
tentukan nilai 1). lim sin x cos x / tan x x —> 0 2). lim sin x-cos x/ 1 - tan x x—-> - Brainly.co.id

Pembuktian Limit Sin x / x = 1 | Kalkulus - YouTube
Berapakah limit dari sinxcosx/3x, dimana x mendekati 0? - Quora
Berapa limit x->0 sinx/x? - Quora

limit x mendekati π 1 + cos x / sin x mohon penjabaran nya - Brainly.co.id

Limit of sin x over x as x approaches 0 - YouTube
Bagaimana cara menunjukkan bahwa lim x→0 (sinx/x)=0 - Quora

Soal Limit Fungsi Aljabar dan Trigonometri Beserta Pembahasan

Lim x mendekati cos x/sinx+cosx,Lim x mendekati π/2 x/sin x, Lim x mendekati 0 cos x-cos 3x/1-cos 2x - YouTube

Limit x mendekati phi dari ( Sin X + Cos X ) - Brainly.co.id

120 soal dan pembahasan limit fungsi trigonometri

lim x mendekati 0 x - sin x/x - Brainly.co.id

Soal lim_(x rarr0)(x^(3)sin x)/((cos x-sec x)^(2))=dots

Solved X-00 1. Nilai dari limit fungsi trigonometri lim 4x | Chegg.com

Soal Nilai dari lim_(x rarr4)(x tan(2x-6))/(sin(x-3)) adalah ……

Hitunglah lim tan x-sinx:x^3 dengan x→0 - YouTube

lim x 0 tan x sin x x 3 can you explain this question in shortcut way - Mathematics - TopperLearning.com | tz55xigg
![Solved [In(sin x)] In y = lim x=0+ sin x - lim.cos() - sinx | Chegg.com](https://i3.wp.com/media.cheggcdn.com/media/774/774920f6-458e-4318-84d4-c050870e158f/phpIeKBlr.png)
Solved [In(sin x)] In y = lim x=0+ sin x - lim.cos() - sinx | Chegg.com

Answered: X-T 2. Find lim X→T sin x х-sinx 3.… | bartleby
![]()
120 SOAL DAN PEMBAHASAN LIMIT FUNGSI TRIGONOMETRI

120 soal dan pembahasan limit fungsi trigonometri
14++ Contoh Soal Limit X Mendekati Phi - Kumpulan Contoh Soal

Limit x Menuju Tak Hingga Fungsi Trigonometri | idschool

Soal Nilai dari lim_(x rarr0)(x tan x)/(x sin x-cos x+1)=dots
Bantuin ya ???? Lim Sinx / akar (1-x-1) x->0 - Brainly.co.id

lim x->0 (1/x - 1/sinx) =

Limit of (cos x - 1)/sin x ❖ Calculus 1 ❖ Trig Limits - YouTube

Ex 13.1, 14 - Evaluate: lim x->0 sin ax/sin bx - Class 11 CBSE

Menentukan Nilai dari lim(x->0) sin 6x/2x

Pembuktian Limit Sin x per x sama dengan 1 - De Eka

Limit of sin x. Two questions about this proof - Mathematics Stack Exchange

Lim x mendekati phi/4 1-2sin²x/sin x - cos x
Mohon bantuan caranya: lim cos2x / cosx - sinx dengan x mendekati phi/4 caranya bagaimana?…. Question from @ertafajarutari
Bagaimana cara menyelesaikan lim x-0 x-sinx/tan^3x, langkah demi langkah - Quora

Solved 1) lim xo 2 sinx - Sin2x Sinx -3X 2) lim +2x2 - e-3x | Chegg.com

How do you find the limit of x/sinx as x approaches 0? | Socratic

lim x mendekati Phi/4 1-sin2x/cosx-sinx…

Limit fungsi-soal-jawab1

- Tentukan nilai lim x->0 sin²x + sin x cos x/sin x 2.tentukan nilai lim x->π/4 sin²x - cos ² x/sin x - cos x3.tentukan

Soal lim_(x rarr0)(2sin x-sin 2x)/(x-sin x)=dots

Ex 13.1, 18 - Evaluate lim x->0 ax + x cos x/ b sin x - Ex 13.1
lim x mendekati π/4 ( sin x - cos x )/ 1 - tan x…

lim_(x->0)|sinx|/x

limit x mendekati 0 (sin x cos x)/(tan x) - Brainly.co.id

Limit of sin x. Two questions about this proof - Mathematics Stack Exchange

Cara Menghitung Limit Trigonometri sin x sin a per x a - YouTube

sinx sin x (x-s Example 2.47 Evaluate lim 1-01 Sol. Since lim sin x u l and
Sinx X Tanx
Berapakah nilai lim x→0 (sinx/x) ^1/x? - Quora

