
Integrate sin^2x cos^2x

Soal Hasil dari int(sin 2x+cos 2x)^(2)dx= A. cos 2x-sin 2x+C. B. x+1//4sin 4x+C. C. x-1//4sin 4

Integrate sin^22x cos^22x

Nilai maksimum f(x) = sin 2x + cos 2x untuk 0° ≤ x ≤ 180° adalah …. - Mas Dayat

Pembuktian cos2x=cos^2x-sin^2x dan sin 2x=2sinxcosx | Trigonometry Explanation eps.29 | how to solve - YouTube

How does one verify (cos^2x-sin^2x)/(1-tan^2x)=cos^2x? | Socratic

Diketahui sin^2x+cos^2x=1, dan x terletak pada kuadran IV. Nilai sin x=… (pilihan ganda ada di - Brainly.co.id

Prove cos^2x-sin^2x=2cos^2x-1 - YouTube

Diketahui fungsi f dinyatakan oleh f(x) = sin2 2x / cos x. Turunan pertama dari f yaitu f' - Mas Dayat

How do you verify sin^2(x) = (1/2)(1-cos2x)? | Socratic

Here is a list of identities involving trigonometric | Chegg.com

Nilai minimum f(x) = cos 2x - 2 sin x untuk 0° ≤ x ≤ 360° adalah …. - Mas Dayat

Integral Sin 2x Cos 2x Dx Adalah

Sin^2x + cos^2x = 1

Ex 7.3, 18 - Integrate cos 2x + 2 sin2 x / cos2 x dx - Ex 7.3

jika f(x)=cos x . sin2x maka. f'(phi/4) - Brainly.co.id
Apa solusi umum dari sin^2(x) - cos(2x) = 2 - sin(2x) jika 3cosx tidak sama dengan 2sin x? - Quora

120 soal dan pembahasan limit fungsi trigonometri

Soal Nilai maksimum fungsi y=1+sin 2x+cos 2x adalah
Nilai x memenuhi persamaan cos 2x - sin x = 0 untu…
Bagaimana cara menyelesaikan persamaan ini cos 2x = sin (2x-30 °) - Quora

Jika f(x) = sin 2x / cos 3x, nilai f'(π) = - Mas Dayat

Ex 7.3, 20 - Integrate cos 2x / (cos x + sin x)^2 - NCERT Maths

Soal Banyaknya nilai x yang memenuhi persamaan (sin^(2)2x+cos^(2)2x)(sin^(2) 2x-cos^(2)2x)=1 0 a

Persamaan trigonometri cos 2x = sin x (contoh soal 4) - YouTube

Solved Verify the identity. 1+ sin2x/cos 2x = cos x + sin | Chegg.com
Salah satu titik belok kurva fungsi f(x) = sin 2x …
Diketahui suatu persamaan trigonometri cos^2 x - sin x co…

Diketahui fungsi f dinyatakan oleh f(x) = sin (2x + π) cos (2x – π). Turunan pertama dari f yaitu f' - Mas Dayat

Sin x = 1/4. Nilai dari cos2x = … - Matematika SMA

Soal soal trigonometri

Hasil dari integral cos pangkat 3 2x sin2x dx - Brainly.co.id

Packet #21 Trigonometric Identities - ppt download
Integral Sin 2x Cos 2x Dx Adalah
Latihan Ulangan Turunan Trigonometri | PDF
![Solved] Prove each of the following trigonometric identities sin x sin 2x +cos x cos 2x=cos x cot x = sin x sin (2-x) + cos2 x cot x 2scs 2x =](https://i3.wp.com/www.coursehero.com/qa/attachment/11798902/ )
Solved] Prove each of the following trigonometric identities sin x sin 2x +cos x cos 2x=cos x cot x = sin x sin (2-x) + cos2 x cot x 2scs 2x =
Pembuktian Identitas dan Persamaan Trigonometri - Belajar Mat

Nilai dari limit x mendekati 0 dari (1 - cos 2x) per (2x . sin 2x) = …. - YouTube

Tips dan Trik Menyelesaikan Soal Limit Trigonometri - Kompasiana.com

MARETONG: Soal dan Pembahasan Limit Fungsi Trigonometri
1.7 Identitas Trigonometri | PDF

Matematika Peminatan : Persamaan Trigonometri - RumusHitung.Com
Mohon bantuan caranya: lim cos2x / cosx - sinx dengan x mendekati phi/4 caranya bagaimana?…. Question from @ertafajarutari
Pembuktian Identitas dan Persamaan Trigonometri - Belajar Mat

Diberikan f(x) = sin^2 x = 1/2 - 1/2 cos 2x. - Brainly.co.id

Solved 3. Express g(x) = sin x + cos 2x in terms of x-?/2 | Chegg.com
PAS MATEMATIKA PEMINATAN KELAS XI 2019 - 2020 Quiz - Quizizz

