
gimana bentuk segi 12 - Brainly.co.id

cara membuat “SEGI 12” beraturan/DODEKAGON menggunakan jangka, || gambar bangun datar/segi 12 - YouTube

Rumus Luas Segi Dua Belas (12) - De Eka

Cara Menggambar Segi 12 Beraturan •|| Gambar Teknik Otomotif - YouTube
![]()
Dodekagon - Wikipedia bahasa Indonesia, ensiklopedia bebas

gambar segi dua belas - Brainly.co.id

Rumus Luas Segi Dua Belas (12) - CEWEK SENYUM

Luas segi-12 beraturan dengan panjang jari-jari li…

Diketahui segi-12 beraturan dengan sisi s cm dan j…

Luas segi-12 beraturan dengan masing-masing panjang sisinya 4 cm adalahA. (96+483) cm2 B. - Brainly.co.id

Luas dan Keliling Bangun Datar Segi-n Beraturan ~ Konsep Matematika (KoMa)

Gambar Segi 12 Beraturan

Detail Cara Menggambar Segi 12 Beraturan Gambar Teknik Otomotif Youtube

Macam-macam Bangun Datar dan Bangun Ruang Plus Gambarnya

Gambar Segi 12 Tidak Beraturan

a.1. Ciri-ciri berikut yang merupakan ciri-ciri limas segi-12 adalah …a. Mempunyai 13 sisi, 23 - Brainly.co.id

Dalam sebuah lingkaran yang berjari-jari 6 cm dibuat segi-12 beraturan. Semua titik sudtu segi-12 terletak pada lingkaran. Panjang sisi segi-12 tersebut adalah… - Rebbosetau

MODEL BIDANG SEGI-N BERATURAN GEOMETRI UNNES 2018 (KELOMPOK 2)

Jumlah besar sudut pada bangun segi 12
![]()
Cara Mencari Jumlah Diagonal di Dalam Poligon (Segi Banyak)

Rumus Luas Dan Keliling Segi 12 Beraturan

Rina memiliki sebuah kertas berbentuk segi -12 beraturan. Rina akan melipat kertas tersebut hingga - Brainly.co.id

Keliling Segi-12 Jika luasnya 192 cm^2 - YouTube

- Diketahui sebuah bangun segi banyak memiliki 12 buah sisi yang sama panjang, bangun tersebut - Brainly.co.id

Kelas 6 - Matematika - Hardi by Yeti Herawati - issuu

Soal Luas segi 12 beraturan dengan panjang jari-jari lingkaran luar 8” “cm adalah ….

Soal dan Pembahasan - Aturan Sinus, Aturan Cosinus, dan Luas Segitiga dalam Trigonometri - Mathcyber1997

Menggambar Segi 12 Beraturan
Diketahui segi-12 beraturan dengan panjang rusuk 5…
Jual Grill Fan 12 cm / Ram Kipas Angin Segi 12 x 12 cm - Jakarta Barat - STV ONLINE SHOP | Tokopedia

Soal Luas segi 12 beraturan dengan panjang jari-jari lingkaran luar 9” “cm adalah …
Tugas Matem Kls 12 | PDF

Soal Luas segi- 12 beraturan adalah 192” “cm^(2). Keliling segi-12 beraturan tersebut adalah ..
Segi sembilan - Wikipedia bahasa Indonesia, ensiklopedia bebas

Pembahasan Matematika IPA UN: Aturan Sinus dan Kosinus

Cara Membuat Segi 12 Beraturan

Segi Dua Belas Beraturan(Konstruksi Geometri) - YouTube

Bangun datar apakah yang mempunyai sudut 12 sisi 12 titik sudut 12 - Brainly.co.id
Luas segi-12 beraturan dengan panjang jari-jari li…

Soal Luas segi-12 beraturan adalah 108” “cm^(2). keliling segi-12 beraturan tersebut adalah…

Linux Digital Stample: TIP TRIK DESAIN LOGO STEMPEL DENGAN INKSCAPE LINUX : MEMBUAT MELATI 5 SEGI LIMA
KUNCI SOK SET 10PCS - SEGI 12 – PROHEX – 1730-002 | Shopee Indonesia

Soal Dalam sebuah lingkaran yang berjari-jari k” “cm dibuat segi-12 beraturan. Panjang sisi kel

Luas segi-12 beraturan dengan panjang jari-jari lingkaran luar 8 cm adalah … a. 192 cm² … - YouTube

Keliling segi-12 beraturan yang jari-jari lingkara…

Soal Rumus untuk menentukan keliling segi-12 beraturan adalah …..

r = 4 cm, t = 12 cm sebuah prisma segi enam beraturan a. luas permukaanb. volume - Brainly.co.id
Luas dari segi-12 dengan keliling adalah … .

Luas segi 12 beraturan dengan panjang jari-jari lingkaran luar 8 cm adalah - YouTube

Soal 8. Keliling quad segi-12 quad beraturan quad adalah 120sqrt(2-sqrt3) cm. Luas segi-12 bera

Luas segi 12 beraturan dengan panjang jari-jari lingkaran luar 8 cm adalah… - YouTube

Menghitung Luas Segi Enam Dengan Cepat - De Eka

Soal Di dalam suatu lingkaran dibuat segi-12 beraturan. Jika luas segi 12 tersebut adalah 384"

Ciri-ciri berikut yang merupakan ciri-ciri limas segi 12 adalah … a. mempunyai 13 sisi, 23 rusuk, - Brainly.co.id

Luas segi-12 beraturan adalah 192 cm2.Keliling segi-12 beraturan adalah… - Brainly.co.id

Cara Membuat Segi 11 Beraturan •|| Gambar Teknik - YouTube

luas segi-12 beraturan dengan panjang jari-jari lingkaran luar 8cm adalah.. a. 192cm *pangkat 2 b. - Brainly.co.id

