
tentukan himpunan dari persamaan nilai mutlak | 3 x - 6 | = 3 - Brainly.co.id

nilai x yang memenuhi persamaan nilai mutlak (x + 3) = 6 - Brainly.co.id

4/5 x 3/6 = 3/4 x 5/7 = 6 x 5/8 = 1 2/3 x 11/2 = 2 2/5 x 30 = - Brainly.co.id

Carilah persamaan nilai mutlak ( x + 3) ² - 5 ( x + 3 ) + 6 = 0 - Brainly.co.id

x + 1| + |x + 3| = 6. Tentukan himpunan penyelesaiannya! - Mas Dayat

penyelesaian pertidaksamaan |1/x-3|>6 - Brainly.co.id

Tentukan maising-masing nilai dari 1/x + 1/y + 1/z = 6, 2/x + 2/y - 1/z = 3, 3/x - 1/y + 2/z = 7 - YouTube

solve x 3 3 6 x 2 6 x 15 where x is not eqaul to 6 - Mathematics - TopperLearning.com | 63hyisuu
![]()
5 Cara untuk Mencari Nilai X - wikiHow

6log (2x – 1) + 6log (x – 3) = 6log 9, Tentukan nilai x yang memenuhi - Mas Dayat

5|2x-3|=2|3-5x| tentukan nilai x nya jika ada - YouTube

Soal 1. Bentuk sederhana dari ((3x^(-5)y^(3))/(6x^(3)y^(-2)))^(2) adahh. fiwaban yang bena A. (

1.Tentukan Himpunan Penyelesaian dari persamaan nilai mutlak |x – 3) = 6 a.X=-3 atau x = 9C. X = 3 atau x = 9e. x = -3 atau x =

hasil perkalian dari pecahan 3 3/6 x 4 4/9 adalah - Brainly.co.id

Example 16 - Solve 6x + 1/3 = x - 3/6 - Chapter 2 Class 8 - Teachoo

How do you solve x/2 + y/3 = 6 and x/3 + y/2 = 12? | Socratic

Answer: Only for genius ?? 3 – 3 x 6 + 2 = ?? | David Musgrave’s Winthrop Development Consultants Blog

himpunan penyelesaian a. |x/3-2|<6 b. |2+5/x|>1 c. |3x+1|<2|x-6| - Brainly.co.id

Latihan Soal – SUKUBANYAK (POLINOMIAL)

- modul turunan (diferensial) pak sukani

Himpunan penyelesaian dari persamaan 2(3x-2)=3(x+5) adalah - YouTube
![]()
Soal dan pembahasan suku banyak

Pecahan b. (perkalian) hal 108 esps matematika 2/7 x 1/6 = 12/7 x 2/3 = 3/6 x 11/5 = 11/4 x 4 = 9 x 2/3 = pecahan b. (pembagian) hal

Cara Menentukan Kelipatan Suatu Bilangan Bulat Positif - RumusHitung.Com
Kunci Jawaban Latihan | PDF
![]()
5 Cara untuk Mencari Nilai X - wikiHow

Soal (2x^(2)+6x-1)^(3x^(2)-27)=(x^(2)-3x-19)^(3x^(2)-27)

Salah satu faktor dari x3 – 6x2 + px + 12 adalah x – 3. Faktor linear yang lain dari suku - Mas Dayat

2 teknik bab 6 limitfungsi mgmpmtkpas
Hasil Dari 175 | PDF

Hasil nilai mutlak dari |X-1|+|2X|+|3X+1|=6 - YouTube

Persamaan Linear Tiga Variabel (Metode Determinan) - Yurmawita’s Blog

Statistika Deskriptif - ppt download

Berapa hasil dari (6/9 - 1/3 x 1/3) : 1,125 = (2/7 + (0,5 - 0,4)) x 3 1/5 = Please bantu pakai - Brainly.co.id

Scientific Paradise: Limit Matematika Kelas 12

Cara Menghitung Perkalian Dasar
Himpunan penyelesaian (x+6) pangkat x-3=(x+6) pang…

Tentukan himpunan penyelesaian persamaan nilai mutlak berikut |x-6| + |3+2x| =20

Jual Hollow Galvanis 3 x 3 x 6 Besi 1,0 mm / Holo Gal - Kota Bandung - SinTera202 | Tokopedia

Limit. - ppt download

Inilah Penjelasan Mengapa 6x4 dan 4x6 Berbeda - Kompasiana.com

Kelas 4 - Matematika - Yoni Yuniarto by Yeti Herawati - issuu

Answer: Only for genius ?? 3 – 3 x 6 + 2 = ?? | David Musgrave’s Winthrop Development Consultants Blog

Berikut tentukan nilai x, y, dan z dari sistem persamaan linear tiga variabel berikut! x + 2y – z = 3 - Mas Dayat

Tabel Perkalian dan Tabel Bilangan Kuadrat

Example 16 - Solve 6x + 1/3 = x - 3/6 - Chapter 2 Class 8 - Teachoo

Cara Menghitung Pecahan, Rangkuman dan Soal Matematika Kelas 4 - 6 Belajar dari Rumah TVRI 11 Mei 2020 - Semua Halaman - Bobo

Nilai dari lim ->x->3 (xtan(2x-6))/(sin(x-3)) adalah …

Menghitung Bilangan dengan Sifat Komutatif

Soal Nilai optimum dari fungsi objektif f(x,y)=2x+3y untuk sistem pertidaksamaan linear 3x+y=9,

