
Algoritma mencuci piring - Brainly.co.id

Wulandari: Algoritma Dalam Kehidupan Sehari-Hari

diyah apiliana puspita dewi

Wulandari: Algoritma Dalam Kehidupan Sehari-Hari
![Algoritma Dalam Kehidupan Sehari - [DOCX Document]](https://i3.wp.com/reader020.staticloud.net/reader020/html5/20190928/563dbb41550346aa9aab9c4e/bg1.png)
Algoritma Dalam Kehidupan Sehari - [DOCX Document]

Konsep Logika dan Algoritma Untuk Pemula

5 Contoh Algoritma dan Flowchart Dalam Kehidupan Sehari-hari
Algoritma Mencuci Piring | PDF

infoICT: Algoritma

5 Contoh Algoritma dan Flowchart Dalam Kehidupan Sehari-hari

Wulandari: Algoritma Dalam Kehidupan Sehari-Hari
![Algoritma Dalam Kehidupan Sehari - [DOCX Document]](https://i2.wp.com/reader020.staticloud.net/reader020/html5/20190928/563dbb41550346aa9aab9c4e/bg4.png)
Algoritma Dalam Kehidupan Sehari - [DOCX Document]

5 Contoh Algoritma dan Flowchart Dalam Kehidupan Sehari-hari

Pengertian Algoritma dan Flowchart

alviani21: Beberapa Macam Contoh Penerapan Algoritma dalam Kehidupan sehari-hari beserta flowchartnya

5 Contoh Algoritma dan Flowchart Dalam Kehidupan Sehari-hari

Algoritma dan Flowchart Cara Memasak Nasi

Gakpapa jelek yang penting blog: CONTOH ALGORITMA SEDERHANA

Algoritma Pemrograman: Contoh Algoritma Beserta Flowchartnya
Algoritma Dalam Kehidupan Sehari | PDF
![Algoritma Dalam Kehidupan Sehari - [DOCX Document]](https://i0.wp.com/reader020.staticloud.net/reader020/html5/20190928/563dbb41550346aa9aab9c4e/bg3.png)
Algoritma Dalam Kehidupan Sehari - [DOCX Document]

Bahasa pemrograman dan algoritma

5 Contoh Algoritma dan Flowchart Dalam Kehidupan Sehari-hari

Algoritma Cara mencuci pakaian dengan tangan yang benar Isi ember cuci dengan air bersuhu sesuai petunjuk pada label perawatan ba… | Anjuran, Petunjuk, Perawatan

tugas saya | Cipitcipitcuit’s Blog

Wulandari: Algoritma Dalam Kehidupan Sehari-Hari

Bahasa pemrograman dan algoritma
√ Pengertian Flowchart : Jenis, Simbol, dan Contohnya - Ansori Web

RICO SILALAHI | PERHATIKANLAH ORANG YANG TULUS DAN LIHATLAH KEPADA ORANG YANG JUJUR ,SEBAB PADA ORANG YANG SUKA DAMAI AKAN ADA MASA DEPAN. MAZMUR 37 : 37
Contoh Algoritma Dikehidupan Sehari | PDF
TANGGULNESIA: Algoritma Mencuci Motor
![Algoritma Dalam Kehidupan Sehari - [DOCX Document]](https://i0.wp.com/reader020.staticloud.net/reader020/html5/20190928/563dbb41550346aa9aab9c4e/bg2.png)
Algoritma Dalam Kehidupan Sehari - [DOCX Document]

Algoritma Algoritma adalah urutan langkah-langkah logis penyelesaian masalah yang disusun secara sistematis Algoritma adalah urutan logis pengambilan keputusan. - ppt download

Flow Chart dan Peta Minda (Mind Mapping) - Video Pembelajaran Simulasi Komunikasi Digital - YouTube

Wulandari: Algoritma Dalam Kehidupan Sehari-Hari
![]()
DOC) Algoritma | wawan goim - Academia.edu

Pengertian Algoritma dan Flowchart

BAB IV BAHASA PEMROGRAMAN VISUAL SEDERHANA - PDF Download Gratis

KD 3.1 Menerapkan Logika dan Algoritma Komputer – Panthera Chemist

Buatlah Algoritma Membuat Kopi – Beinyu.com

SAN THE BLUES: algoritma dan flowchart-dalam-kehidupan-sehari-hari

5 Contoh Algoritma dan Flowchart Dalam Kehidupan Sehari-hari
![]()
DOC) Makalah Algoritma | Herlina S. Putri - Academia.edu
Contoh Algoritma Dikehidupan Sehari | PDF

Bahasa pemrograman dan algoritma

PDF) Algoritma & Pemrograman (Pengulangan Repeat)

Contoh Algoritma, Pemrograman, dan Bukan Algoritma – alfiannj

Konsep Logika dan Algoritma Untuk Pemula

BAHAN AJAR ALGORITMA PEMOGRAMAN-Flip eBook Pages 1 - 15| AnyFlip | AnyFlip

algoritma dan flowchar cara cuci tangan yang baik dan benartolong dong plissss bngt dikumpul - Brainly.co.id

Cara Membuat Flowchart Sederhana Yang Benar - Qwords
RENCANA PELAKSANAAN PEMBELAJARAN (RPP) Nama Sekolah : SMK Negeri 1 Kokap Mata Pelajaran : Simulasi dan Komunikasi Digital Komp.
Untitled
![]()
PDF) MAKALAH ALGORITMA DAN FLOWCHART | Johan RZ - Academia.edu

Buatlah Algoritma Membuat Kopi – Beinyu.com

Cara Membuat Flowchart Sederhana Yang Benar - Qwords
02 130916 Algoritma Flowchart | PDF

