
penyelesaian pertidaksamaan 3/x-5 < -5/x-3? pakai cara kalo bisa :) - Brainly.co.id

Tentukan nilai x yang memenuhi persamaan |x-5|=|x+3| - Brainly.co.id

himpunan penyelesaian dari |x+3|=|3x-5| adalah(please pake caranya) - Brainly.co.id

5 – 3x| ≥ |x + 1| - Mas Dayat

Penyelesaian dari pertidaksamaan |3x – 4| > 5 adalah - Mas Dayat

F(x) dibagi x-2 sisanya 5 dan dibagi x²-x-6 sisanya 3x-1.jika f(x) dibagi x²- 4,sisa pembagiannya = - YouTube

Himpunan penyelesaian dari persamaan 2(3x-2)=3(x+5) adalah - YouTube

Ex 2.5, 4 - Solve x-5/3 = x-3/5 - Chapter 2 Class 8 - Teachoo

Kumpulan soal dan pembahasan sistem persamaan linier dua variabel

Sistem Persamaan Linear Dua Variabel SPLDV Sistem persamaan

Persamaan dan Pertidaksamaan Linear Satu Variabel – Zona Angka

Contoh Soal Persamaan Garis Lurus dan Jawaban

How do you solve (X-1)/2 + (y+2)/3 = 4 and X-2y =5? | Socratic

Linear Equations in One Variable Class 8 Extra Questions Maths Chapter 2 - Learn CBSE

Chapter 6 Simultaneous (Linear) Equations (Including Problems) - Selina Concise Mathematics - Part I Solutions for Class 9 Mathematics ICSE - TopperLearning

Penyelesaian dari pertidaksamaan |3x + 7| < |x + 5| adalah - Mas Dayat

Example 4 - Solve 5 - 2x /3 <= x/6 - 5 - Chapter 6 Class 11

4/5 x 3/6 = 3/4 x 5/7 = 6 x 5/8 = 1 2/3 x 11/2 = 2 2/5 x 30 = - Brainly.co.id

x + 3| + |2x – 5| = 14. Tentukan himpunan penyelesaiannya! - Mas Dayat

3x-5|=7 tentukan himpunan penyelesaian persamaan nilai mutlak - YouTube

RD Sharma Solutions Class 9 Chapter 13 Linear Equations in Two Variables - Free PDF
IMATH: Menyelesaikan Persamaan Trigonometri Bentuk a cos x + b sin x = C

March | 2019 | Kalkulus I
![]()
5 Cara untuk Mencari Nilai X - wikiHow

Tentukan HP dari │2x-3│ = │x+5│ - Brainly.co.id

5 x 3 Tidak Sama dengan 3 x 5 ? Halaman 1 - Kompasiana.com

3x + 5| = |x + 7| - Mas Dayat

- 2/3 x 3 1/3 = 2. 1 4/5 x 21/6 = 3. 2 1/2 x 5/7= 4. 3 1/4 x 1/2= 5. 3 1/3 x 1 2/4= 6. 1 1/5x 2 2/6= 7. 2 1/2 x 1 2/3= 8. 1 2/5

Soal Pertidaksamaan Nilai Mutlak dan Jawaban

persamaan nilai mutlak | 3x-5|=4 - Brainly.co.id

Soal Diketahui rumus fungsi f(x)=-x^(5)-3x^(3)+x-4. Tentukan nilai: f(x)

Ex 6.1, 11 - Solve: 3(x - 2)/5 <= 5(2 - x)/3 - Chapter 6

x – 2)(x + 3) ≤ 0 nilai nolnya adalah x – 2 = 0 atau x + 3 = 0 - ppt download

5|2x-3|=2|3-5x| tentukan nilai x nya jika ada - YouTube

50 Contoh Soal Fungsi Komposisi dan Jawabannya. Lengkap - Masharist

Himpunan penyelesaian dari |x – 5| = |3x – 1| adalah - Mas Dayat

Tentukan Himpunan Penyelesaian dari Persamaan (x + 1)3x+6 = (x2 + 2x + 1)2x+ 5 | kumparan.com

Menentukan Nilai dari Limit x menuju 2 dari (x²-4x-12) /(x-2)
![]()
5 Cara untuk Mencari Nilai X - wikiHow

5 x 3 Tidak Sama dengan 3 x 5 ? Halaman 1 - Kompasiana.com

Wayfair | 3' x 5' Rugs You’ll Love in 2021

1). |5x+10|= - |3x+6| 2). nilai x yang memenuhi pertidaksamaan |x-5|< 8 adalah 3). penyelesaian dari pertidaksamaan |x|≤20 4).

