Deret Taylor dan Deret MacLaurin

Deret Taylor Contoh Soal Dan Pembahasan Sederhana pada Metode Numerik - YouTube

Fisika Matematika : Deret Taylor dan Mac Laurin I Part 1 - YouTube

DERET TAYLOR | Belajar Teknologi

Deret Taylor. - ppt download

Contoh Soal Deret Taylor
Contoh Soal Deret Taylor Dan Penyelesaiannya - Contoh Soal Terbaru

Contoh Soal Deret Taylor Dan Penyelesaiannya - Contoh Soal Terbaru

Detail Contoh Soal Deret Taylor Contoh Soal Dan Materi Pelajaran 7

Kuliah 12-deret-taylor-maclaurin

Rangkuam Materi - Deret Taylor, Maclaurin Dan Deret Binomial

DERET FUNGSI Bentuk umum un x u 1x
Contoh Soal Dan Pembahasan Deret Taylor | PDF

Deret Taylor dan McLaurin
Mencari Nilai Sin Menggunakan Matlab (Menggunakan Deret Taylor) - Sufyan97

Contoh Soal Deret Taylor Dan Penyelesaiannya

Deret dan Aproksimasi Deret Mac Laurin Deret Taylor

Deret Taylor dan McLaurin

Deret MacLaurin Deret Taylor - ppt download

METODE NUMERIK DERET TAYLOR ANALISIS GALAT IRA VAHLIA

Deret Taylor dan McLaurin

DERET TAYLOR DAN DERET MACLAURIN - M4TH-LAB
![]()
PDF) Soal Nomor 1 Hasil X^5 dari Sin(2x) Rumus Untuk mencari Sin Dalam Deret Taylor | calwin coy - Academia.edu

DERET TAYLOR DAN ANALISIS GALAT - ppt download

DERET TAYLOR DAN DERET MACLAURIN - M4TH-LAB

1 DERET TAYLOR DAN ANALISIS GALAT OLEH HARTATIK
![]()
Deret Taylor - Wikipedia bahasa Indonesia, ensiklopedia bebas

9.8 Deret Taylor dan Deret Maclaurin - YouTube
Kalkulus I 04 Fungsi | PDF

Memahami Deret Maclaurin Lebih Jauh | KEDAI MIPA
Deret Taylor dan Deret MacLaurin
![DERET TAYLOR & APLIKASI - Universitas .•Deret Maclaurin adalah penaksiran polinom derajat tak hingga - [PDF Document]](https://i2.wp.com/demo.fdokumen.com/img/378x509/reader025/reader/2021042911/5c79ace009d3f207058b5057/r-2.jpg)
DERET TAYLOR & APLIKASI - Universitas .•Deret Maclaurin adalah penaksiran polinom derajat tak hingga - [PDF Document]
Contoh Soal Dan Pembahasan Deret Taylor ANAZ | PDF

Deret Taylor Matematika dan Teorema Taylor - Contoh Soal dan Jawaban

DERET TAYLOR DAN DERET MACLAURIN - M4TH-LAB

Contoh Soal Deret Taylor Dan Maclaurin - Berbagi Contoh Soal

Deret McLaurin - YouTube

Contoh Soal Deret Taylor Sinx Cos X – Beinyu.com
Deret Taylor | PDF

Aproksimasi Dari Deret Mclaurin dan Taylor

DERET TAYLOR DAN ANALISIS GALAT - ppt download

Deret Taylor dan Analisis Galat Indriati ST MKom

Detail Contoh Soal Deret Taylor Metode Numerik Contoh Soal Terbaru
Deret Taylor - Wikipedia bahasa Indonesia, ensiklopedia bebas

Forier vs Deret Taylor « Redyadb’s Blog

Kesalahan Pemotongan. - ppt download

Deret maclaurin dari cos x (ekspansikan) - Brainly.co.id

Deret Taylor dan Deret MacLaurin – Komputasi Numerik
Deret Taylor dan Deret MacLaurin
Deret Maclaurin Dan Deret Taylor Fungsi Dua Peubah | PDF

