
Nilai dari sin 75 - sin 15 adalah …. - YouTube

nilai dari sin 75° + sin 15° - Brainly.co.id

Tentukan nilai dari: sin 75° - sin 15° - Mas Dayat

Nilai dari sin 75° - sin 15° / cos 105° - cos 15° adalah - YouTube

1.mantan hasil pengurangan trigonometri Sin 75° - Sin 15° adalah2.dengan menyatakan 150 derajat = - Brainly.co.id

Nilai cos 75° + cos 15°/ sin 75° - sin 15° adalah

Hasil dari Sin 75 + sin 15 Min tolong di bantu ya - Brainly.co.id

exact value of sin 75 + sin 15 - YouTube

Soal Nilai dari sin 75^(@)+cos 15^(@) adalah …

Hitunglah sin 75 derajat + sin 15 derajat

Soal Nilai dari (sin 75^(@)-sin 15^(@))/(cos 105^(@)+cos 15^(@))=dots..

Nilai dari sin 105° - sin 15°/cos 75° + cos 15° adalah - Mas Dayat

tentukan nilai dari sin 75 derajat + sin 15 derajat dibagi cos 105 derajat + cos 15 derajat….. - Brainly.co.id

Nilai Dari 2 Cos 75 Derajat Sin 45 Derajat Adalah

Nilai dari cos 75 cos 15-sin 75 sin 15 adalah . . . .

Nilai dari sin 75° - sin 15° / cos 105° - cos 15° adalah - YouTube

Mencari Nilai Sin 15 dan Sin 75 - Matematika SMA

Hitunglah sin 75 derajat + sin 15 derajat

1 Setelah menyaksikan tayangan ini anda dapat Menyelesaikan
Nilai dari sin 75° - sin 15° + cos 45° = ….

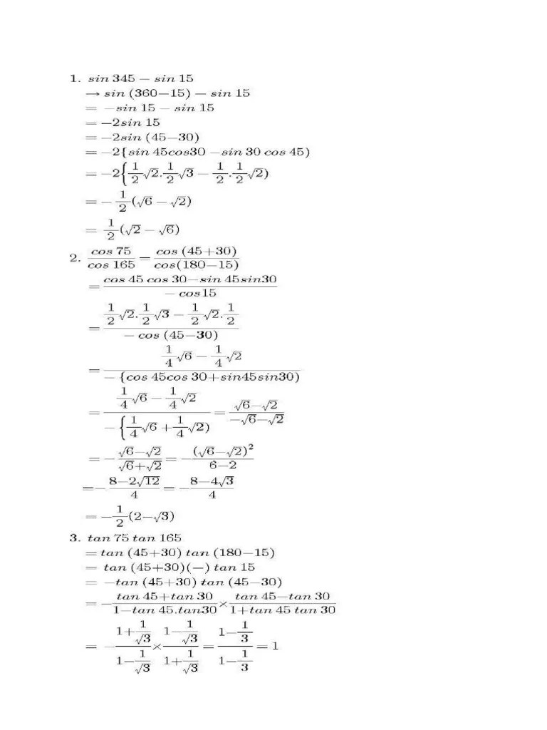
Menghitung nilai dari “sin 75 - sin 165” - Matematika SMA

Soal Tentukan nilai trigonometri dari sin 75 cos 15
![]()
PDF) Penyelesaian Soal Matematika SMA | Sitinur Aini - Academia.edu
nilai dari sin 75 derajat + sin 15 derajat = - Brainly.co.id

Nilai Dari 2 Cos 75 Derajat Sin 45 Derajat Adalah
Nilai (sin 75+cos 75)/tan 240= . . . .
![TRIGONOMETRI - ? ‚ TRIGONOMETRI (RUMUS) JUMLAH DAN SELISIH SUDUT IDENTITAS SUDUT GANDA SETENGAH SUDUT KONVERSI Kali Ke Jumlah/Kurang Jumlah/Kurang Ke Kali - [PDF Document]](https://i3.wp.com/demo.fdokumen.com/img/378x509/reader024/reader/2020123006/5a75abfa7f8b9ad22a8cc98b/r-1.jpg)
TRIGONOMETRI - ? ‚ TRIGONOMETRI (RUMUS) JUMLAH DAN SELISIH SUDUT IDENTITAS SUDUT GANDA SETENGAH SUDUT KONVERSI Kali Ke Jumlah/Kurang Jumlah/Kurang Ke Kali - [PDF Document]

Nilai Sin 75 derajat = …. - YouTube
Nilai dari sin 210° • sin 15° • sin 75°…
Berapakah nilai Sin75+sin15? - Quora

Nilai dari sin 75° + sin 15° per cos 105° + cos 15° adalah = …Tolong dijawab kak

Sederhanakan: 2 sin 75° cos 45° - 2 cos 97,5° sin 37,5° - Mas Dayat

Soal 4. Hitunglah nilai dari. a. sin 75^(@)*cos 15^(@)
![]()
kelas11_matematika-ipa_nugroho-maryanto by s. van selagan - issuu

Rumus Trigonometri Dua Sudut Tujuan Umum Setelah menyaksikan
Rumus Jumlah dan Selisih Sinus dan Kosinus | .

