
Peranan monera yang menguntungkan dan merugikan « Penjelasan materi lengkap » Hisham.id

Peranan Kingdom Monera (Bakteri) Bagi Kehidupan Manusia

ZAQIYATUL ULFA IMERSION: KINGDOM MONERA 35 BAKTERI YANG MENGUNTUNGKAN

Peranan monera yang menguntungkan dan merugikan – ApaYangDimaksud.com

Peranan monera yang menguntungkan dan merugikan – ApaYangDimaksud.com

Jenis Monera : Pengertian, Ciri, Klasifikasi dan Fungsi

Kingdom Monera - Pengertian, Ciri, Ruang Lingkup dan Manfaat

Kingdom Monera: Pengertian, Ciri-Ciri, Klasifikasi dan Contohnya | BIOLOGIJK

Pengertian Monera - Sejarah, Golongan, Bakteri, Jenis, Contoh

Kingdom Monera : Pengertian, Ciri, Klasifikasi, Contoh & Gambar

Menelaah Lebih Jauh tentang Kingdom Monera - Kelas Pintar

PENGERTIAN MONERA: Eubacteria atau Bakteri dan Archaebacteria atau Archae - Portal-Ilmu.com

Ciri-ciri dan Klasifikasi Kingdom Monera Beserta Contohnya

Kingdom Monera : Adalah, Jenis, Ciri, Struktur, Klasifikasi, Contoh

KLASIFIKASI KINGDOM MONERA: ( Pengertian, Peranan, Ciri-Ciri, dan Contoh Organisme Kingdom Monera Beserta Gambarnya) - Ranking Kelas
![Klasifikasi Makhluk Hidup 5 Kingdom Lengkap [IPA Kelas 7 SMP]](https://i0.wp.com/informazone.com/wp-content/uploads/2017/04/bacteria-abcnews.com_.jpg)
Klasifikasi Makhluk Hidup 5 Kingdom Lengkap [IPA Kelas 7 SMP]

Ciri-ciri dan Klasifikasi Kingdom Monera Beserta Contohnya

Contoh Kingdom Monera, Didasarkan pada Klasifikasinya

Kelompok Monera Dan Protista

6 Ciri-ciri Kingdom Monera dan pengelompokkan mereka – ApaYangDimaksud.com

BIOLOGI GONZAGA: PRE TEST KINGDOM MONERA KELAS X

Kingdom Monera : Ciri, Contoh, Gambar, Struktur, Klasifikasi

Kingdom Monera: Pengertian, Ciri-Ciri, Klasifikasi, dan Contohnya

Pengertian Monera, Klasifikasi, Ciri, Bentuk & Pengelompokan

60 Macam Bakteri yang Menguntungkan Bagi Manusia di Berbagai Bidang | BIOLOGIJK

Kingdom Monera : Ciri, Contoh, Gambar, Struktur, Klasifikasi - PKBM Minda Utama

MONERA SK 2 siswa mampu mengaplikasikan prinsipprinsip pengelompokan

Biologi - Peran Monera yang menguntungkan dan merugikan dalam kehidupan | DarkFallens

22 Ciri-Ciri Khusus Kingdom Monera Secara Lengkap

Pras Academy - SMP: Contoh Soal Essai IPA Kelas 7 - Klasifikasi Makhluk Hidup

Pengertian Monera dan Peran Bakteri Dalam Kehidupan Manusia - Pahamify

Kingdom Monera - Pengertian, Bakteri dan Manfaat dalam Kehidupan

Pengertian Monera : Struktur, Fungsi, Ciri, Klasifikasi dan Contohnya | Pelajaran Sekolah Online

Ciri-ciri dan Klasifikasi Kingdom Monera Beserta Contohnya
10 contoh monera - Angkoo

Kingdom Monera - Ciri, Makalah, Gambar, Klasifikasi, dan Contoh

Kingdom Monera : Adalah, Jenis, Ciri, Struktur, Klasifikasi, Contoh
Monera - Your Chemistry A+
Kingdom Monera | PDF

Daftar Bakteri yang Menguntungkan dan yang Merugikan - Ritaelfianis.com

Mengenal Kingdom Monera - BIOLOGI SBMPTN

√Klasifikasi Kingdom Monera : Bentuk, Struktur , Contoh dan Cara Reproduksinya | dosenpintar.com

LKDS-Lembar Kerja Diskusi Siswa-Monera-EuBacteria-Biologi-Kelas X SMA…

Perbedaan Monera dan Protista

Kingdom monera icew presentation

Soal Virus dan Kingdom Monera, Kelas X SMA - Info Pendidikan dan Biologi

Kingdom Monera : Ciri, Contoh, Gambar, Struktur, Klasifikasi

EUBACTERIA & ARCHAEBACTERIA - ppt download

Bakteri yang merugikan dalam kingdom monera

- Monera | Belajar Biologi Bersama Bu Hesti

Biologi - Peran Monera yang menguntungkan dan merugikan dalam kehidupan | DarkFallens
![]()
BAB 5 VIRUS DAN MONERA

Unit 4 Monera Moneres Bacillus thuringiensis Tunggal Bakteri

Contoh Kingdom Monera, Terbagi Jadi 3 Golongan

- Monera | Belajar Biologi Bersama Bu Hesti

Pengertian Monera, Ciri, Klasifikasi, Fungsi dan Manfaat
![]()
LKDS-Lembar Kerja Diskusi Siswa-Monera-EuBacteria-Biologi-Kelas X SMA…

