
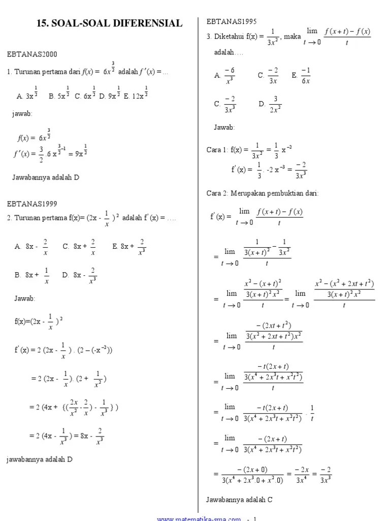
Contoh Turunan Implisit - YouTube

Soal dan Pembahasan Turunan Fungsi Implisit (1-5) | Istana Mengajar
26+ Contoh Soal Turunan Fungsi Implisit Trigonometri - Kumpulan Contoh Soal

turunan fungsi implisit - YouTube

Belajar Matematika Online: Turunan Fungsi Implisit
Azii Blog: Turunan Implisit, Parameter dan Tingkat Tinggi

TURUNAN FUNGSI IMPLISIT – Bimbel Online Gulam Halim

Contoh Turunan Implisit - YouTube

Soal Turunan Fungsi Implisit – CAKRAWALA

Contoh Soal Turunan Implisit - Contoh Soal Pelajaran

TURUNAN FUNGSI IMPLISIT – Bimbel Online Gulam Halim

Contoh Soal Turunan Fungsi Eksplisit

TURUNAN FUNGSI IMPLISIT – Bimbel Online Gulam Halim

Contoh Soal Turunan Implisit Trigonometri - Blog Guru Kelas

TURUNAN FUNGSI IMPLISIT – Bimbel Online Gulam Halim

turunan fungsi implisit - YouTube

28++ Contoh Soal Turunan Fungsi Implisit - Kumpulan Contoh Soal

Cara Melakukan Turunan Fungsi Implisit: 7 Langkah (dengan Gambar)

TURUNAN FUNGSI IMPLISIT - ppt download

Turunan Fungsi Implisit - Tak Ada Dikotomi

31++ Contoh Soal Turunan Fungsi Eksplisit - Kumpulan Contoh Soal

TURUNAN FUNGSI IMPLISIT – Bimbel Online Gulam Halim

Contoh Soal Fungsi Implisit

49+ Contoh Soal Turunan Implisit Trigonometri Beserta Jawabannya

Agenda 1. Aturan rantai 2. Turunan orde tinggi 3. Turunan Fungsi Logaritma 4. Turunan Fungsi Eksponen 5. Turunan fungsi implisit. - ppt download

04 turunan
![Turunan - 2 - eko.staff.uns.ac.id .11/25/2015 2 Materi Turunan Fungsi Implisit Turunan Fungsi Parameter - [PDF Document]](https://i2.wp.com/reader020.staticloud.net/reader020/html5/20190715/5cc252cf88c993ba588dc4ff/bg5.png)
Turunan - 2 - eko.staff.uns.ac.id .11/25/2015 2 Materi Turunan Fungsi Implisit Turunan Fungsi Parameter - [PDF Document]

Turunan Implisit,Turunan Kedua,Fungsi Eksponen Asli – Cendekia Luthfieta Nazalia
Contoh Soal Tentang Turunan Fungsi Implisit : Contoh Soal Turunan Pertama Beserta Jawabannya / Langsung saja ke contoh soal sebagai berikut:

Contoh Soal Turunan Implisit

- TURUNAN - Fungsi implisit Untuk menghitung turunan pertama dari fungsi implisit f(x, y) = 0, kita …
![]()
Cara Melakukan Turunan Fungsi Implisit: 7 Langkah (dengan Gambar)

soal ttg turunan trigonometri dan turunan implisit - Brainly.co.id
Kumpulan Soal Turunan Implisit Doc – Beinyu.com

TURUNAN FUNGSI IMPLISIT – Bimbel Online Gulam Halim

Pt 3&4 turunan fungsi implisit dan cyclometri
Turunan - Aturan Rantai, Turunan Implisit, Turunan Tingkat Tinggi dan Laju Terkait ( Part 2)

Materi, Soal, dan Pembahasan - Turunan Fungsi Implisit - Mathcyber1997
![]()
Cara Melakukan Turunan Fungsi Implisit: 7 Langkah (dengan Gambar)

Turunan Fungsi-Soal dan Jawaban

Soal Turunan Parsial Dan Jawabannya
![Kalkulus] Tutorial 10 Jenis Soal Turunan Fungsi Implisit ! - YouTube](https://i3.wp.com/i.ytimg.com/vi/n0bmZeZWHOw/sddefault.jpg )
Kalkulus] Tutorial 10 Jenis Soal Turunan Fungsi Implisit ! - YouTube
Contoh Soal Turunan Implisit Beserta Jawabannya

