
∫(xx) dx =………….. (dibaca x akar x) - Brainly.co.id
DX GASHAT MIGHTY BROTHER XX | Shopee Indonesia

What is the integral of x / (x+1)^(1/3) dx? - Week 13 - Lecture 7 - Mooculus - YouTube

Jual DX Mighty Brothers XX Gashat Kamen Rider Ex-Aid di Lapak Sakamoto Store | Bukalapak

hasil integral x (x-1)^2/akar x dx=… - Brainly.co.id

xx DX xx - D-generation X Fan Art (17090647) - Fanpop

Soal int(x-x^(2)sqrtx)/(xsqrtx)dx=

Jual DX Gashat Mighty Brother XX - Kamen Rider Ex Aid double Gashat - Mighty brother - Kota Bekasi - Adzhar45 | Tokopedia

Jual Bandai Premium Kamen Rider Ex-aid Dx Doctor Mighty Xx Gashat Mainan Anak Terbaru Oktober 2021 harga murah - kualitas terjamin | Blibli

Hasil ∫ x(x – 1)2/√x dx = - Mas Dayat

Mainan Robot Gashat Bandai DX Mighty Brothers XX | Lazada Indonesia

Integral x(2√x-x/√x) dx= - Brainly.co.id
![DX REVIEW - DX DOCTOR MIGHTY XX GASHAT /ドクターマイティXX ガシャット [Kamen Rider Ex-Aid] - YouTube](https://i0.wp.com/i.ytimg.com/vi/ub6AmIR37d8/maxresdefault.jpg)
DX REVIEW - DX DOCTOR MIGHTY XX GASHAT /ドクターマイティXX ガシャット [Kamen Rider Ex-Aid] - YouTube

Jual DX Mighty Brothers XX Gashat - Kamen Rider Ex-Aid di Lapak Helo Hero Toys | Bukalapak

Hasil dari ∫ (x2 – x√x) dx adalah - Mas Dayat

Jual dx doctor mighty xx kamen rider exaid ex aid - Kab. Badung - Tokusatsu toys | Tokopedia

Soal int_(-5)^(b)(6-x-x^(2))dx=20(5)/(6)
KAMEN RIDER EX-AID DX GASHAT Doctor Mighty XX | Shopee Indonesia

Ex 7.8, 4 - Integrate (x2 - x) dx by limit as a sum - Ex 7.8

TSH-1xx-xx-xx-Dx-xx Drawing Datasheet by Samtec Inc. | Digi-Key Electronics

Jual Bandai Premium Kamen Rider Ex-Aid DX Doctor Mighty XX Gashat Murah - Jakarta Selatan - widya luluk | Tokopedia

Soal Hasil dari int(x^(2)-xsqrtx)dx adalah dots

Jual DX KAMEN RIDER EX-AID MIGHTY BROTHERS XX GASHAT 0480329 di Lapak Multi Toys | Bukalapak

wk3sn2fall2015 - Department of Mathematics - swheeler/math 1431/Completed…xx x x dx dx dx ddd xx x x dx dx dx dd cx c x dx dx fg f g fg f g

Soal Hasil int xx((1)/(sqrtx)+x)dx=dots
DX Gashat Mighty Brother XX Set Green | Shopee Indonesia

sin .cos ∫ - MT Educare, .sin cos + sin .cos sin .cos x x dx … = x2 + 3x +7 log |7x – 1|+ c

