co.id

Nilai Dari 2 Cos 75 Derajat Sin 45 Derajat Adalah

Tentukan nilai dari: a. cos 165 b. cos 195 c. tan 15 d. sin (45+30) - YouTube
![]()
PDF) Penyelesaian Soal Matematika SMA | Sitinur Aini - Academia.edu

Nilai dari sin 75 derajat cos 15 derajat adalah

nilai dari COS 15, SIN 15, TAN 105, COS 105,SIN 105 BESERTA CARANYA ???? - Brainly.co.id

Nilai Dari Sin 45 Derajat Cos 15 Derajat Adalah
Soal Metik Revamp | PDF

2 cos 75° cos 15° = - Mas Dayat

Soal Nilai dari cos 75 cos 15^(3)-sin 75 sin 15^(@) adalah

Nilai Dari 2 Sin 45 Cos 15 Adalah

Nilai cos 75° + cos 15°/ sin 75° - sin 15° adalah

hitunglah nilai dari : a. cos 15° + cos 15° - Brainly.co.id

Nilai Dari Cos 1050 Sin 150 Adalah

kelas11_matematika-ipa_nugroho-maryanto by s. van selagan - issuu

1/cos 75 + 1/cos 15=………………….. - Brainly.co.id

Nilai Dari 2 Sin 45 Cos 15 Adalah

Trigonometri

Soal Tentukan nilai dari cos 45^(@)*cos 15^(@)-sin 45^(@),sin 15^(@)!
Rumus Jumlah dan Selisih Sinus dan Kosinus | .

nilay sin 45 derajat cos 15 derajat + cos 45 derajat sin 45 derajat - Brainly.co.id
Nilai Dari Sin 45 Derajat Cos 15 Derajat Adalah
Mat Minat Trigonometri | PDF

Tentukan nilai dari: a. sin 15° b. cos 15° c. tan 15° d. tan 165° e. cos 165° f. cosec 165° - Mas Dayat

Soal Nilai dari sin 75^(@)+cos 15^(@) adalah …

Nilai 2 sin 15° cos 15° adalah …….

nilai cos (-15°) adalah - Brainly.co.id

Nilai Dari Sin 75 Dikurang Cos 15 + Cos 45 Adalah

B. Kerjakan soal-soal berikut! 1. Tentukan nilai bentuk trigonometri berikut. sin 15° + sin 165° b cos 105° - cos 15° tan 105º

nilai cos 75 cos 15 - sin 75 sin 15 = - Brainly.co.id

sin 75 sin 15 cos 105 cos 15 - YouTube

Nilai Dari Sin 45 Derajat Cos 15 Derajat Ditambah Cos 45 Derajat Sin 15 Derajat Adalah

Tentukan nilai cos 105° + cos 15° / sin 165° – sin 75°! - Mas Dayat

Nilai dari Sin, Cos, Tan 15 Derajat - SM BLOG

Soal 4. Hitunglah nilai dari. a. sin 75^(@)*cos 15^(@)

Nilai dari sin 75° cos 15° - cos 75° sin 15°/ sin 75° sin 15° - cos 75° cos 15° adalah
Sin 75 cos 15+cos 75 sin 15 - Brainly.co.id

Cara menentukan nilai cos 195 + cos 15 - trigonometri kurang dari 1 menit - YouTube

Soal Nilai dari (sin 75^(@)cos 15^(@)-cos 75^(@)sin 15^(@))/(sin 30^(@)sin 15^(@)-cos 30^(@)cos

Nilai dari sin 105° - sin 15° / cos 105° - cos 15° adalah - Brainly.co.id

Nilai dari cos 465 derajat - cos 15 derajat adalah - Brainly.co.id
Nilai dari cos 15 derajat - cos 75 derajat……… Kerjakan dengan cara pengerjaannya !…. Question from @anwardayat13

Sederhanakan: sin 105° cos 15° + cos 165° sin 15° - Mas Dayat

Soal Nilai dari 2cos 75^(@)cos 15^(@) adalah…

Trigonometri : mencari nilai sin(15) - YouTube

nilai dari 2 cos 105° sin 15° - Brainly.co.id

Soal Jika nilai Cos 75^(@)-Cos 15^(@) adalah m, maka nilai dari -msqrt2 adalah ….

tentukan nilai dari sin 75 derajat + sin 15 derajat dibagi cos 105 derajat + cos 15 derajat….. - Brainly.co.id

Nilai Dari Sin 75 Dikurang Cos 15 + Cos 45 Adalah

Soal Nilai dari (cos 75^(@)-cos 15^(@))/(sin 75^(@)+sin 15^(@))=dots

Rumus Trigonometri Dua Sudut - ppt download
Bagaimana cara mengetahui nilai cos 15 (derajat) tanpa menggunakan kalkulator - Quora

Tentukan Nilai Dari 8 Cos 45 Derajat Sin 15 Derajat

Nilai dari 2 cos 75° cos 15°= - Brainly.co.id

1 Setelah menyaksikan tayangan ini anda dapat Menyelesaikan
Nilai dari (sin 15+cos 15)(sin 15-cos 15)= ….

1 Setelah menyaksikan tayangan ini anda dapat Menyelesaikan