Limit fungsi-soal-jawab1

Limit x^2(3 + sin(x))/(x + sin(x))^2 as x approaches zero Calculus 1 Lim… | Calculus, Math videos, Sins

x→0 (sin x - x)x^3 equals to | Maths Questions

Nilai lim x mendekati 0 1-√1-tanx / sinx adalah
Lim x mendekati 0 (1-cosx)/x sinx jawab…. Question from @jackymomo

Soal lim_(x rarr0)(2x^(2)+x)/(sin x)=dots.
The value of lim(x→∞) sinx/x is : (A) 0 (B) ∞ - Sarthaks eConnect | Largest Online Education Community

Lim x~0 Sin(x) cos (x) / akar phi + 2sin(x) - akar phi=… Tolong dong - Brainly.co.id
Find the limit as x goes to 0 of (sin x - x) / x3 - Stumbling Robot

Lim cos2x / cosx - sinx dengan x mendekati phi/4 - YouTube

lim x → 0 sinx/x formula
Berapa lim [sinx/x] saat x mendekati 0+? - Quora
Prove that lim(x→0) sinx/x = 1 - Sarthaks eConnect | Largest Online Education Community

Soal lim_(x rarr0)(x sin x)/(1-cos 4x)=cdots

Nilai lim x mendekati phi/4 1-2sin²x / cos x - sin x

Solved Find the limits. 17. lim cos (+) 19. lim_sin' (1-25) | Chegg.com

Nilai dari lim x mendekati 0 untuk (1 - cos 4x) sin x/x^2 tan 3x - YouTube

limit x menuju 0 2x kuadrat + x / sin x - Brainly.co.id

Limit fungsi-soal-jawab1
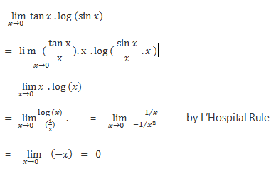
How to solve lim x–> 0+ tanx log sinx - Quora

Nilai limit x mendekati 0 dari (sin x - cos x) / s…

Soal Nilai dari lim_(x rarr0)(sin x)*(cot 3x) adalah …
Solved 5) Find the following limits : a) lim sin(x) x2 + | Chegg.com

Proof of limit of sin x / x = 1 as x approaches 0 - math-linux.com

Nilai dari limit x mendekati 0 1-cos x/x.sin x, limit x mendekati 0 tan 2x.tan 3x/2x kuadrat - YouTube

lim x->0 2x^2+x / sin x = - Brainly.co.id

9 Evaluate the limit :- lim sin x cos x x / 4 ( x - Maths - Limits and Derivatives - 13287075 | Meritnation.com

Limit of sin(x)/x as x approaches 0 (video) | Khan Academy
Apa solusi untuk lim x→0 x-tanx/sinx-x ? - Quora

Soal 5. Nilai lim_(x rarr0)(4x cos x)/(sin x+sin 3x)=dots

120 soal dan pembahasan limit fungsi trigonometri

Update ANS: Limit x tends to 0 sinX/x = 1 proof

Solved Find the limits using lim/x = 0 sinx/x = 1. Lim/x | Chegg.com

Evaluate Limit as x approaches infinity for (sinx) over x - YouTube
Photo 7 of 7 from #RARE

Limit x mendekati 0 dari (sin x)/x | Super Matematika
Limit Fungsi Trigonometri 1 | PDF

Finding a Limit Involving sinx/x as x approaches zero Example 1 | Math videos, Calculus, Math

Lim x-> 0 2x.sin²x/ tanx-sinx - Brainly.co.id

Soal 6. lim_(x rarr oo)(2x sin x)/(x-4) Jawab:

Evaluate underset(xto pi//2)lim(sinx-(sinx)^(sinx))/(1-sinx+log_(e)sinx).

lim x->x->pi|4 ((tanx + sin 2x)|(cos x + sinx))

Belajar Bersama Pak Luhut בטוויטר: “Kenapa limit x -> 0 (x)/sinx =1? Kenapa limit x-> 0 (sinx )/x =1? Kenapa limit x-> 0 (sin ax)/(bx) = a/b?… "

120 soal dan pembahasan limit fungsi trigonometri
![]()
DOC) BAB 12 Limit fixs banget | atsnan fajar - Academia.edu

MARETONG: Soal dan Pembahasan Limit Fungsi Trigonometri
07-Limit Fungsi Trigonometri | PDF
Limit X Mendekati Phi Per 4 Cos 2 X Per Sin X Min Cos X - Contoh Soal Pelajaran

Solved Use lim x rightarrow 0 (sinx/x) = 1 to evaluate the | Chegg.com

Answered: Only one of these calculations is… | bartleby

Sinx X Cosx X Tanx