Diketahui jari-jari lingkaran luar segi-12 beraturan adalah r cm. panjang sisi segi-12 beraturan - Brainly.co.id
Education World: 6. Cara Menggambar Segi 8,9 dan 10 Sama Sisi

Luas segi 12 beraturan dengan panjang jari jari lingkaran luar 8 cm adalah …. - Brainly.co.id

Jika jari-jari lingkaran luar segi -12 beraturan = 8 cm maka luas segi -12 beraturan tersebut - Brainly.co.id

Rumus Segi tujuh, Mencari Luas, Keliling dan Sisi

mohon bantuannya ka, keliling segi-12 beraturan yang jari-jari lingkaran luarnya r cm adalah… - Brainly.co.id

Diketahui jari-jari lingkaran luar segi-12 beraturan adalah r cm. panjang sisi segi-12 beraturan - Brainly.co.id
![]()
Segi tujuh - Wikipedia bahasa Indonesia, ensiklopedia bebas
dalam sebuah lingkaran yg berjari-jari 6 cm dibuat segi-12 beraturan. panjang sisi segi-12 - Brainly.co.id

Jual Set 12 pcs stiker cermin segi enam uk. sedang di Lapak bpretty_a | Bukalapak

Jual Pot Tanaman Gantung Segi 12 - Kota Depok - Muhammad Denis | Tokopedia
Panel Led 2 Warna Segi 12 wt Putih & 4 wt Kuning Inbouw | Shopee Indonesia

Sebuah lingkaran mempunyai panjang jari-jari 6cm. dalam lingkaran tersebut dibuat segi-12 beraturan. panjang sisi segi-12 beraturan
![]()
Segi tujuh - Wikipedia bahasa Indonesia, ensiklopedia bebas
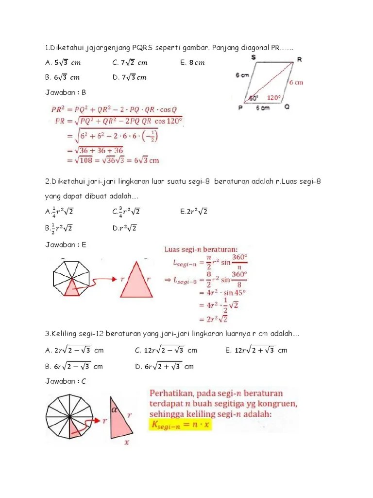
1.Diketahui jajargenjang PQRS seperti gambar. Panjang diagonal PR…….. A. 5√3 ���� C. 7√2 ���� E. 8

Jual Nailashop20 Grill Fan 12 Cm / Ram Kipas Angin Segi 12 X 12 Cm - Jakarta Selatan - nailashop87 | Tokopedia
SILVER Lakoni MATA KUNCI SOK PANJANG 8 10 12 14 17 SEGI 12 AS 1/2 IN - 8mm segi 12 | Shopee Indonesia
Segi 12 - Shefalitayal

Sebuah tenda unik segi 12 beraturan di basecamp

Jual imapct spline bit M12 square drive setengah inch mata sock L bintang segi banyak 12 size 12mm 12 mm Germany kuat dan tahan lama di Lapak TOKO LENGKAP DAN EKSPRESS | Bukalapak

segi n | Super Matematika

Segi Banyak & Lingkaran | damarlanhadi

Segi Dua Belas Beraturan(Konstruksi Geometri) - YouTube
Keliling segi-12 beraturan yang jari-jari lingkara…

TEKIRO Mata Sock 1/2" ukuran 13 mm SEGI 12 / Mata Sok 13 mm | Lazada Indonesia

my jawa: segi 12

Lubang Besar Manik manik Bahasa Swedia Gelas Segi 12/14Mm Kristal Bulat Bola Beads untuk DIY Membuat Perhiasan Accessorise Menjahit grosir|Beads| - AliExpress
cermin segi 12 aneka ukuran | Shopee Indonesia

Jual Produk Mata Sock Bintang Segi 12 Termurah dan Terlengkap Oktober 2021 | Bukalapak

Luas Segi 12 Beraturan Dengan Panjang Jari Jari Lingkaran Luar 8

Keliling Segi-12 Jika luasnya 192 cm^2 - YouTube

PROHEX KUNCI SOK SPR ONLY SEGI 12 CRV 1/2inch-18mm (1920-018)
Jual Mata Sok/Anak Sok/Kunci Sok 24mm Segi 12 Tekiro Universal - Kab. Bekasi - Indah49store | Tokopedia

Jual Mobil Kunci Sok Mata Sok Ukuran 34 Mm Segi 12 3 4 Merk Tekiro origianl ori original ori asli di Lapak TRI STAR MOTOR | Bukalapak

Jual mata sock 10 segi 12 Terbaru | Lazada.co.id

Gambar Teknik Segi 12 Beraturan

Jual COD 12 Pieces Diy3d Cermin Segi Enam Decal Art Mural Stiker Dinding De - Jakarta Selatan - emcogstringwanita | Tokopedia

Diketahui jari-jari lingkaran luar segi-12 beraturan adalah r cm. panjang sisi segi-12 beraturan tersebut adalah
Kunci Sok Set Tekiro 24 Pcs 8-32mm (mata sok segi 12) | Shopee Indonesia
![]()
Luas Segi 12 Beraturan Dengan Panjang Jari Jari Lingkaran Luar 8 Cm Adalah

Jual Segi 12 Model & Desain Terbaru - Harga September 2021

Soal Diketahui jari-jari lingkaran luar segi-12 beraturan adalah r. Luas segitiga-12 yang dpaat

Tutorial Mengambar Segi-12 Beraturan Dengan Animasi!!! - YouTube