
Sin(n+1) - sin(n-1) x = - Brainly.co.id

Nilai sin (n+1)x - sin (n-1)x adalah… (Pakai cara) - Brainly.co.id

Ex 3.3, 10 - Prove that sin (n + 1)x sin (n + 2)x + cos (n+1)x

निम्नलिखित को सिद्ध कीजिए - sin(n+1)x sin (n+2)x+cos(n+1)x cos (n+2)x=cosx

No links Q10: Prove that sin (n + 1)x sin (n + 2)x + cos (n + 1)x cos (n - Maths - Trigonometric Functions - 12690045 | Meritnation.com

Ex 3.3, 10 - Prove that sin (n + 1)x sin (n + 2)x + cos (n+1)x

Prove that Sin (N + 1)X Sin (N + 2)X + Cos (N + 1)X Cos (N + 2)X = Cos X - Mathematics | Shaalaa.com

Prove that Sin (n+1)x Sin (n+2)x + Cos (n+1)x Cos (n+2)x = Cos x - YouTube

sin(n+1)A+2sinn+sin(n-1)A)/(cos(n-1)A-cos(n+1)A)=cotA/2` - YouTube

Proving $\left(\frac{1+\sin x+i\cos x}{1+\sin x-i\cos x}\right)^n=\cos n\left(\frac{\pi }{2}-x\right)+i\sin n\left(\frac{\pi }{2-x}\right)$ - Mathematics Stack Exchange
![tex] \sin(n + 1) x \sin(n + 2) x + \cos(n + 1) x \cos(n + 2) x = \cos(x) [/tex] prove it ❗☺ - Brainly.in](https://i3.wp.com/hi-static.z-dn.net/files/d56/71d5bce8772df6f7f439355f060bba4c.jpg )
tex] \sin(n + 1) x \sin(n + 2) x + \cos(n + 1) x \cos(n + 2) x = \cos(x) [/tex] prove it ❗☺ - Brainly.in

Solved Prove that integral_0^1 x^k sin (n pi x)dx = -1/n^2 | Chegg.com

Prove that: sin (n + 1) x sin (n + 2)x + cos (n + 1) x cos (n + 2) x = cos x
Solved Use the reduction formula integral sin^n x dx = - 1/n | Chegg.com

ve that1) cos (n + 2)x cos (n +1)x + sin (n + 2)x sin(n+1)x = cos X - Brainly.in

sin(n+1) A *sin(n-1)A +cos (n+1) A *cos(n-1)A = cos 2A ` - YouTube
Solved 2. Prove that the Fourier series converges at every | Chegg.com
Wallis product - Wikiwand
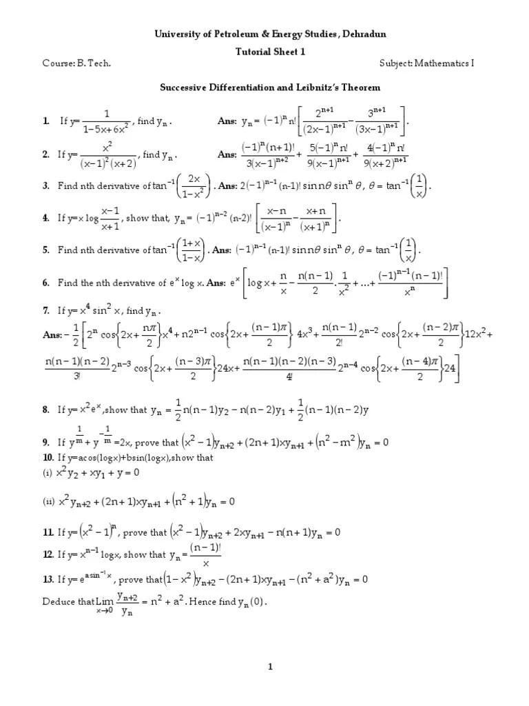
Successive Differentiation and Leibnitz S Theorem | PDF | Logic | Functions And Mappings

- \( \sin ( n + 1 ) x \sin ( n + 2 ) x + \cos ( n + 1 ) x \cos ( n + 2 ) x = \cos x \)\n\( \quad ( 3 \pi + x ) - \cos \left( \frac { 3 \pi } { 1 } - x \right) = - \sqrt { 2 } \sin x \)"

Misc 30 - Find derivative: x / sinn x - Chapter 13 Class 11
Berapakah ekspansi deret Taylor dari sin(x)? - Quora

Why we need to mention the scalar product of $\cos (nx), \sin (nx)$? - Mathematics Stack Exchange