Deret Taylor Deret Mac Laurin Deret Laurent - ppt download
Deret Taylor dan Deret MacLaurin

Deret Taylor dan Deret MacLaurin – Komputasi Numerik

DERET TAYLOR DAN DERET MACLAURIN - M4TH-LAB

Deret Fourier dan Deret Taylor – Mechanical Engineering

Contoh Soal Deret Taylor Dan Penyelesaiannya - Barisan Contoh

DERET TAYLOR DAN ANALISIS GALAT 2 DERET TAYLOR
Deret Taylor - Wikipedia bahasa Indonesia, ensiklopedia bebas
Deret Taylor dan Deret MacLaurin

DERET TAYLOR & ANALISIS GALAT - ppt download
![]()
DERET DAN TEOREMA TAYLOR | Nico For Math

Problem Set Kalkulus - Deret Taylor dan Maclaurin (Part 2) - YouTube
Deret Taylor - Wikipedia bahasa Indonesia, ensiklopedia bebas

Deret Taylor dan McLaurin

- Dapatkan deret Taylor dari f(x) = 2/x di a = 2 dan dari soal diatas tentukan juga deret maclaurin nya

Problem Set Kalkulus - Deret Taylor dan Maclaurin (Part 1) - YouTube

DERET DAN TEOREMA TAYLOR | Nico For Math
Deret Taylor - Wikipedia bahasa Indonesia, ensiklopedia bebas

Deret Taylor dan McLaurin
![]()
DERET DAN TEOREMA TAYLOR | Nico For Math

DERET TAYLOR DAN DERET MACLAURIN - M4TH-LAB

Deret Taylor dan McLaurin

Deret Pangkat Matematika Beserta Contoh Soal dan Jawaban

Konsep Deret & Jenis-jenis Galat - PDF Download Gratis
![]()
DOC) Deret Taylor Dan Mac Laurin | Budi Ardiansyah - Academia.edu

Soal Perderetkan dengan f(x) berikut deret taylor dengan pusat x= a a. f(x)=cos x,a=pi//3

PPT - Deret taylor dan mac laurin fungsi dua perubah PowerPoint Presentation - ID:3434744

Deret fourier & Deret Taylor « ganeshwicaksono blog
![]()
Contoh deret taylor dan deret maclaurin.docx - Contoh deret taylor y = f(x = 2x4 \u2013 2x 4 Cari y pada x = 0.5 Perhitungan y(0.5 dengan deret Taylor | Course Hero
Contoh Soal Deret Taylor Dan Penyelesaiannya – Lektur Indo
Mac Laurin | PDF

Deret Pangkat Istimewa – Bermatematika

DERET TAYLOR DAN DERET MACLAURIN - M4TH-LAB

Defenisi Deret Taylor dan Deret Maclaurin Beserta Contoh - SM BLOG

PPT - Deret Taylor dan Analisis Galat PowerPoint Presentation, free download - ID:4305356