Soal Turunan pertama f(x)=sin(2x+1)cos 2x adalah ….
Jika 0<=x<=π÷2 dan cos x+cos 2x+cos 3x=3, berapakah nilai sin x+sin 2x+sin 3x? - Quora

Misc 21 - Integarate 2 + sin 2x / 1 + cos 2x ex - Miscellaneous

Jika fungsi f dinyatakan oleh f(x) = sin 2x + cos 2x untuk 0° ≤ x ≤ 180°. Tentukan titik minimumnya - Mas Dayat

Integral of sin(x)cos^2(x) & Integral of sin^2(x)cos(x) (substitution) - YouTube

Integrate 16 sin^2x cos^2x

How do you solve cos(2x)cos(x)+sin(2x)sin(x)=1 for all solutions? | Socratic

Turunan dari f(x) = sin x cos x adalah a. -cos 2xb. cos 2xC. cos2 xd. cos2 x + sin2 xe. -cos2 x - sina x

Solve Cos^2x+sinx+1=0

Excellent: Menentukan nilai Integral dari cos^2 x. sin^5 x

Remidi matematika Bab Integral

TRIGONOMETRI-11 SMA – Bimbel Online Gulam Halim
![Compute the following: [[cos^2x, sin^2x],[sin^2 x, cos^2 x]]+[[sin^2x, cos^2 x],[cos^2 x, sin^2 x]]](https://i2.wp.com/doubtnut-static.s.llnwi.net/static/ss/web/285192.jpg)
Compute the following: [[cos^2x, sin^2x],[sin^2 x, cos^2 x]]+[[sin^2x, cos^2 x],[cos^2 x, sin^2 x]]
Limit x mendekati π/4 : 2 cos 2x per cos x - sin x…. Question from @ditajulia

sin 2x/sin x - cos 2x/cos x - Brainly.co.id

sin(x) + sin(2 x) + … + sin(n x))/(cos(x) + cos(2 x) + … + cos(n x)) | Fun With Num3ers
Menyelesaikan Persamaan Trigonometri
![1 point) Find the Fourier approximation to f(x) = 1 + x + cos x over the interval [-Pi, pi] using the orthogonal set {1, sin x, cos x, sin 2x, cos](https://i1.wp.com/wegglab.com/wp-content/uploads/2020/09/image-54.png)
1 point) Find the Fourier approximation to f(x) = 1 + x + cos x over the interval [-Pi, pi] using the orthogonal set {1, sin x, cos x, sin 2x, cos

Jika fungsi f dinyatakan oleh f(x) = sin 2x + cos 2x untuk 0° ≤ x ≤ 180°. Tentukan titik minimumnya - Mas Dayat

Derivative Of sin^2x, sin^2(2x) & More
Temukan turunan ke-n dari ((cos x)^2)*((sin x)^3)? - Quora

Soal Jika f(x)=(cos 2x-sin 2x)(sin 3x+ cos 3x) dan f^(')(x)=g(x)-2sin 5x, maka nilai dari g^(')

Asimtot tegak fungsi h(x) = cos x / sin 2x adalah
![]()
PDF) Soal dan Penyelesaian Turunan (Differensial | Schaum Mypha - Academia.edu

Nilai x memenuhi persamaan cos 2x - sin x = 0 untuk 0º < x < 360° adalah

Sin 2x + cos x = 0, untuk 0°≤ x 360°. Nilai x yang memenuhi… - YouTube

Solved Using relationship e^ix = cos(x) + I sin(x), prove | Chegg.com

How do I integrate the function f(x)=cos(x)/(sin^2(x))+sin(x)? | Socratic

Integrate 16 sin^2x cos^2x

sin2x+cos2x=1 proof

What Is The Integral of cos^2x? (“cos Square x”)

Rumus Integral Trigonometri - RumusHitung.Com

Solve Cos^2x+sinx+1=0
Limit X Mendekati Phi Per 4 Cos 2 X Per Sin X Min Cos X - Contoh Soal Pelajaran
Jika tan x=P/Q, maka nilai (P cos 2x+Q sin 2x) adalah …

sin(x) + sin(2 x) + … + sin(n x))/(cos(x) + cos(2 x) + … + cos(n x)) | Fun With Num3ers

SOLVED:Prove the identity: cos(2x) tan(x) sin( 2x} 1 - (1 - 2 sin?(x) cos(2x) sin( 2x) 2 sin(x) 2 sin(x) cos x) tan(x)

cos2x sin2x identity

Find Integral (cos^2 2x - sin^2 2x) dx - Teachoo - CBSE Class 12 Sam

gunakan identitas trigonometri sin 2x = 2 sin x cos x bersama dengan aturan hasil kali untuk - Brainly.co.id
Prove the identity: ((1/(sec^2 x - cos^2 x)) + (1/(cosec^2 x - sin^2 x)))sin ^2 x cos^2 x = (1 - sin^2 x cos^2 x)/(2 + sin^2 x cos^2 x) - Sarthaks eConnect | Largest Online Education Community
![Solved] Prove each of the following trigonometric identities sin x sin 2x +cos x cos 2x=cos x cot x = sin x sin (2-x) + cos2 x cot x 2scs 2x =](https://i3.wp.com/www.coursehero.com/qa/attachment/11798898/ )
Solved] Prove each of the following trigonometric identities sin x sin 2x +cos x cos 2x=cos x cot x = sin x sin (2-x) + cos2 x cot x 2scs 2x =