Soal sin(n+1)x-sin(n-1)x=cdots

Prove that: sin(n+1)A sin(n+2)A+cos(n+1)A cos(n+2)A=cos A - YouTube
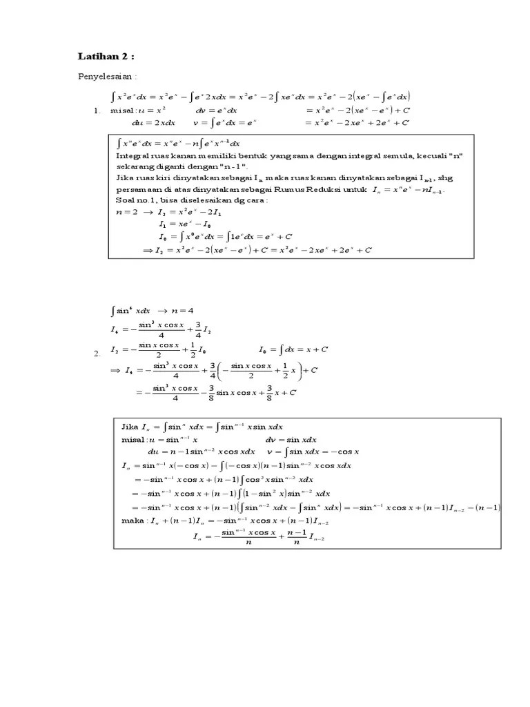
Latihan 2+penyelesaian Kalkulus | PDF
Buktikan bahwa: 2+sinnx1=2+sin(n+1)x1+(2+sinnx…

KALKULUS II TEKNIK INTEGRASI - ppt download
The value of the determinant|(a^2,a,1)(cos nx, cos(n+1)x,cos(n+2)x)(sin nx, sin(n+1)x,sin(n+2)x| - Sarthaks eConnect | Largest Online Education Community
Berapa integral dari sin(nx) /sin(x)? - Quora
![]()
The determinant Delta=|(a^2,a,1),(cos(nx),cos (n + 1) x,cos(n+2) x),(sin (nx),sin (n +1)x,sin (n + 2) x)| is independent of
Buktikan bahwa: 2+sinnx1=2+sin(n+1)x1+(2+sinnx…

Solved> Sin (n+1)x sin(n+2)x+cos (n+1)x cos(n+2)x=cosx - Brainly.in
If In=∫sin nx/(1+π^x)sinx, x∈[-π,π] dx,n=0,1,2,…….., then - Sarthaks eConnect | Largest Online Education Community

Prove that sin (n+1)x sin (n+2) x + cos (n + 1) rcos ( Eker +C=1, and cos A = cos B cos C. show that 2 cat Dan r sin (n +
![FIG. S1: The plot of the function f (x) = sin[ N 2 x] | Download Scientific Diagram](https://i0.wp.com/www.researchgate.net/profile/Chang-Ling-Zou/publication/280034224/figure/fig5/AS:670460668813315@1536861688320/FIG-S1-The-plot-of-the-function-f-x-sin-N-2-x.png)
FIG. S1: The plot of the function f (x) = sin[ N 2 x] | Download Scientific Diagram

