![]()
Derajat Disosiasi

Contoh Soal dan Rumus Derajat Disosiasi, Kesetimbangan Kimia, Reaksi, Pembahasan

Cara mudah mencari derajat disosiasi pada reaksi kesetimbangan - kimia SMA - YouTube
Contoh Soal dan Pembahasan Derajat Disosiasi Kesetimbangan Kimia - masyog.com

Derajat Disosiasi

KIMIA DASAR REAKSI KESETIMBANGAN DENGAN TETAPAN KESETIMBANGAN DAN DERAJAT DISOSIASI. - ppt download

Kesetimbangan - soal derajat disosiasi- kimia SMA - YouTube

Ejercicio de Equilibrium chemistry
Derajat Disosiasi | PDF

Dalam derajat disosiasi N2O4 berdasarkan persamaan reaksi: N2O4(g) ⇌ 2NO2(g) Banyaknya mol - Mas Dayat

KIMIA DASAR REAKSI KESETIMBANGAN DENGAN TETAPAN KESETIMBANGAN DERAJAT
Derajat Disosiasi | PDF

Contoh Soal c derajat disosiasi lanjutan - YouTube

Kesetimbangan Dissosiasi - Biology Page

BELAJAR KIMIA DENGAN PRAKTIS: KESETIMBANGAN KIMIA

Tolong bantu jawab; Diketahui derajat disosiasi hidrogen iodida 0,5 pada suhu tertentu, maka - Brainly.co.id

Larutan Elektrolit dan Non Elektrolit | idschool

Hubungan Kuantitatif antara Pereaksi dan Hasil Reaksi | rini oktavia

Derajat Disosiasi

Dalam bejana 3 L, 5 mol amoniak terurai dengan der…
![Derajat Disosiasi - [PDF Document]](https://i3.wp.com/demo.fdokumen.com/img/378x509/reader023/reader/2020111420/5561349ad8b42aa2118b4d01/r-2.jpg)
Derajat Disosiasi - [PDF Document]

Cara mudah menentukan derajat disosiasi pada reaksi kesetimbangan - kimia SMA - YouTube

Derajat Disosiasi

Soal Kimia SMA Tentang Kesetimbangan Kimia dan Pembahasannya - myrightspot.com

B. Materi - Risa Oktavirayanti

KESETIMBANGAN KIMIA. - ppt download

Soal dan Pembahasan Terkait Derajat Disoasiasi dan Kc dalam Kesetimbangan Kimia - Urip dot Info
Hubungan KC & KP, Derajat Disosiasi, Kesetimbangan Dalam Industri | PDF
aidianet: Bagaimana Menentukan Derajat Disosiasi

KESETIMBANGAN KIMIA Apabila air dalam sebuah tempat tertutup

Pada reaksi kesetimbangan 2HI(g)⇌H2(g)+I2(g) 0,1…

Web viewmakalah kimia dasar. reaksi kesetimbangan dengan tetapan kesetimbangan. dan derajat disosiasi. dosen pengampu : bp. … untuk

Kesetimbangan - soal derajat disosiasi-Kimia SMA - YouTube

DERAJAT DISOSIASI

Jika larutan 100 mL Asam HCOOH 0,15 Molalitas dan 100 mL CO(NH2) 2 0,2 Molalitas mendidih pada suhu - Brainly.co.id

KIMIA KELAS XII.IPA SEMESTER I - ppt download

derajat disosiasi so3 | Pelajaran Sekolah Online
![KESETIMBANGAN REAKSI KIMIA - .TETAPAN KESETIMBANGAN. DERAJAT DISOSIASI. Pada reaksi penguraian, banyaknyazat - [PDF Document]](https://i0.wp.com/demo.fdokumen.com/img/378x509/reader025/reader/2021050502/5c842c3109d3f290718cb35f/r-1.jpg)
KESETIMBANGAN REAKSI KIMIA - .TETAPAN KESETIMBANGAN. DERAJAT DISOSIASI. Pada reaksi penguraian, banyaknyazat - [PDF Document]

Buku Kimia XI by Sukemi SPd - issuu

Derajat Disosiasi

Ke dalam suatu ruang bervolume 1 L dimasukkan 2 mol gas S…

Di dalam ruangan tertutup yang volumenya 10 liter dipanaskan 5 gram CaCO3. Pada 700 K, CaCO3 terurai membentuk reaksi kesetimbangan: CaCO3(s) ↔ CaO(s) + CO2(g) Volume CO2 yang terdapat pada saat setimbang

Soal Dalam tabung 4 liter dimasukkan 1” “molSO_(3) 2SO_(3)(g)⇌2SO_(2)(” “g)+O_(2)(” “g) lalu te

KESETIMBANGAN KIMIA – MEDIA PEMBELAJARAN KIMIA XI & XII MIPA

KESETIMBANGAN KIMIA SMA NEGERI 1 BANGKALAN STANDAR KOMPETENSI

chi🍰'²² on Twitter: “꒰ chapter 2 ꒱ ↷🖇☁️ ㅡㅡ Kc, Kp, derajat disosiasi ₊⋆ ˊˎ… "
Diketahui reaksi kesetimbangan disosiasi: 2MgO2…

Reaksi kesetimbangan PCl5 (g) <=> PCl3 (g) + Cl2 (g) Pada…

Ejercicio de Equilibrium chemistry
Mengapa derajat disosiasi meningkat dengan bertambahnya pengenceran? - Quora

jika dalam disosiasi PCl5 menurut reaksi PCl5(g) <-> PCl3(g) + Cl2(g) banyaknya mol PCl5 dan - Brainly.co.id
Hand Out Derajat Disosiasi | PDF

