Kunci Jawaban Matematika Kelas 6 | PDF

Jawab No.13-20 Matematika Kelas 6 LKS Mahir Makasih ^^ - Brainly.co.id
![]()
Get Kunci Jawaban Lks Matematika Kelas 6 Semester 2 2020 Gif | Pedia Edu

Kelas 6 - Matematika - Sukirno by Yeti Herawati - issuu

Lks Matematika Kelas 6 Sd 2018 - bitesfasr
Kunci Jawaban Buku Matematika Kelas 6 - Kumpulan Soal
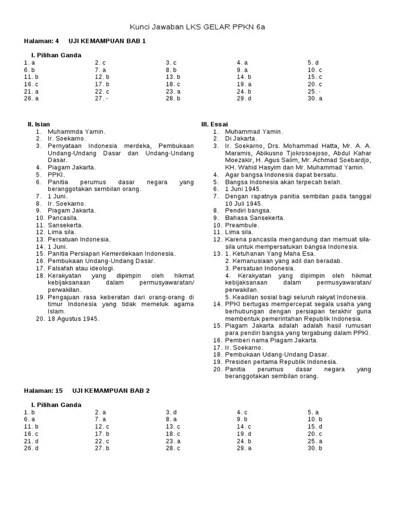
Kunci Jawaban Lks Medali Matematika Kelas 6 docx - kuncisoal

Jawaban LKS 4 Matriks Halaman 44 Matematika Peminatan kelas XII Kurikulu 2013 - Gulali Beku
![]()
Kunci Jawaban Lks Matematika Kelas 7 Semester 2 Kurikulum 2013 – Python

Soal Dan Kunci Jawaban Matematika Kelas 6 Sd Semester 1 - Kumpulan Contoh Surat dan Soal Terlengkap

Kunci Jawaban Fokus Matematika Kelas 6 - Revisi Id
Kunci Jawaban Buku Lks Matematika Kelas 5 Kurikulum 2013 Semester 2 – Berbagai Buku
Buku Pendamping Matematika SMP/MTs Kelas 8 + Kunci Jawaban (Incer) | Shopee Indonesia

Kunci Jawaban Senang Belajar Matematika Kelas 6 Kurikulum 2013 Revisi 2018 - Sanjayaops

LENGKAP !!! Kunci Jawaban Halaman 17 18 Buku Senang Belajar Matematika Kelas 6 - Simple News | Kunci Jawaban Lengkap & Terbaru
![]()
KUNCI JAWABAN LKS
Buku latihan soal atau LKS matematika kelas 5 SD Semester 2 dilengkapi ringkasan materi | Shopee Indonesia

Kunci jawaban lks
Matematika Kelas 6 SD Semester 1 | PDF

Contoh Soal: Soal Matematika Kelas 6 Pecahan Dan Bilangan Bulat

LKS Intan Pariwara Mtk (minat) Kelas 11 Semester 2No. 6-17 beserta cara kerjanya dengan lengkap - Brainly.co.id
33 Kunci Jawaban Lks Matematika Kelas 6 Semester 1 2020 PNG – Kunci 13

LENGKAP !!! Kunci Jawaban Halaman 183 Buku Senang Belajar Matematika Kelas 6 - Simple News | Kunci Jawaban Lengkap & Terbaru

Soal Bahasa Lampung Kelas 6 Dan Jawaban - Kumpulan Contoh Surat dan Soal Terlengkap

Soal UTS Matematika Kelas 6 Semester 2 plus Kunci Jawaban ~ Juragan Les

View Kunci Jawaban Matematika Kelas 7 Halaman 45 Revisi - Revisi Guru Id
LKS Matematika Kelas 4 5 6 SD Semester 2 Kurikulum 2013 | Shopee Indonesia

Kunci jawaban lks

jawaban matematika, halaman 31-32 ,kls 8,semester 2 - Brainly.co.id

Contoh Soal Matematika Kelas 6 SD Semester 2 2021

Jual Lks Matematika Kelas 6 di Jawa Tengah - Harga Terbaru 2021

Soal Matematika Kelas 6 KD 3.3 Operasi Hitung Pecahan + Kunci Jawaban - SekolahDasar.Net

LENGKAP !!! Kunci Jawaban Halaman 49 Buku Senang Belajar Matematika Kelas 6 - Simple News | Kunci Jawaban Lengkap & Terbaru

SOAL PAS Matematika Kelas 6 SD Semester 1 Lengkap Kunci Jawaban Soal Latihan UAS Tahun 2020 - Tribunpontianak.co.id