hasil dari ∫(x²-x√x) DX adalah - Brainly.co.id

WWE - Slam - DX - 04 by xx-trigrhappy-xx on DeviantArt
![TUGAS KELAS XII IIS KERJAKAN DI KERTAS FOLIO .x x dx. Nilai a2 + a = … . a. 2 c. 6 e. 24 b. 3 d. - [PDF Document]](https://i2.wp.com/reader016.staticloud.net/reader016/html5/20190606/5c9111c109d3f2907b8cd3bd/bg1.png)
TUGAS KELAS XII IIS KERJAKAN DI KERTAS FOLIO .x x dx. Nilai a2 + a = … . a. 2 c. 6 e. 24 b. 3 d. - [PDF Document]
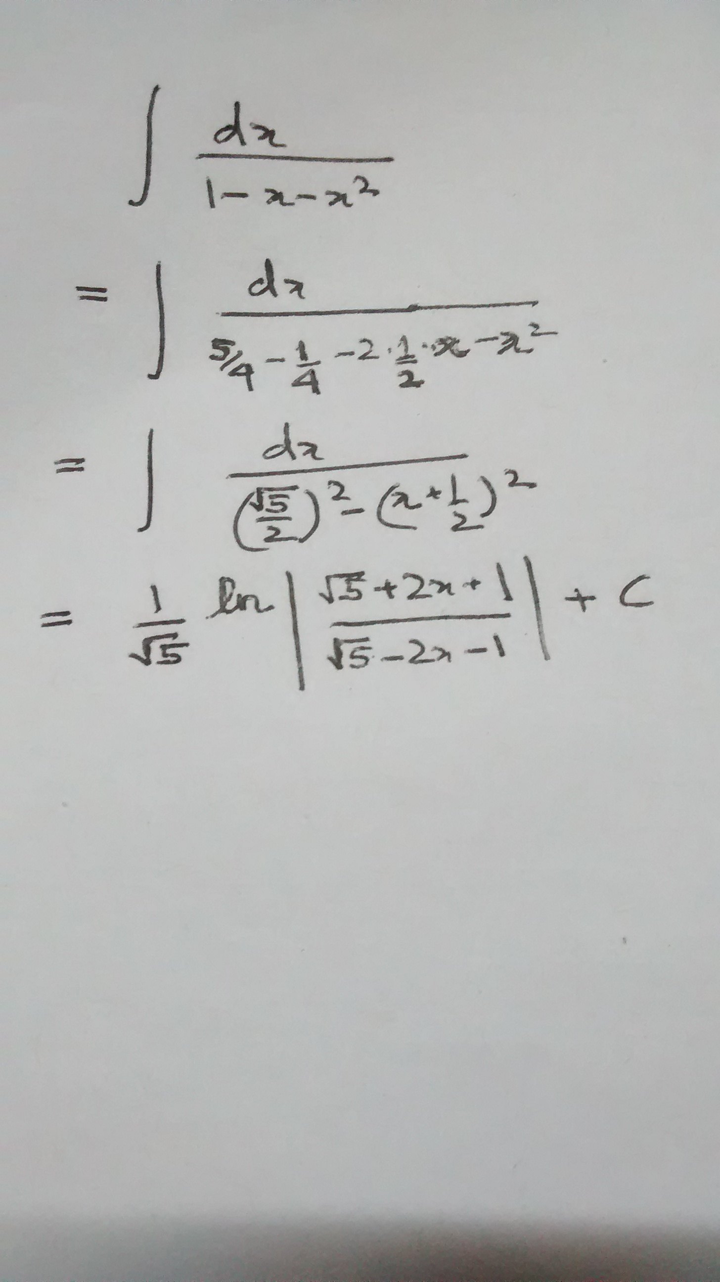
How to intregate dx/1-x-x^2 - Quora

INTEGRAL TERTENTU - .x dx x x dx m M x ( ) ( ) δ δ … adalah δ(x) = 3x2 g/cm. Tentukan pusat
Solved Evaluate the integral. integral_1^64 4 + 3 | Chegg.com

Dx Mighty Brothers Xx Gashat Kamen Rider Ex-aid Original - Bukalapak.com | inkuiri.com

TT140 TOYOTA CORONA CX DX XX | Part no. TT/001 ENGLISH / NEW… | Flickr

Jual Bandai DX Henshin - Mighty Brother XX Gashat Ex Aid di Lapak DropBY | Bukalapak

Hasil dari integral x(x+3) pangkat 4 dx= Tolong bantu jawab ya - Brainly.co.id
Probability density function g xx = dG xx/dx, for = −1, = 0, and = 1,… | Download Scientific Diagram
![DX REVIEW - DX MIGHTY BROTHERS XX GASHAT [Kamen Rider Ex-Aid] - [BAHASA INDONESIA] - YouTube](https://i1.wp.com/i.ytimg.com/vi/8C6HTrRWCxA/maxresdefault.jpg)
DX REVIEW - DX MIGHTY BROTHERS XX GASHAT [Kamen Rider Ex-Aid] - [BAHASA INDONESIA] - YouTube

Kelas xii sma ipa matematika_pesta es
∫xx+3x3−9dx=….

Electronic Components Led Fys-40011c/dx-xx - Buy Fys-40011c/dx-xx,Led,Electronic Components Product on Alibaba.com
5 12765 sin(x)) cos(x)dx if | xx)dx = 14 Find 0 0 O | Chegg.com

Integral tak tentu dan tertentu i

harxxxxxx ga sa xxx xx lxxxdddddooo dx xxxx aaaannnaaxx goxxxx pa xxxx y 250k - Bukalapak.com | inkuiri.com

Bosch | DCN-Dx-xx Delegate Unit Basic with fixed Microphone | DCN Conference Solutions
DX Gashat Mighty Brother XX Set Orange | Shopee Indonesia

integral x / x^2+1 dx adalah - Brainly.co.id

Hasil dari integral 6x (2x-5)pangkat 3 dx… - YouTube

Example 25 (Supplementary NCERT) - Integrate x root(1 + x - x2) dx
![]()
2 3 4 5 x x dx 2 3 4 2 x x x dx 2 2 3 2 2 3 3 3 7 2 x x dx 5 1 5 3 2 2 3 x x x | Course Hero

Kamen Rider Ex-Aid: DX Doctor Mighty XX Gashat Video Review - Orends: Range (Temp)