Sin 75 Derajat - Tumbuh Tumbuhan
nilai dari sin 75 derajat + sin 15 derajat = - Brainly.co.id

- Nilai dari sin 75 derajat + sin15 derajat - YouTube
Mat Minat Trigonometri | PDF

Nilai Dari 2 Cos 75 Derajat Sin 45 Derajat Adalah
Nilai dari (sin 75+sin 15)/(cos 105+cos 15)= ….
![]()
kelas11_matematika-ipa_nugroho-maryanto by s. van selagan - issuu

Trigonometry

sin 75^o - sin 15^o = cos 105^o + cos 15 ^o

1 Nilai Sinus Dari Sudut 15,75 dan 105 derajat - Solusi Matematika
Kapita Modul | PDF

Tan 35 Online Sales, UP TO 51% OFF

Rumus Trigonometri Dua Sudut Tujuan Umum Setelah menyaksikan
Rumus Jumlah dan Selisih Dua Sudut - Materi Lengkap Matematika

TRIGONOMETRI - ? ‚ TRIGONOMETRI (RUMUS) JUMLAH DAN SELISIH SUDUT IDENTITAS SUDUT GANDA SETENGAH SUDUT KONVERSI Kali Ke Jumlah/Kurang Jumlah/Kurang Ke Kali

Solved Find the exact value of the expression cos 75°cos 15° | Chegg.com

Nilai dari sin 75° cos 15° - cos 75° sin 15°/ sin 75° sin 15° - cos 75° cos 15° adalah

Jika a = cos 75° + cos 15° per Sin 75° kurang Sin 15° dan b = cos 10 derajat + cos 110 derajat + - Brainly.co.id

2 sin 105° cos 75° - Mas Dayat

Beberapa Cara Menentukan Nilai Eksak Fungsi Trigonometri Sudut Istimewa $15^\circ$ dan $75^\circ$ - M4TH-LAB

Soal Nilai dari (sin 75^(@)+sin 15^(@))/(cos 105^(@)-cos 15^(@)) adalah ….

Beberapa Nilai Eksak Trigonometri | Asimtot’s Blog

Menghitung nilai dari “sin 75 - sin 165” - Matematika SMA
Nilai Dari Sin 45 Cos 15 Adalah

Rumus Trigonometri Dua Sudut - ppt download

Cara Menghitung Sinus Trigonometri Matematika
![]()
Soal uh trigono
Nilai sin 165 - sin 75/ cos 165 - cos 75 = tolong bantu jawab dan caranya ya, makasih :)…. Question from @faridahramdhani

sin 75 sin 15 cos 105 cos 15 - YouTube
Nilai dari sin 210° • sin 15° • sin 75°…
Soal Metik Revamp | PDF
![]()
DOC) Contoh soal punya resty1 | Satria Tri Gunawan - Academia.edu

Rumus Trigonometri Dua Sudut - ppt download
![]()
Contoh Soal Nilai sin45 cos15 cos 45 sin 15 sama dengan a 1 2 b 1 2 2 c 1 2 3 d | Course Hero

Soal Ulangan Persamaan Trigonometri Kelas 11 pdf - soalkunci

Nilai dari cos 75° - cos 15° / sin 75° - sin 15° adalah - Mas Dayat

PPT - TRIGONOMETRI PowerPoint Presentation, free download - ID:3734205

Nilai dari cos 105° + cos 15° / sin 75° min sin 15°

Tercepat Nilai Dari Sin 45 Derajat Cos 15 Derajat Ditambah Cos 45 Derajat Sin 15 Derajat Adalah

Contoh soal penjumlahan / pengurangan sin, cos, tan & pembahasan – Soalfismat.com
Nilai dari (cos 75-cos 15)/(sin 75-sin 15) adalah ….

Sin 75 derajat + sin 15derajat =

Beberapa Nilai Eksak Trigonometri | Asimtot’s Blog

Soal Nilai dari cos 75 cos 15^(3)-sin 75 sin 15^(@) adalah
Ulangan harian Trigonometri Ulangan harian Trigonometri

Sin 45 Cos 15 + Cos 45 Sin 15 Adalah

Menghitung nilai dari “sin 75 - sin 165” - Matematika SMA

tentukan hasil dari sin 75° - sin 15° / cos 105° - cos 15° = - Brainly.co.id
Find the value of sin 75 cos 15 + sin 15 cos 75

1 Nilai Sinus Dari Sudut 15,75 dan 105 derajat - Solusi Matematika

BAB 3 TRIGONOMETRI Standar Kompetensi Menurunkan rumus …

Soal uh trigono
Nilai dari cos 15 derajat - cos 75 derajat……… Kerjakan dengan cara pengerjaannya !…. Question from @anwardayat13
Nilai Dari 2 Sin 45 Cos 15

cos75^@ cos15^@ + sin75^@ sin15^@ ? | Socratic
TRIgono Metri | PDF
![tugas tigonometri_ulfa - [DOCX Document]](https://i2.wp.com/demo.fdokumen.com/img/378x509/reader024/reader/2020123016/551c432c49795911568b457f/r-1.jpg)
tugas tigonometri_ulfa - [DOCX Document]
What’s (sin15°+cos15°) (sin15°-cos15°)? - Quora

Petunjuk Umum : Jawablah setiap pernyataan berikut dengan jalan berdiskusi dengan teman sekelompokmu! Permasalahan 1 - PDF Free Download
![]()
Petunjuk Umum : Jawablah setiap pernyataan berikut dengan jalan berdiskusi dengan teman sekelompokmu! Permasalahan 1

trigonometri is fun
![]()
UN 2011 PAKET 46 Nilai 15 cos 105 cos 15 sin 75 sin a 3 3 1 b 2 2 1 c 1 d 2 1 e | Course Hero

Rumus Lengkap Trigonometri Disertai dengan Contohnya - myrightspot.com

Tentukan nilai dari: a. sin 15° b. cos 15° c. tan 15° d. tan 165° e. cos 165° f. cosec 165° - Mas Dayat