- Himpunan penyelesaian dari sistem persamaan linear x + y = 5 dan x - 2y = -4 adalah… A.{ (1, 4) } - PDF Download Gratis
![]()
- soal soal matriks

3 Langkah Cara Cetak Foto Ukuran 2x3 3x4 4x6 Di Ms Word Terbaru
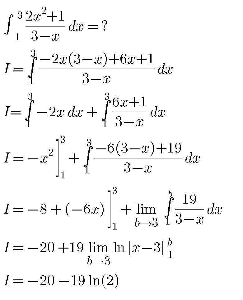
Bagaimana cara menghitung integral dari batas atas 3 batas bawah 1 (2x^2+1) (3-x) dx? - Quora
Jual Siku Stainless SS 304 30 x 30 MM x 3 MM x 6 Meter - Sutindo Store - Kota Surabaya - Sutindo Store | Tokopedia

Tentukan himpunan penyelesaian dari persamaan |x-3|+|3x-6|=5 - Brainly.co.id

Tentukan himpunan penyelesaian dari |2x-1| lebih besar dari |x-3| - YouTube

Tunjukkan bahwa pasangan matriks berikut ini merupakan pa…

20+ Contoh Soal Faktorial dan Jawaban

Pecahan b. (perkalian) hal 108 esps matematika 2/7 x 1/6 = 12/7 x 2/3 = 3/6 x 11/5 = 11/4 x 4 = 9 x 2/3 = pecahan b. (pembagian) hal

March | 2019 | Kalkulus I

Apa Itu KPK dan FPB Berikut Contoh Soalnya - Tribunlampung.co.id
![]()
4 Cara untuk Menggunakan Sifat Distributif Untuk Menyelesaikan Persamaan

Menyelesaikan Nilai-Nilai Limit dengan Cara Substitusi dan Pemfaktoran

Cara Mencari Nilai Faktorial dan Contoh Soalnya
Intip Solusi Super Menyelesaikan Soal Fungsi Komposisi buat Kelas 10! | Quipper | LINE TODAY

Desain dan Denah Rumah Minimalis Modern Ukuran 6 x 12 M Tedapat 3 Kamar Tidur Yang Elegan ~ Homeshabby.com : Design Home Plans, Home Decorating and Interior Design

Gambar Tabel Perkalian Angka 3 - Mewarnai.id
![]()
Modul Matematika SMA dan Soal Latihan 12 Latihan 06

4x + 3| > |x – 6| - Mas Dayat

Rangkuman dan Soal Matematika Pecahan, Materi Belajar dari Rumah untuk SMP - Semua Halaman - Bobo

E. Fungsi Eksponen dan Penerapannya - Homeschooling Pena Surabaya

PERKALIAN DENGAN GARIS BILANGAN - ppt download

What is (x^3+4x^2+x-6)/(x+2)? | Socratic

Tabel Perkalian 1-10, 1-100, 1-1000: Lengkap, Gambar

Contoh Soal Program Linear dan Jawaban
Perkalian 1 Sampai 10 Font Christ Model - perkalian.id

Cara cepat menghafal perkalian ( Hitung cepat perkalian ) - Sharematika

Contoh Soal dan Pembahasan Titik Stasioner Beserta Fungsinya
![]()
Fungsi (matematika) - Wikipedia bahasa Indonesia, ensiklopedia bebas

Cara Menentukan Determinan Matriks 3×3 | idschool

3-x)(6-x)>0maka…a. 3<x<6b.-3<x<6c. -6<x<-2d.x<3 atau x>6e. x<-6 - Brainly.co.id
Himpunan penyelesaian (x+6) pangkat x-3=(x+6) pang…

Harga HP POCO X3 hanya Rp 3 jutaan, dibekali RAM 8GB, kamera 64, dan NFC

Tentukan himpunan penyelesaian dari persamaan 2x-5=(x-1)

- modul turunan (diferensial) pak sukani

Tabel Perkalian 1 Sampai 10 | Info Indonesia

Kunci Jawaban Halaman 3, 6, 7, 8, dan 9 Kelas 5 SD MI Tema 4 Pembelajaran 1 tentang Peredaran Darahku Sehat - Jatim Network

WORKSHOP MATEMATIKA Dosen Yogi Wiratomo M Pd MELAKUKAN

PERPANGKATAN DAN PENGAKARAN - ppt download

Soal Tentukan nilai maksimum dan minimum dari fungsi f(x)=2x^(3)-6x^(2)-48 x+5 pada interval -3

Tentukan himpunan penyelesaian dari pertidaksamaan berikut! |4x – 3| > |x + 6| - Mas Dayat
![]()
3 Cara untuk Memfaktorkan Persamaan Aljabar - wikiHow

Solve x+3-3=-6 - YouTube

Year 4 3 6 12 Times Tables Multiplication Poster

Ex 8.2, 7 - Find middle term of (3 - x3/6)7 - Chapter 8 - Ex 8.2

Limit Matematika dan Contoh Soal

Membagi Ruas Garis Menjadi Beberapa Bagian Sama Panjang | Mikirbae.com

LIMIT Definisi Teoremateorema limit Kekontinuan fungsi Iyan Andriana

Jual Tenda lipat tebal hercules. Uk 2 x 2, 2 x 3, 3 x 3, 3 x 4.5, 3 x 6 - Kota Makassar - INDAH DISPLAY | Tokopedia