
Nilai Dari 2log 4 + 2 log 12 - 2 log 6 - Brainly.co.id

2 log 4 + 2 log 12 - 2 log 6 = - YouTube

Penyelesaian dari 2 log 4 + 2 log 12 - 2 log 6 - YouTube

2 log 4 + 2 log 12 dikurang 2 log 6 = - Brainly.co.id

Sederhanakan dan tentukan nilai dari (2log12+2log4-2log6) - Brainly.co.id

nilai dari 2 log 4 ditambah 2 log 12 dikurangi 2 log 6 = - Brainly.co.id

Penyelesaian dari 2 log 4 + 2 log 12 - 2 log 6 - YouTube

2log12+2log4-2log6 berapakah hasilnya - Brainly.co.id
nilai dari 2 log4+2log12-2log6? - Brainly.co.id

nilai dari 2log 12 + 2log 6 - 2log 9 adalah - Brainly.co.id

Bentuk sederhana dari 2log4 + 2log12 - 2log6 - Brainly.co.id
Nilai dari 2log4+2log12−2log6=….

Nilai dari ²log 4 + ²log 12-²log 6 adalah - Brainly.co.id

Bentuk sederhana dri ^2 log 4 + ^2 log 12 - ^2 log 6 adalah ..
![]()
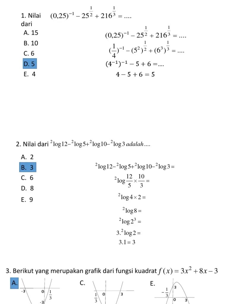
LATIHAN SOAL DAN PEMBAHASAN MATEMATIKA SMA KELAS X BAB LOGARITMA. Untuk soal seperti di atas, maka kita perlu mengingat sifat logaritma

2log4+2log12-2log6=… a.8 b.6 c.5 d.4 - Brainly.co.id

Hasil dari 2log12+2log4-2log6 adalah ….
Jika 2log12=3,6 dan 2log3=1,6 maka nilai dari 2log36 adal…

Nilai dari 2log 12+2log 4-2log 6 =

Nilai dari 2 log 4 + 2 log 12 - 2log 6 adalah

2 log 32 + 2 log 12 - 2 log 6= - Brainly.co.id

Logaritma
Soal Tidak Rutin Logaritma | PDF
![]()
8.docx - Nilai dari 2log 4 2log 12 \u2013 2log 6 = Nilai dari 2log 48 5log 50 \u2013 2log 3 \u2013 5log 2 = Jika log 3 = 0,4771 dan log 2 = 0,3010 maka nilai | Course Hero
![]()
8.docx - Nilai dari 2log 4 2log 12 \u2013 2log 6 = Nilai dari 2log 48 5log 50 \u2013 2log 3 \u2013 5log 2 = Jika log 3 = 0,4771 dan log 2 = 0,3010 maka nilai | Course Hero

Nilai dari 2log3 - 2log9 + 2log12 adalah
![]()
LATIHAN SOAL DAN PEMBAHASAN MATEMATIKA SMA KELAS X | Hadi Suyono - Academia.edu

Logaritma

Soal Nilai dari ^(2)log 12+2log 6-^(2)log 9 adalah dots

Soal dan Pembahasan Matematika Logaritma (1-6) | Istana Mengajar

Diketahui 2 log 3 = a dan 3 log 5= b. Nilai 6 log 45=….. mohon bantuanya ya - YouTube
C. D. 2 E. 6

Contoh Soal Logaritma Kelas X / Contoh Soal Bentuk Pangkat Akar Logaritma Kelas X Ap Catatan Matematika Com : Nilai dari 2log 4 + 2log 12 2log 6 =.