Density of dX = −X(X − 1)(X − 2)dt + dB t . | Download Scientific Diagram

xx.dx (@xxdx1) | Twitter

Integrals - Byju’s 3 2 11. 2 x x ¢â‚¬â€œ5 4

A U US … misal, x2, x2 + 5, x2 – 3 adalah integral-integral tak tertentu dari f(x) = 2x, karena x x dx d x dx d x dx d …
Dx - Jual Sepeda & Aksesoris Terlengkap di Bandung Kota - OLX.co.id
![CHAPTER 8 TECHNIQUES OF INTEGRA xx dx xx Split into two integrals. 21 1 1 21 21 1ln xx dx dx dx xx x - [PDF Document]](https://i1.wp.com/demo.vdocuments.net/img/378x509/reader019/reader/2020031216/5e5ab3f6bc2224043445bbd2/r-1.jpg)
CHAPTER 8 TECHNIQUES OF INTEGRA xx dx xx Split into two integrals. 21 1 1 21 21 1ln xx dx dx dx xx x - [PDF Document]

Integral easy

CONTOH 1 Menghitung luas bidang yang dibatasi oleh
DX Game Driver mighty Brother Double XX Ex Aid | Shopee Indonesia

lim lim dt xd dt dv tvatv tt vv a dt dx txvtx tt xx v

Kamen Rider EX-AID DX Mighty Brothers XX Gashat for Gamer Driver Bandai F/S NEW Animation Art & Characters apvalus Japanese, Anime
Solved integral dx/x(x^4 + 1) integral (x + sin x)^2 dx | Chegg.com

17D-D-x-xx-x Datasheet | LPL Tech - Datasheetspdf.com

PRODUCT SPECIFICATION : :FYT-5231C/DX-XX Model No. | Manualzz

x x dy dx x x x x = − ⇒ = − −( + sin cos cos sin cos sin ) = ( ) = +

Jual Dx Bima di Surabaya - Harga Terbaru 2021

Kamen Rider Ex-Aid Review | DX Doctor Mighty XX Gashat – CollectorShuki.com

Busi NGK MotoDX Ikut Sukseskan PON XX Papua

Hasil dari integral x.akar x dx = - YouTube
∫x(x−6)2dx=….

DX Mighty Brothers XX Gashat (Henshin Dress-up) - HobbySearch Toy Store

DX Doctor Mighty XX Gashat Announced - The Tokusatsu Network

Soal Nilai dari int(3x^(2)+xsqrtx)dx adalah …
Bagaimana cara menyelesaikan persamaan diferensial, Dy/DX +y/(1-x) (x^1/2) =1-x^1/2 - Quora

Jual DX Mighty Brothers XX Gashat - Kamen Rider Ex-Aid di Lapak Helo Hero Toys | Bukalapak

cheap online outlet GENUINE Avid Media Mojo Dx 7020-20059-XX Rack Mountable 7020-20059-04/XX cheapest sale online store -asbm.com.br

Mighty Brothers XX Siap Bertarung! Majalah Kamen Rider Para-DX Bermunculan!

Evaluate int(3-2x)sqrt(2+x-x^2)dx

Euromex DX.9690-XX DIC prism for Rotating Disc Condenser - New York Microscope Company

Integral x (x-1)^4 dx - Brainly.co.id

Soal ulangan tengah semester 1

KALKULUS 2 TEKNIK INTEGRASI. - ppt download

Integrals - Byju’s 3 2 11. 2 x x ¢â‚¬â€œ5 4

China Radio Controlled Watch (RCD-DX-XX) - China radio controlled watch and radio controlled clock price
DX Kamen Rider Ex-aid Exaid Brave Genm Snipe Gashat Dual Mighty Brother Brothers XX Double X BANDAI | Shopee Indonesia

Stream PAtZ ARgUeLlLo - D D D Dd D X Xx X X X Z Zz Z Zz Z Z by patzarguello | Listen online for free on SoundCloud
![]()
sec sec x x dx x x x dx x x x dx x x x dx x x dx x x dx x x C 3 Evaluate tan | Course Hero
![]()
PDF) Tabel Intergral | Holil Septa - Academia.edu

DX Doctor Mighty XX Gashat Announced - The Tokusatsu Network

Ex 7.5, 23 (MCQ) - Integrate dx / x (x^2 + 1) equals (A) log |x| - 1/2
FYS-15011C/DX-XX Datasheet(PDF) - Ningbo Foryard Optoelectronics Co., Ltd.

Kamen Rider Ex-Aid Review | DX Doctor Mighty XX Gashat – CollectorShuki.com
H1C-P-020-ME-OB-SAG-FP1-DX-N-XXXX- 000-XX-XX-XX - Brevini Bulgaria Sales Prices

Kamen Rider Ex-Aid DX MIGHTY BROTHERS XX GASHAT: EmGo’s Kamen Rider Reviews N' Stuff - YouTube
![CHAPTER 8 TECHNIQUES OF INTEGRA xx dx xx Split into two integrals. 21 1 1 21 21 1ln xx dx dx dx xx x - [PDF Document]](https://i2.wp.com/demo.vdocuments.net/img/378x509/reader019/reader/2020031216/5e5ab3f6bc2224043445bbd2/r-2.jpg)
CHAPTER 8 TECHNIQUES OF INTEGRA xx dx xx Split into two integrals. 21 1 1 21 21 1ln xx dx dx dx xx x - [PDF Document]

Evaluate: int_(1//4)^(1//2)1/(sqrt(x-x^2))dx

Geometric Transformations Geometric Transformations Translate X X dx

Soal intx^(2)xx sinh(x^(3))dx