Soal Gambarlah grafik f(x)=3x-5.

tentukan hp | 2x+3 |+ | 3x-5 = 9 - Brainly.co.id

Operasi Aljabar pada Fungsi Halaman all - Kompas.com

Pertidaksamaan Nilai Mutlak Bentuk Pecahan | idschool

FUNGSI (LANJUTAN) OLEH; DEDEH HODIYAH. - ppt download

Himpunan penyelesaian dari persamaan |3x – 4| = 5 adalah - Mas Dayat
![Factorize the Equation: x^3 – 3x^2 – 9x – 5 [Solved]](https://i0.wp.com/d138zd1ktt9iqe.cloudfront.net/media/seo_landing_files/factorization-of-x3-3x2-9x-5-1627013316.png)
Factorize the Equation: x^3 – 3x^2 – 9x – 5 [Solved]

Kunci Jawaban Matematika Kelas 5 Halaman 19 dan Caranya

Ex 7.5, 9 - Integrate 3x + 5 / x^3 - x^2 - x + 1 - Teachoo

Rumus cepat-matematika-pertidaksamaan(2)

Sifat Komutatif, Asosiatif Dan Distributif Operasi Hitung

Bentuk sederhana dari |3x-6|-|x-4||x+1| untuk nilai 2 lebih kecil dari x lebih kecil dari 4 adalah - YouTube

Rangkuman dan Soal Matematika Sifat Asosiatif Penjumlahan dan Perkalian, Materi Belajar dari Rumah SD Kelas 4 - 6 - Semua Halaman - Bobo

Cara Mudah Mencari dan Menentukan KPK dan FPB Dengan Cepat Lengkap - Kampung Ilmu | Artikel Motivasi, Motivasi Belajar , Materi Pelajaran
Pertidaksamaan Nilai Mutlak - Materi Lengkap Matematika

Pembahasan Soal Nilai Mutlak - Fisika Matematika SMA
![What are the domain and range of the function f(x) = 3 x + 5? [Solved]](https://i3.wp.com/d138zd1ktt9iqe.cloudfront.net/media/seo_landing_files/what-are-the-domain-and-range-of-the-function-f-x-3x-5-01-1621577760.png)
What are the domain and range of the function f(x) = 3 x + 5? [Solved]

- Jika f(x)=x-2, g(x)=3x+1, dan h(x)=x²+4x-3, nilai (g • h • f) (3)=A. 93B. 53C. 29D. 16E. 72. Diketahui f(x)=x²-2x+3, g(x)=x+4,

Soal 1. Bentuk sederhana dari ((3x^(-5)y^(3))/(6x^(3)y^(-2)))^(2) adahh. fiwaban yang bena A. (

Contoh Soal dan Penyelesaian-Logaritma SMA Kelas 10

Solve the following linear equations: x-5/3 = x-3/5 - CBSE Class 8 Maths - Learn CBSE Forum

IMATH: Menyelesaikan Persamaan dan Pertidaksamaan Logaritma
Matriks X yang memenuhi persamaan (2 7 5 3)X = (-3 8 7 -9…

penyelesaian dari pertidaksamaan | 3x - 4 | > 5 adalah mohon bantuan nya ya kak - Brainly.co.id

Aturan Turunan | idschool

2x2 - 3x - 3)x + 2 = (2x2 - 3x - 3)2x + 5 - Mas Dayat

Nilai Mutlak: Persamaan dan Pertidaksamaan Nilai Mutlak

Latihan Soal – SUKUBANYAK (POLINOMIAL)

√ Integral: Integral Tentu, Tak Tentu, Substitusi, Parsial, Trigonometri, Soal

INTEGRAL FUNGSI RASIONAL” - ppt download

Penyelesaian pertidaksamaan 3/(x+5) >=0 adalah….