Jual BUKU SOAL LKS FOKUS MATEMATIKA SD KELAS 6 KURIKULUM 2013 di Lapak Toko Buku Cemerlang | Bukalapak
Kunci Jawaban Lks Matematika Kelas Xii Viva Pakarindo
Buku Modul Pengayaan/LKS Matematika Kelas 4 SD/MI Semester 2 Kurikulum 2013 | Shopee Indonesia
![]()
Kunci Jawaban Lks Matematika Kelas 6 Semester 1 – Python

Soal Matematika Kelas 6 KD 3.1 Bilangan Bulat Negatif dan Kunci Jawabannya - SekolahDasar.Net
Kunci Esps Matematika | PDF

Jawaban Dari Buku Mtk Kls 5 Kurikulum 2013 Hal 70 - Kumpulan Soal

Kunci Jawaban Buku Matematika Kelas 6 Halaman 24 pdf - soalkunci

Lks Matematika kelas 6 semester 2 warna Mukti Grafika | Lazada Indonesia
Bank Soal Kelas 6 Semester 2 - Peranti Guru

Matematika Kelas 6-Menjawab latihan soal halaman 30-31 - YouTube
LKS Lembar Kerja Siswa K13 kelas 5 b SD MI semester 2 matematika revisi 2017 | Shopee Indonesia

Soal UTS Matematika Kelas 6 SD Semester 1 dan Kunci Jawaban - Bimbel Brilian

Kunci jawaban lks

kunci jawaban buku matematika kelas 6 halaman 10 halaman 1 dan 3 - Brainly.co.id

Kunci Jawaban Buku Senang Belajar Matematika Kelas 6 Kurikulum 2013 Revisi 2018 Halaman 193, 194, 195, 196, 197, 198 - Kunci Soal Matematika
Kunci Jawaban Lks Matematika Kelas 6 Semester 2 Revisi 2021 - Revisi Id

LENGKAP !!! Kunci Jawaban Halaman 35 36 Buku Senang Belajar Matematika Kelas 6 - Simple News | Kunci Jawaban Lengkap & Terbaru

Kunci Jawaban Matematika Kelas 6 Halaman 35 & 36 | Penjumlahan dan Pengurangan Bilangan Bulat - YouTube
Download Soal Matematika Kelas 9 Semester 2 Dan Kunci Jawaban Images – Kunci 13

Soal Matematika Kelas 6 SD/MI 2021 dan Kunci Jawabannya

Kunci Jawaban Matematika Kelas 6 SD Halaman 49, Ayo Mencoba Pembagian Komutatif - Ringtimes Banyuwangi

SOAL USBN Matematika Kelas 6 SD Tahun 2021 Lengkap Kunci Jawaban Latihan Ujian Sekolah - Tribunpontianak.co.id

▷ Kunci jawaban lks matematika kelas 8 semester 2 kurikulum 2013
Kunci Jawaban Lks Matematika Kelas 8 Semester 2 - Peranti Guru

Jual LKS Fokus MATEMATIKA SD/MI Kelas 6 Semester 1 dan 2 - KTSP - Kota Bogor - edsibasstore | Tokopedia

√ Kunci Jawaban Matematika Kelas 6 Senang Belajar Matematika Buku Siswa Tematik K13 Revisi

KUNCI JAWABAN LKS

Kunci Jawaban Buku Senang Belajar Matematika Kelas 6 Halaman 17 & 18 - YouTube

LENGKAP !!! Kunci Jawaban Halaman 56 57 58 Buku Senang Belajar Matematika Kelas 6 - Simple News | Kunci Jawaban Lengkap & Terbaru

Kunci Jawaban Buku Senang Belajar Matematika Kelas 6 Kurikulum 2013 Revisi 2018 Halaman 182, 183 - Kunci Soal Matematika

Kunci Jawaban Matematika Kelas 6 Ayo Mencoba Halaman 17 dan 18 - Ringtimes Bali

Latihan Soal Matematika Kelas 6 2021 dan Pembahasannya

Matematika lks halaman 46 kurikulum 2013 semester 1 Tolongg jwbnyaaa.. - Brainly.co.id

Kunci Jawaban Buku Senang Belajar Matematika Kelas 5 Halaman 26, 27, 28, 29, 30, 32, 33 - Sanjayaops
![]()
Soal Matematika Kelas 6 Semester 1 Kurikulum 2013 – Sekali