Deret fourier
![]()
PDF) Bab 5 DERET FOURIER | Zulkifli Syam - Academia.edu

Sin^2 X Formula - beyarules

PRACTICE PROBLEMS: SET 10 1. Problems (i) (
![DTube] Reduction Formula for Integral of ∫sin^n(x)dx — Steemit](https://i0.wp.com/steemitimages.com/640x0/ipfs.io/ipfs/QmeZ21y4bQtn1u4mUjDSZxoa8X7q4Y81pZZ4wS8F3dp9v9 )
DTube] Reduction Formula for Integral of ∫sin^n(x)dx — Steemit
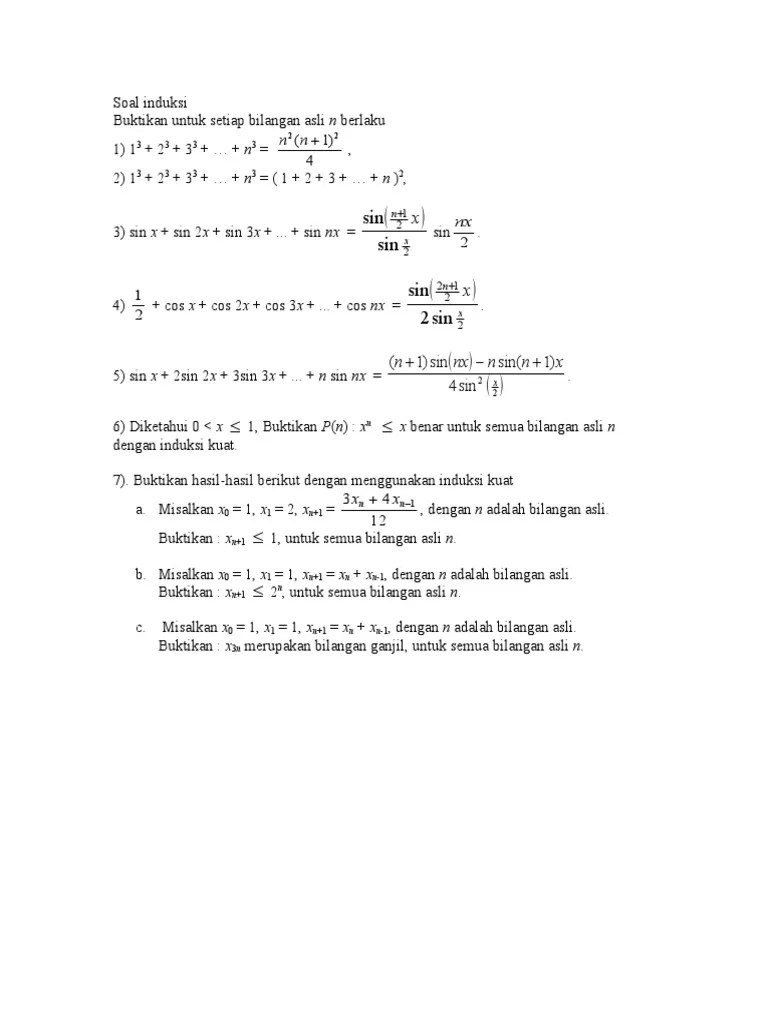
Soal Induksi (Tugasindividu)
Ditentukan sin(x+y)=(m+1)/3 dan sin x cos y=n+1. Nilai 3 …

Cos(n+1)pi Value

Solved Use the reduction formula integral sin^n x dx = -1/n | Chegg.com

Ism et chapter_6

Reduction formula for Integral of ∫sin^n(x)dx — Steemit

KALKULUS II TEKNIK INTEGRASI - ppt download
Blog - Page 112 of 173 - Stumbling Robot

Bab 5 DERET FOURIER - .kalkulus lanjut 2 by J.Hernadi 69 Selanjutnya, bn = 1 L Z L L f(

Lesson 7 2 Hard Trig Integrals Strategies for

Sum from $n=1$ to $N$ of $\sin(nx)/2^n$ - Mathematics Stack Exchange

Also known as Hysterical Calculus - презентация онлайн
AE vxE = p.i……………

- sin(n+1)x sin(n + 2)x+cos (n + 1) x cos(n + 2)x = COS X - Brainly.in
Crystal structure of Ca 1+x Y 1-x SiN 3-x O x (x 0) viewed along [100]…. | Download Scientific Diagram
If fn (x) = 1/n(cos^n x + sin^n x), for n = 1, 2, 3….., then f4 (x) - f6 ( x) is equal to - Sarthaks eConnect | Largest Online Education Community

Bab 5 DERET FOURIER - .kalkulus lanjut 2 by J.Hernadi 69 Selanjutnya, bn = 1 L Z L L f(

Assignment 6 Arfken 6.1.7 Do both parts together: ∑ (cos nx + i sin
Exercise 95

Solved Prove that integral cos^n x dx = cos^n - 1 x sin x/n | Chegg.com

Soal f(x)=sin^(2)x+1 pada selang 0 titik beloknya adalah…

Misc 30 - Find derivative: x / sinn x - Chapter 13 Class 11

sin x+sin 2x + sin 3x+…+ sin nx =(sin((n+1)/2)xsin(nx)/2)/sin(x/2)` - YouTube

04 integral trigonometri

if sinx nsin x 2y prove that tan x y 1 n 1 n tany - Mathematics - TopperLearning.com | elqg3ff
Prove the following: sin (n+1)x sin (n+2)x + cos (n+1)x cos (n+2)x = cos x

Lesson 7-2 Hard Trig Integrals. Strategies for Hard Trig Integrals ExpressionSubstitutionTrig Identity sin n x or cos n x, n is odd Keep one sin x or. - ppt download

Let fn(x) = (1/n)(sin^n x + cos^nx) for n = 1, 2, 3, …. then f4(3pi/8) - f6(3pi/8) is equal to

Resonance aieee iit study material maths complete pdf' by S.Dharmaraj - issuu
![]()
If I=int (((sinx)^n-sinx^(1/n))/((sinx)^(n+1) cosx)) dx is eqaul to (a) (n/( n^2-1))(1-1/(sinx^(n-1)))^(1/n+1)+c (b) (n/(n^2+1))(1-1/(sinx^(n-1)))^(1/n+1)+c (c) (n/(n^2+1))(1-1/(sinx^(n-1)))^(1/n)+c (d) (n/(n^2-1))(1-1/(sinx))^(1/n+1 )+c
Integral | PDF