TRIGONOMETRI-11 SMA – Bimbel Online Gulam Halim

cos 2x - 5 sin x + 2 = 0 untuk 0 ≤ x ≤ 2π - Mas Dayat
Turunan pertama dari f(x) = sin x/sin x - cos x adalah …. a. - 1/cos 2x - 1 b. 1/sin 2x - 1 c. - 1…. Question from @syaadillarahma

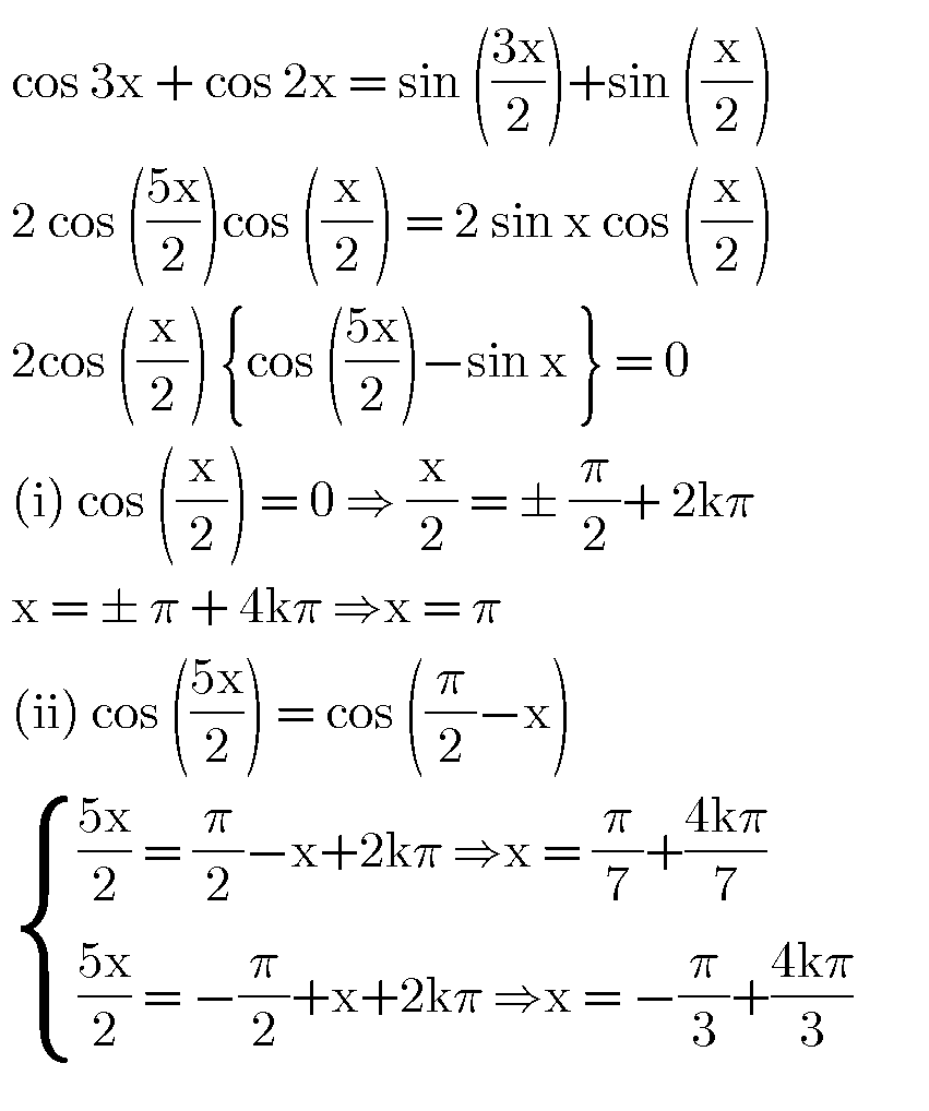
40+ Soal Persamaan Trigonometri dan Jawaban

Pembahasan turunan untuk fungsi trigonometri

Tentukan Interval x Sehingga Grafik f(x) = sin (2x - 60°) Naik Untuk 0° ≤ x ≤ 180°

Prove that (Sin X - Sin 3x)/(Sin^2 X - Cos^2 X) = 2sin X - Mathematics | Shaalaa.com
Tentukan Nilai Dari Limit Trigonometri lim x→π/2 Fungsi Trigonometri (cos x tan 2x / 2 sin x cos x) - Fisika & Matematika

Lim x mendekati phi per 4 dari (1 - 2 sin^2 x) per (sin x - cos x) = …. - YouTube

Sin^2x + cos^2x = 1