Kunci Jawaban Buku Senang Belajar Matematika Kelas 6 Semester 2 Halaman 193, 194, 195, 196, 197, 198 - Lifanen
Kunci Jawaban Buku Lks Matematika Kelas 6 Kurikulum 2013 Semester 2 – Berbagai Buku
Buku Modul Pengayaan/LKS Matematika Kelas 6 SD/MI Semester 2 Kurikulum 2013 | Shopee Indonesia

LENGKAP !!! Kunci Jawaban Halaman 42 43 Buku Senang Belajar Matematika Kelas 6 - Simple News | Kunci Jawaban Lengkap & Terbaru

Kunci Jawaban PTS Matematika Kelas 6 SD Semester Ganjil 2021 - Ringtimes Bali

Soal Matematika Kelas 6 Semester 1

Kunci Jawaban Mtk Kelas 6 Kurikulum 2013 Revisi 2021 / Soal Uts Pts Matematika Kelas 6 Semester 1 Kurikulum 2013 Dan Kunci Jawaban Sd Negeri Dabung 2 - sedangkan rangkuman kelas 6. - ID Aplikasi

Kunci Jawaban Jelajah Matematika Kelas 6 Halaman 63 doc - kuncisoal

Jual Terbaru Buku Matematika kelas 6 SD Kurikulum 2013 penerbit Quadra - Jakarta Pusat - KawacaHastuti | Tokopedia
28 Kunci Jawaban Lks Matematika Kelas 6 Semester 1 Gif | Pedia Edu

kunci jawaban Buku Siswa Matematika kelas 6 halaman 55 - Brainly.co.id

Tanya Jawab Matematika Kelas 6 – Belajar

Ayo Mencoba halaman 49 II Kunci Jawaban Senang Belajar Matematika Kelas 6 SD - YouTube
Kunci Jawaban Halaman 63 Buku Matematika Kurikulum 2013 Revisi Kelas 6 - Kumpulan Soal
28+ Kunci Jawaban Lks Matematika Kelas 9 Images | Cebong kampret

SOAL UTS Matematika Kelas 6 SD Semester 2 Kurikulum 2013 dan Kunci Jawaban Ulangan Tengah Semester - Tribunpontianak.co.id
![]()
Soal Matematika Kelas 6 SD Bab 3 Luas dan Volume Dan Kunci Jawaban - EMISPENDIS

Matematika Untuk Kelas 6 SD/MI

LENGKAP !!! Kunci Jawaban Halaman 95 Buku Senang Belajar Matematika Kelas 6 - Simple News | Kunci Jawaban Lengkap & Terbaru

Kunci Jawaban Matematika Kelas 6 Halaman 43 Revisi 2021 / Kunci Jawaban Buku Senang Belajar Matematika Kelas 6 Kurikulum 2013 Revisi 2018 Halaman 17 18 42 43 49 56 57 58 Dunia Smk : Hanya dengan difoto, kunci jawaban soal matematika akan muncul dengan …

Soal UTS Matematika Kelas 6 Semester 1 plus Kunci Jawaban ~ Juragan Les

tolong dijawab 10 poin niikunci jawaban matematika kelas 6 halaman 49 - Brainly.co.id

Kunci Jawaban Matematika Kelas 6 Halaman 29 dan 30 - YouTube

Kunci Jawaban Matematika Kelas 6 Halaman 56 57 58, Latihan Soal 1 sampai 20 - Ringtimes Banyuwangi

Soal PTS Matematika Kelas 6 semester 2 & kunci jawaban Tahun 2021 - Info GTK Terbaru
![]()
PDF) Soal UAS Matematika Kelas 6 SD Semester 1 (Ganjil) Dan Kunci Jawaban (www.bimbelbrilian.com ) .pdf | Prayoga Pangestu - Academia.edu
Harga Lks Matematika Sd 2 Terbaru September 2021 | BigGo Indonesia
Kunci Jawaban Matematika Lks Kelas 8 Hal 12 Semester 1 : Jawaban Soal Matematika Halaman 62 Kelas 8 : Kunci jawaban ini dibuat untuk membantu mengerjakan soal matematika bagi kelas 8 di semester 1 halaman 12. - indo-inter

Bocoran !!! Kunci Jawaban Buku Paket Halaman 45 46 47 48 49 50 51 52 Kelas 8 Matematika Uji Kompetensi 6 Semester 2

Matematika Untuk Kelas 6 SD/MI