Pemotongan Kesalahan dan Deret Taylor | DIMAS DIAR AIDI.com
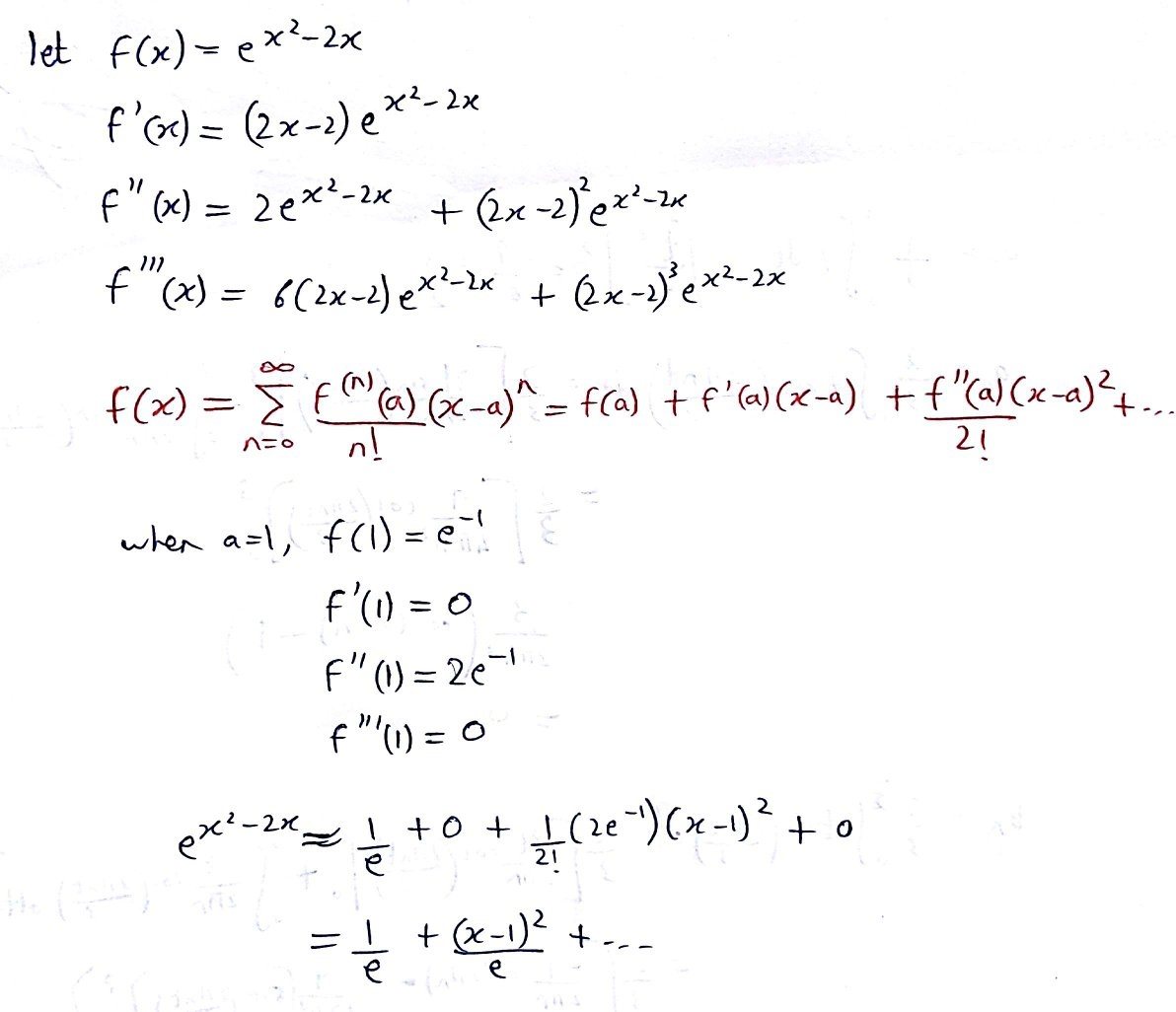
Bagaimana deret Taylor dari e^ (z^2-2*z) di sekitar z=1? - Quora

Deret Taylor dan McLaurin

Deret Taylor | Deret Tak Hingga (Part 8) | Kalkulus - YouTube

Aproksimasi Dari Deret Mclaurin dan Taylor

Pertemuan 1 Metnum 2011 Bilqis - ppt download
Deret Taylor - Wikipedia bahasa Indonesia, ensiklopedia bebas

Deret Pangkat Istimewa – Bermatematika

Soal Tentukanlah deret Taylor dalam (x-a) hingga suku (x-a)^(3) 1. cos x,a=(n)/(3)
Deret Taylor dan Deret MacLaurin
Deret Taylor | PDF
![2. Deret Taylor Dan Analisis Galat - [PDF Document]](https://i2.wp.com/reader017.fdokumen.com/reader017/html5/js20200111/5e18ef5e06422/5e18ef6014cb3.jpg)
- Deret Taylor Dan Analisis Galat - [PDF Document]

Program Perkuliahan Dasar Umum Sekolah Tinggi Teknologi Telkom

Deret Taylor Dan Deret Mclaurin
![]()
123456789.docx - Deret Taylor Dalam matematika Deret Taylor adalah representasi fungsi matematika sebagai jumlahan tak hingga dari suku-suku yang | Course Hero