TURUNAN FUNGSI IMPLISIT – Bimbel Online Gulam Halim

Contoh soal turunan fungsi implisit - YouTube

28++ Contoh Soal Turunan Fungsi Implisit Dan Penyelesaiannya - Kumpulan Contoh Soal

Turunan Fungsi Implisit dy/dx | Matematika SMA - YouTube

Contoh Soal Dan Pembahasan Materi Turunan Implisit Sma | Materi Soal

TURUNAN FUNGSI IMPLISIT – Bimbel Online Gulam Halim
![]()
Cara Melakukan Turunan Fungsi Implisit: 7 Langkah (dengan Gambar)

Turunan Parsial 3 Variabel

tentukan turunan fungsi implisit dari x^2 - xy + 5y^2 = 7 - Brainly.co.id

DERIVATIF/TURUNAN (LANJUTAN) - ppt download

turunan trigonometri, turunan rantai, turunan tingkat tinggi, turunan fungsi implisit - YouTube

TURUNAN FUNGSI IMPLISIT – Bimbel Online Gulam Halim

Materi, Soal, dan Pembahasan - Turunan Fungsi Implisit - Mathcyber1997

31+ Contoh Soal Diferensial Fungsi Implisit - Kumpulan Contoh Soal

turunan implisit fungsi trigonometri contoh 1 no b - YouTube

turunan fungsi implisit dari 1/x + 1/y = 1 - Brainly.co.id

Contoh Soal Turunan Implisit – Goreng

17++ Contoh Soal Turunan Implisit - Kumpulan Contoh Soal

TURUNAN FUNGSI IMPLISIT – Bimbel Online Gulam Halim

TURUNAN FUNGSI TRIGONOMETRI Dani Suandi M Si 1
![]()
Cara Melakukan Turunan Fungsi Implisit: 7 Langkah (dengan Gambar)

Turunan Implisit – ADHITYA FAIKA RESKY

TURUNAN FUNGSI IMPLISIT – Bimbel Online Gulam Halim

FUNGSI IMPLISIT

Turunan

Turuna parsial fungsi dua peubah atau lebih

Soal Dan Jawaban Turunan Fungsi Eksponen - Kumpulan Contoh Surat dan Soal Terlengkap

Contoh Soal Turunan Implisit Trigonometri Beserta Jawabannya
![]()
Turuna parsial fungsi dua peubah atau lebih

Kalkulus – Turunan Fungsi (2) | Syaeful Amin
![]()
Cara Melakukan Turunan Fungsi Implisit: 7 Langkah (dengan Gambar)

Materi, Soal, dan Pembahasan - Turunan Fungsi Implisit - Mathcyber1997

TURUNAN PARSIAL MATERI KALKULUS I. - ppt download

Contoh Soal Turunan Fungsi Tingkat Tinggi

PPT - TURUNAN FUNGSI ALJABAR PowerPoint Presentation, free download - ID:4846171

Soal Turunan Perkalian Fungsi Eksponen - YouTube
16+ Contoh Soal Turunan Implisit Dan Pembahasan - Kumpulan Contoh Soal

Menentukan Turunan Fungsi Implisit

Turuna parsial fungsi dua peubah atau lebih

Contoh Soal Matematika SMA Kelas 11–Turunan Lengkap

Fisika Matematika : Contoh Soal Diferensial/ Turunan Parsial (2) - YouTube

TURUNAN FUNGSI IMPLISIT – Bimbel Online Gulam Halim
Contoh Soal Turunan Pertama Dari Y
![]()
Cara Melakukan Turunan Fungsi Implisit: 7 Langkah (dengan Gambar)

Tentukan Fungsi implisit dari x³-3x²y+19xy=0? - Brainly.co.id
Fungsi Implisit | PDF

- turunan 1 Konsep Turunan

Contoh Soal Turunan Fungsi Implisit Dan Pembahasannya - Contoh Soal Pelajaran

11+ Contoh Soal Turunan Eksplisit - Kumpulan Contoh Soal

VIMATH | Aturan Rantai & Turunan Implisit (PART ONE) - YouTube

Contoh Soal Turunan Implisit Trigonometri

Contoh Soal Turunan Implisit Dan Pembahasannya - Contoh Soal Pelajaran
Rangkuman, Contoh Soal Dan Pembahasan - Turunan Implisit - Mathematics | PDF
TURUNAN FUNGSI IMPLISIT

Materi, Soal, dan Pembahasan - Turunan Fungsi Implisit - Mathcyber1997
Integral-Luas Daerah yang Dibatasi Kurva [Contoh Soal dan Pembahasan]

5.10 Turunan fungsi hiperbolik - ppt download