Nilai dari 2log4+2log(12)-2log6=…

Soal 12. Nilai ^(2)ln 12-^(2)log 6+2^(2)ln 2. adalah A. 3 B. 4 C. 5 D. 6 E. 8

Bimbel Online Nomor 1 على تويتر: “Saatnya kamu menjawab soal matematika kelas X di #SeninBelajar nih, Squad! Yuk, coba jawab soalnya di kolom komentar dan jangan lupa Tag teman-teman kamu ya, Squad! .
Nilai dari 2log4+2log12−2log6=….
Tryout Unbk Tambahan | PDF

Latihan Soal Dan Pembahasan Matematika Sma Kelas X Bab Logaritma - Kumpulan Contoh Surat dan Soal Terlengkap

Aplikasi logaritma worksheet
![]()
LATIHAN SOAL DAN PEMBAHASAN MATEMATIKA S
![]()
8.docx - Nilai dari 2log 4 2log 12 \u2013 2log 6 = Nilai dari 2log 48 5log 50 \u2013 2log 3 \u2013 5log 2 = Jika log 3 = 0,4771 dan log 2 = 0,3010 maka nilai | Course Hero
![]()
Contoh Soal Pertidaksamaan Logaritma Dan Pembahasannya Kelas 10 Kurikulum 2013 - Pertidaksamaan Nilai Mutlak Sma Matematika : Masih ingat kan materi tentang bilangan berpangkat (eksponen)?

nilai dari 2 log 32 + 2 log 12 dikurangi 2 log 6 adalah - Brainly.co.id

- Nilai dari log 12 + log 3V3 + log V2adalah log 65D.63A.ازيرا MUA.B. 1E..6C.586. Nilai dari ?log 4 + 2log 12 - 2log 6 adalah
![]()
Tentukan penyelesaian dar… | Lihat cara penyelesaian di QANDA

Soal Tentukan domain dari fungsi f(x)=^(2)log(12-4x)

SolveMath 🇮🇩 on Twitter: “9-12 9. Persamaan Logaritma 10. Dimensi 3 11. Barisan Aritmatika 12. Turunan Fungsi Komposisi… "

Matematika Kelas 10 | Mengenal Logaritma dan Sifat-Sifatnya

Bentuk sederhana dari (akar(3) log 100.log 9-5 log 625)/(…
![]()
8.docx - Nilai dari 2log 4 2log 12 \u2013 2log 6 = Nilai dari 2log 48 5log 50 \u2013 2log 3 \u2013 5log 2 = Jika log 3 = 0,4771 dan log 2 = 0,3010 maka nilai | Course Hero
NO | PDF

2log (x2 - 4x - 12) ≤ 2log (2x - 5) - Mas Dayat
Contoh Soal Sifat Sifat Logaritma Dan Pembahasannya Pdf : Contoh Soal Logaritma Sifat 5 Terbaru - Oleh karena itu, apabila operasi logaritma memiliki nilai basis 10 maka nilai basis pada operasi logaritma

Bentuk pangkat, akar dan logaritma

Nilai dari 2log 4 + 2 log 12-2log 6 adalaha. 8b.6c. 5d. 4e. 3

Memahami Fungsi Logaritma beserta Rumus, Sifat, dan Persamaannya | merdeka.com
2log4+2log12−2log6=….

ZenBot
![]()
Logaritma.docx - LATIHAN SOAL DAN PEMBAHASAN MATEMATIKA SMA KELAS X BAB LOGARITMA 1 Nilai dari 2log 4 2log 12 \u2013 2log 6 = A 8 B 6 C 5 D 4 E 3 | Course Hero
![]()
LATIHAN SOAL DAN PEMBAHASAN MATEMATIKA S
Contoh Soal Logaritma Kls 10 / Soal Latihan Logaritma Kelas 10 Pdf - SOALNA / Latihan soal dan pembahasan matematika sma kelas x bab logaritma 1.

Contoh soal dan_pembahasan_persamaan_logaritma

Jika 7 log 2 = a dan 2 log 3 = b maka 6 log 98 = - YouTube

2log (x2 - 4x - 12) ≤ 2log (2x - 5) - Mas Dayat

Nilai dari 2log 12+2log 4-2log 6 =

Logaritma - Materi Kelas X SMK
Nilaidari2log6+2log8−2log12=….