March | 2019 | Kalkulus I

Ex 9.3, 4 - Simplify 3x (4x – 5) + 3 and find its values for (i) x = 3

How do you solve (x - 3) ( x + 3) + 2( x - 5) ^ { 2} = 3( x ^ { 2} - 2) + 7? | Socratic
![]()
Modul Matematika SMA dan Soal Latihan 02 Latihan 01

x+3)(x+5) Expand and Simplify - YouTube
Komposisi Fungsi - Materi Lengkap Matematika
Akar-akar persamaan kuadrat 2x2 + 3x – 5 = 0 adal…

Latihan soal limit aljabar blog
Cara Mudah Menyelesaikan Persamaan Nilai Mutlak - partnermatematika.com
![Kunci Jawaban] Diketahui A = {x | x > 5, x bilangan asli}, B = {x | 3 < x < 8, x bilangan asli}, dan C = {x | 5 < x < 10, x bilangan asli}. Gambarlah diagram Venn-nya! ~ ROFA Education Centre](https://i3.wp.com/2.bp.blogspot.com/-77FyuyJU_JE/WVpltYMgWpI/AAAAAAAACqs/rDVDIRNWYMcu1E71xdVZTDmbsnkIYXtAgCLcBGAs/w1200-h630-p-k-no-nu/Essay%2BJawaban%2B7.png )
Kunci Jawaban] Diketahui A = {x | x > 5, x bilangan asli}, B = {x | 3 < x < 8, x bilangan asli}, dan C = {x | 5 < x < 10, x bilangan asli}. Gambarlah diagram Venn-nya! ~ ROFA Education Centre
![]()
3 Cara untuk Menyederhanakan Perbandingan - wikiHow

CONTOH SOAL DAN PEMBAHASAN TENTANG PERTIDAKSAMAAN SMA | AJAR HITUNG

Pukul Berapa Ketiga Lampu Menyala Bersama-sama untuk Ketiga Kalinya? Jawaban Soal Gemar Matematika: FPB dan KPK Belajar dari Rumah TVRI SD Kelas 4-6 - Semua Halaman - Nakita

if x 1 x 5 then find value of x 3 1 x 3 - Mathematics - TopperLearning.com | dr6nthaa

Nilai Mutlak: Persamaan dan Pertidaksamaan Nilai Mutlak

kamar 3x5

Soal Limit Fungsi Aljabar dan Trigonometri Beserta Pembahasan
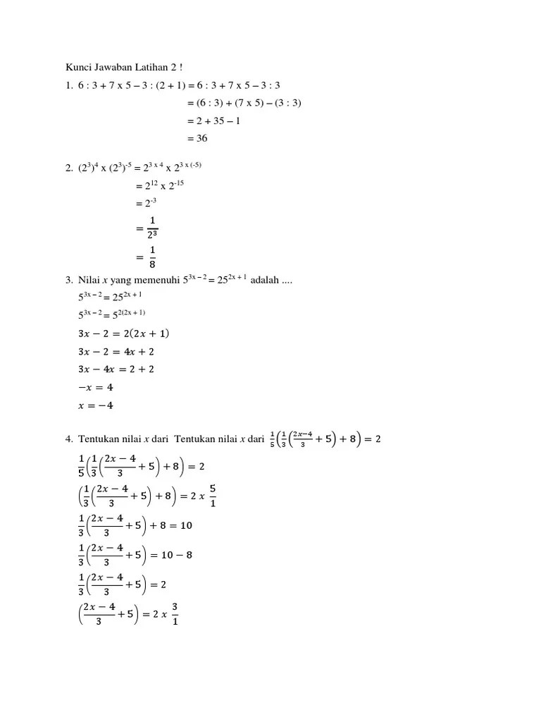
Kunci Jawaban Latihan | PDF

Expand the Expression (X/3 + 1/X)^5 - Mathematics | Shaalaa.com

Agenda 1 Aturan rantai 2 Turunan orde tinggi

Sistem persamaan linear satu variabel ( Peubah ) - ppt download

Menentukan FPB dan KPK - Ilmu Hitung

FPB dan KPK – Arimatika

Contoh Soal SPLDV Matematika SMP (1) | idschool

x^3-6x^2+3x+5=0 - Math Central

Latihan Soal & Pembahasan PTS Kelas 10 IPS Semester Ganjil 2021