Pengertian dan Klasifikasi Kingdom Monera - Abimuda
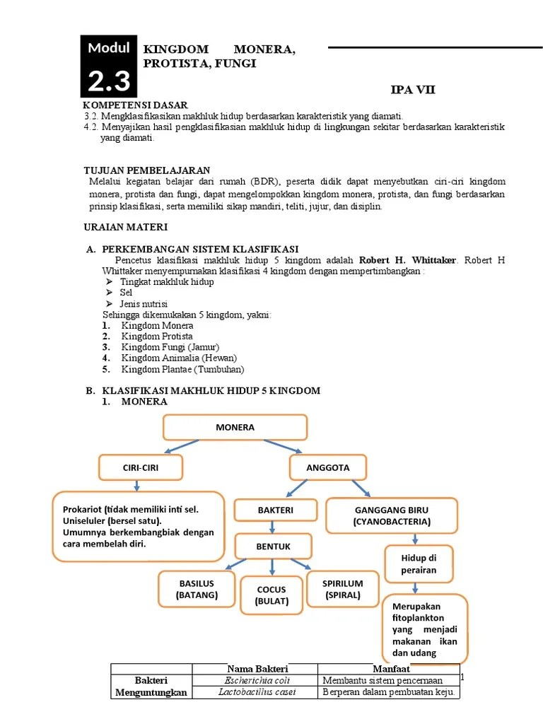
Modul 2.3 Kingdom MONERA, PROTISTA, FUNGI | PDF

Kingdom Monera : Ciri, Contoh, Gambar, Struktur, Klasifikasi

Kingdom Monera - Pengertian, Bakteri dan Manfaat dalam Kehidupan

BIOLOGI BAB V PROTISTA MONERA DAN ALGA - PDF Download Gratis

100+ Contoh Peranan Bakteri yang Menguntungkan & Merugikan bagi Kehidupan | BIOLOGIJK

Sebutkan macam contoh bakteri yang menguntungkan dan bakteri yang merugikan pada Kingdom Monera - Brainly.co.id

Pengertian Monera - Sejarah, Golongan, Bakteri, Jenis, Contoh

Pras Academy - SMP: Klasifikasi Makhluk Hidup: Mempelajari Dunia Monera, Makhluk Hidup Bersel Satu

Bakteri Yang Menguntungkan Bagi Manusia Dalam Berbagai Bidang Lengkap | RuangBiologi.Co.Id

PPT MONERA

23+ Peranan Positif dan Negatif Monera dalam Kehidupan - cxkaely
Monera | PDF

Kingdom Monera : Adalah, Jenis, Ciri, Struktur, Klasifikasi, Contoh

Kingdom Monera : Ciri, Contoh, Gambar, Struktur, Klasifikasi

Kingdom monera

KINDOM MONERA by Widiana Arniati

Eubacteria dan Archaeobacteria ) - ppt download

Peranan monera yang menguntungkan dan merugikan – ApaYangDimaksud.com

Klasifikasi, Ciri - Ciri Kingdom Monera Dan Cara Perkembangbiakannya | FaunaDanFlora.Com

Bingung Apa Perbedaan Monera dan Protista? Ini Ciri Keduanya • apaja.id

Peranan 10 Jenis Bakteri (Kingdom Monera) dalam Kehidupan Manusia dan Contohnya | BIOLOGIJK
Organisme manakah yang termasuk dalam Kingdom Monera, dan manakah yang termasuk dalam Kingdom Protista? - Quora

tolong jawab ya terima kasih…. - Brainly.co.id

Pengelompokan Makhluk Hidup ke Dalam 5 Kingdom: Monera, Protista, Fungi, Plantae, dan Animalia - Semua Halaman - Bobo
![]()
Bakteri-monera | Syahrian Nugraha - Academia.edu

ZAQIYATUL ULFA IMERSION: KINGDOM MONERA 35 BAKTERI YANG MENGUNTUNGKAN

Macam Macam Klasifikasi Makhluk Hidup, Gambar Dan Penjelasannya

Pengertian Monera dan Peran Bakteri Dalam Kehidupan Manusia - Pahamify

Unit 4 Monera Moneres Bacillus thuringiensis Tunggal Bakteri

Monera : Pengertian, Ciri, Contoh, Jenis,Klasifikasi, Fungsi

Apa Itu Virus : Monera, Protista dan Contohnya - RuangBimbel.co.id

Materi Belajar IPA SMP Kelas 7: Protista, Monera, Jamur (Fungi) dan Tumbuhan (Plantae). - Bangkapos.com

Bakteri ada yang merugikan dan ada yang menguntungkan, apa saja? | merdeka.com

BIOLOGIJK: kingdom monera

Jenis Monera : Pengertian, Ciri, Klasifikasi dan Fungsi

BAB III DUNIA MONERA MONERA Istilah monera berasal

Cyanobacteria : Pengertian, Ciri, Jenis, Contoh & Peranannya

Kingdom Monera – Ciri Ciri Dan Klasifikasi (Lengkap)

Kingdom Monera

Kingdom Monera

Kingdom Monera – Definisi, Ciri, Ruang Lingkup dan Manfaatnya

Bakteri ada yang merugikan dan ada yang menguntungkan, apa saja? | merdeka.com