Algoritme - Wikipedia bahasa Indonesia, ensiklopedia bebas
ALGORITMA DAN FLOWCHART DALAM MENYELESAIKAN SUATU MASALAH Johan Reza Fauzi (20330044) UNIVERSITAS JANABADRA YOGYAKARTA 2020

tugas flowchart (mencuci tangan) | mengajardanbelajar

Simbol Flowchart - Pengertian, Fungsi, Tujuan, Jenis, Contoh

Konsep Logika dan Algoritma Untuk Pemula

Sebutkan jenis jenis algoritma dan buatlah 1 contoh algoritma

Algoritma Algoritma adalah urutan langkah-langkah logis penyelesaian masalah yang disusun secara sistematis Algoritma adalah urutan logis pengambilan keputusan. - ppt download
Algoritma

Pengertian Algoritma dan Flowchart

Cara Membuat Flowchart Sederhana Yang Benar - Qwords

Algoritma dan Flowchart Cara Memasak Nasi

Algoritma Algoritma adalah urutan langkahlangkah logis penyelesaian masalah

MAKALAH ALGORITMA DAN FLOWCHART - PDFCOFFEE.COM

Wulandari: Algoritma Dalam Kehidupan Sehari-Hari

Simbol Flowchart : Arti, Tujuan, Jenis, Contoh Studi Kasus
√ Pengertian Flowchart : Jenis, Simbol, dan Contohnya - Ansori Web

Oleh : Nur Hayatin, S.ST Program Komputer. Tujuan Setelah perkuliahan selesai diharapkan : Mahasiswa mampu memahami tentang program komputer Mahasiswa. - ppt download

Simak, Begini Cara Mencuci Piring yang Benar Halaman all - Kompas.com

Algoritma dan Flowchart Cara Membuat Mie Instant Beserta Pseudocode

Simbol Flowchart : Arti, Tujuan, Jenis, Contoh Studi Kasus

Pengertian Algoritma dan Flowchart
ALGORITMA DAN FLOWCHART DALAM MENYELESAIKAN SUATU MASALAH Johan Reza Fauzi (20330044) UNIVERSITAS JANABADRA YOGYAKARTA 2020

Jenis Flowchart dan Simbol-Simbolnya | by Dimas Rizky | DOT Intern | Medium
Algoritma I_P_2

Luthfan Junnio: Algoritma dalam Kehidupan sehari-hari
Algoritma
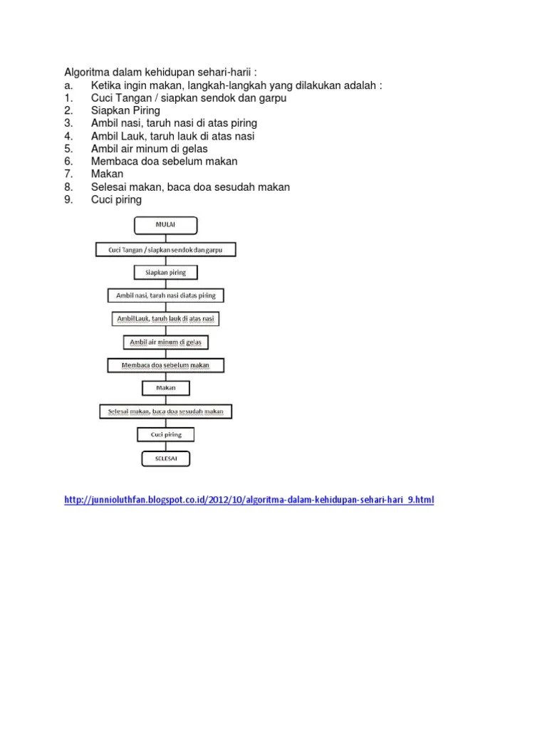
Algoritma dalam kehidupan sehari-harii : a. Ketika ingin makan, langkah-langkah yang dilakukan adalah : 1. Cuci Tangan /

Contoh Flowchart Kegiatan Sehari Hari – Python

Algoritma dan Flowchart Cara Membuat Mie Instant Beserta Pseudocode

Algoritma Algoritma adalah urutan langkah-langkah logis penyelesaian masalah yang disusun secara sistematis Algoritma adalah urutan logis pengambilan keputusan. - ppt download

8 Contoh Algoritma dalam Kehidupan Sehari-hari | Kelas Programmer
![]()
Bahasa pemrograman dan algoritma
Algoritma I_P_2
PENGEMBANGAN MULTIMEDIA PEMBELAJARAN INTERAKTIF ALGORITMA PEMROGRAMAN DASAR UNTUK SISWA KELAS X TEKNIK KOMPUTER DAN JARINGAN DI

alpro2

Pengertian Algoritma dan Flowchart
![]()
3.3. Memahami Proses Pengembangan program visual yang lebih besar dan kompleks KOMPETENSI DASAR : ALGORITMA & PEMROGRAMAN ROBOT SEDERHANA VARIABEL DAN. - ppt download
![]()
Perancangan Simulasi Mesin Cuci Umum Menggunakan Koin

Simbol Flowchart : Arti, Tujuan, Jenis, Contoh Studi Kasus

DEFINISI TENTANG ALGORITMA DAN PEMROGRAMAN - PostEnpost

Algoritma dan Flowchart Cara Membuat Mie Instant Beserta Pseudocode

6 Ciri Algoritma Pemrograman - Dicoding Blog

Materi dan Kunci Jawaban Tematik Kelas 5 Tema 8 Subtema 3 Halaman 126, 128