Soal Dengan menggunakan sifat-sifat logaritma, tentukan nilai berikut. _

Nilai dari 2log 10 + 2log 12 - 2log 15 adalah ….

Latihan Soal Logaritma Bimbel Jakarta Timur
Soal Matematika SMA dan Penyelesaian | Belajar Matematika dan Sains SMP-SMA

LOGARITMA. - ppt download
Makalah
![]()
Sederhanakanlah bentuk lo… | Lihat cara penyelesaian di QANDA

Logaritma | 2log12 - 2log6 + 2.2log2 = … | Matematika SMK-SMA - YouTube
![]()
8.docx - Nilai dari 2log 4 2log 12 \u2013 2log 6 = Nilai dari 2log 48 5log 50 \u2013 2log 3 \u2013 5log 2 = Jika log 3 = 0,4771 dan log 2 = 0,3010 maka nilai | Course Hero

3log (x2 – 4x – 12) = 2 - Mas Dayat

Latihan Soal Dan Pembahasan Logaritma Sma Kelas X - ID:5dcc6803b1b39

Soal Nilai dari ^(2)log 4+^(2)log 12-^(2)log 6=dots
![Clearnote Indonesia on Twitter: “💯 BELAJAR LOGARITMA DENGAN CATATAN DI CLEAR 💯 [UTBK] Logaritma https://t.co/dMO8jqRsKv #sbmptn #SMA #matematika #logaritma #rumus… https://t.co/zGnyektJHX”](https://i3.wp.com/pbs.twimg.com/media/Eb_2QdzVAAMMs-D.jpg)
Clearnote Indonesia on Twitter: “💯 BELAJAR LOGARITMA DENGAN CATATAN DI CLEAR 💯 [UTBK] Logaritma https://t.co/dMO8jqRsKv #sbmptn #SMA #matematika #logaritma #rumus… https://t.co/zGnyektJHX"

LKS SMK kls X - Sifat Trigonometri worksheet

hitunglah nilai dari 2 log 32 + 2log12 -2 log 6 - Brainly.co.id

Nilai dari 2log32+2log12-2log6 adalah….
Contoh Soal Logaritma Kls 10 / Soal Latihan Logaritma Kelas 10 Pdf - SOALNA / Latihan soal dan pembahasan matematika sma kelas x bab logaritma 1.
![]()
2log4+2log12−2log6=….
BAHAN AJAR 3.1
![]()
LATIHAN SOAL DAN PEMBAHASAN MATEMATIKA S
PLAGIAT MERUPAKAN TINDAKAN TIDAK TERPUJI PLAGIAT MERUPAKAN TINDAKAN TIDAK TERPUJI
![]()
10 Bentuk sederhana da… | Descubre cómo resolverlo en QANDA

MEDIA EXELLENT LEVEL CARD (ELC) - ppt download

- tentukan nilai dari : a. 2log4 + 2log12 - 2log6 = b. 2log48 + 5log50 - 2log3 - 5log2 = c. 2log 1/8 + 3log1/9 + 5log1/125 = d.
PLAGIAT MERUPAKAN TINDAKAN TIDAK TERPUJI PLAGIAT MERUPAKAN TINDAKAN TIDAK TERPUJI

Penyelesaian dari 2 log 4 + 2 log 12 - 2 log 6 - YouTube
Termurah!! KODE-713 Buku Sipenmaru Poltekkes 2021 Untuk Ujian Tulis Masuk Poltekkes Se-Indonesia | Shopee Indonesia

US SMK 2021 MATEMATIKA | SMK YASPIF CIBUAYA - KARAWANG

Soal Matematika SMA dan Penyelesaian | Belajar Matematika dan Sains SMP-SMA
Nilai x yang memenuhi persamaan ²log(2x+1)+⁴log(2x+1)=6 adalah…. Question from @udinhoir

Lampiran RPP K13 SMA kelas 1

Jual Buku Sipenmaru Poltekkes 2021 / SIMAMA 2021 Ujian Tulis Masuk - Jakarta Barat - alifia slavina | Tokopedia