Hubungan Kuantitatif Antara Pereaksi Dan Hasil Reaksi, Tetapan Kesetimbangan Berdasarkan Konsentrasi, Kc, Parsial, Derajat Disosiasi, Contoh Soal, Rumus, Kimia

Bab 4 KESEIMBANGAN KIMIA. - ppt download

Penentuan Harga Tetapan Kesetimbangan Berdasarkan Konsentrasi Dan Tekanan Parsial Gas

PPT - REAKSI KESETIMBANGAN DENGAN TETAPAN KESETIMBANGAN DAN DERAJAT DISOSIASI PowerPoint Presentation - ID:4382330
Reaksi kesetimbangan N2O4(g)⇌2NO2(g) Pada su…

All About Chemistry: Menghitung Nilai Derajat Disosiasi

Diketahui reaksi kesetimbangan disosiasi: 2 MgO2 (s) <=> …

asam cuka (CH3COOH) 0,01 M mempunyai derajat disosiasi a= 0,02, ph asam cuka tersebut adalah? - Brainly.co.id
Derajat Disosiasi | PDF

Manentukan Tetapan Disosiasi SO3 - YouTube

HUBUNGAN KUANTITATIF ANTARA PEREAKSI DENGAN HASIL REAKSI DARI SUATU REAKSI KESETIMBANGAN Kelas : XI Semester : ppt download

ASAM dan BASA Reaksi Asam Basa Merupakan reaksi
Contoh Soal Menentukan Kesetimbangan Kimia

Rangkuman Materi & 44 Contoh Soal Reaksi Kesetimbangan Dan Pembahasannya

Derajat Ionisasi dan Hubungannya dengan Ka dan Kb - Your Chemistry A+

Larutan asam asetat (CH3COOH) 0,1 M terurai membentuk reaksi kesetimbangan: CH 3COOH(aq) ↔ CH3COO- + H+ dengan derajat disosiasi, α = 0,1. Hitunglah konsentrasi ion H+ di dalam larutan. - Primalangga

A. TEORI - Rena Restiana Fajrin

Desember 2019 – Laman 2 – Soalfismat.com

Belajar Online Kesetimbangan Kimia adalah keadaan saat kedua reaktan

Soal Dan Jawaban Kesetimbangan Kimia – Rasanya

Ayo Belajar Kesetimbangan Kimia - BELAJAR KIMIA
Derajat disosiasi dinitrogen tetraoksida pada suhu…

REAKSI KESETIMBANGAN DENGAN TETAPAN KESETIMBANGAN DAN DERAJAT DISOSIASI

Derajat disosiasi dari 3,99 gram pb(so4)2 (ar pb = 207 , s= 32 , o = 16) dalam 250 ml larutannya pada suhu 27 derajat c dan tekanan

Segitiga Rumus Derajat Disosiasi – Segitiga Rumus

Kimia Industri

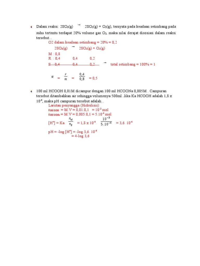
Dalam reaksi: 2SO3(g) ⇌ 2SO2(g) + O2(g) ternyata pada keadaan setimbang pada suhu - Mas Dayat
Soal Kimia | PDF

Kesetimbangan Kimia Part 6 derajat disosiasI - YouTube

disosiasi Instagram posts (photos and videos) - Picuki.com
![]()
Manaka dari enyawa-senyaw… | Lihat cara penyelesaian di QANDA

KimintekHijau.com: Kesetimbangan Kimia!

dalam ruang bervolume 5 liter sebanyak 0,4 Mol gas dipanaskan dengan suhu 180 derajat Celcius - Brainly.co.id

DOWNLOAD: Pengertian Dan Tetapan Kesetimbangan Kc .Mp4 & MP3, 3gp | NaijaGreenMovies, Fzmovies, NetNaija
Kesetimbangan Kimia - Tanya MIPI

Kesetimbangan Kimia Bab 4 Standar Kompetensi 3 Memahami

PPT - SIFAT KOLIGATIF LARUTAN PowerPoint Presentation, free download - ID:4367326

Materi Pelajaran Kesetimbangan Kimia - Laman 3 dari 3 - Bisakimia
![Web viewmakalah kimia dasar. reaksi kesetimbangan dengan tetapan kesetimbangan. dan derajat disosiasi. dosen pengampu : bp. … untuk kelas xi penerbit viva pakarindo - [DOCX Document]](https://i3.wp.com/demo.fdokumen.com/img/378x509/reader019/reader/2020031217/5a72ad2c7f8b9aa7538dc770/r-1.jpg)
Web viewmakalah kimia dasar. reaksi kesetimbangan dengan tetapan kesetimbangan. dan derajat disosiasi. dosen pengampu : bp. … untuk kelas xi penerbit viva pakarindo - [DOCX Document]

Kesetimbangan

Dalam wadah 3 liter, 8 mol amonia terurai dengan d…
INSTRUKSI :

LARUTAN ELEKTROLIT DAN NONELEKTROLIT + CONTOH SOAL DAN PEMBAHASAN - Bisakimia

Jika kedua larutan tersebut mendidih pada suhu yang sama, derajat disosiasi larutan HCOOH sebesar… (kb air = 0.52) TOLONG BANTUIN.

24.Diketetahui reaksi kesetimbangan Kp 4 Jika tekanan | Chegg.com

Mencari Derajat Disosiasi dan Tetapan Kesetimbangan dari Reaksi Penguraian Gas Amonia - YouTube
Kesetimbangan Kimia - Tanya MIPI

Klasifikasi elektrolit. Derajat disosiasi. Elektrolit kuat dan lemah. Derajat disosiasi elektrolit Klasifikasi elektrolit menurut nilai derajat disosiasi