Cos(n+1)pi Value
Apa integrasi xsinxcosnx? - Quora
![Continuity of the function $f(x)=\lim\limits_{n \to \infty}[\lim\limits_{t\to 0}[\frac{\sin^2 (n!\pi x)}{\sin^2(n! \pi x)+t^2}]] $, $x \in \mathbb R$ - Mathematics Stack Exchange](https://i3.wp.com/i.stack.imgur.com/aExav.jpg)
Continuity of the function $f(x)=\lim\limits_{n \to \infty}[\lim\limits_{t\to 0}[\frac{\sin^2 (n!\pi x)}{\sin^2(n! \pi x)+t^2}]] $, $x \in \mathbb R$ - Mathematics Stack Exchange

SOLVED:Problem #1: Let {Ix -1 < x < 0 f(x) = 0 < x < 1 The Fourier series for f(x), CO f(x) = 9 + (an cos Fx + bn sin"
10 Integration techniques

Also known as Hysterical Calculus - презентация онлайн

- f(x)= sin x / cos x - sin x tentukan turunan f ‘(x)= dan f ‘(35)=
BLOG INI DIJUAL (Hub. 085 656 267 742 (SALMAN)): Pembuktian Rumus Reduksi Integral {sin (x)}^n dx
AE vxE = p.i……………
x)=ao +~(anCOS(nnX+bnSin(n:}) (1)
If An = π/2∫0 sin(2n-1)x/sin x dx; Bn = π/2∫0 (sin nx /sin x)2 dx ; for n ∈ N , then : - Sarthaks eConnect | Largest Online Education Community

Reduction formula for Integral of ∫sin^n(x)dx — Steemit

INTEGRASI NUMERIK Nana Ramadijanti INTEGRASI NUMERIK n n
![1) For each of the following systems, determine whether the system is (a) linear, (b) (20 points) time-invariant, (c) causal, (dy memoryless, and (e) stable. (1) yln]xIn-11 sin[n] (2) y[n]-x[2n]+1 Time- Causal](https://i3.wp.com/d2vlcm61l7u1fs.cloudfront.net/media%2Fb3a%2Fb3ab29e7-51e1-436d-a2a8-50a7a13bb51b%2FphpmCkiJG.png )
- For each of the following systems, determine whether the system is (a) linear, (b) (20 points) time-invariant, (c) causal, (dy memoryless, and (e) stable. (1) yln]xIn-11 sin[n] (2) y[n]-x[2n]+1 Time- Causal

sin(n+1)x sin(n+2)+cos(n+1)xcos(n+2)x = cosx - Brainly.in

An Excursion through Mathematical problems : Trigonometric value:2

SOLVED:Use integration by parts to verify the reduction formula. $$ egin{aligned} int cos ^{m} x sin ^{n} x d x=&-frac{cos ^{m+1} x sin ^{n-1} x }{m+n}+\ & frac{n-1}{m+n} int cos ^{m} x sin ^{
arXiv:0806.0150v3 [math.CA] 18 Jul 2017

PPT - A mathematical description of motion motivated the creation of Calculus. Problem of Motion: PowerPoint Presentation - ID:6750445

Assignment 6 Arfken 6.1.7 Do both parts together: ∑ (cos nx + i sin
DERET FOURIER DAN INTEGRAL FOURIER

sinx + sin3x + + sin(2n-1)x - Maths - Principle of Mathematical Induction - 3318917 | Meritnation.com

Soal Manakah pernyataan yang benar? A quad Jika Sin x=sin y, maka x=y B quad Jika Cos x= Cosy,

IPE MATERIAL - Notes
![Solved] Determine f( 4n+1) (x) when O 1. f( An+1)(x) = - sin(x) f(x) = cos(x) O 2. f( An+1)(x) = sin(x) - cos() and n = 0, 1, 2, . f( An+1)(x) = sin… | Course Hero](https://i2.wp.com/www.coursehero.com/qa/attachment/17459245/ )
Solved] Determine f( 4n+1) (x) when O 1. f( An+1)(x) = - sin(x) f(x) = cos(x) O 2. f( An+1)(x) = sin(x) - cos() and n = 0, 1, 2, . f( An+1)(x) = sin… | Course Hero
x)=ao +~(anCOS(nnX+bnSin(n:}) (1)

∫ 0 infinity x n-1 /1+x dx = π/sin nπ 0 I wnat proof of this - askIITians

sin x+sin 2x + sin 3x+…+ sin nx =(sin((n+1)/2)xsin(nx)/2)/sin(x/2)` - YouTube