
Jika panjang sisi OA = 10 cm, luas segi enam tersebut adalah Jawab nomor 36 dungg (: - Brainly.co.id

Hitunglah luas segi enam beraturan yang panjang sisinya : - YouTube

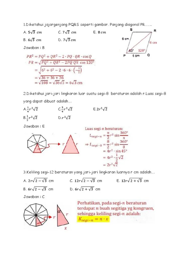
Hitunglah luas segi enam beraturan yang panjang sisinya : - YouTube

sebuah lingkaran dibuat segienam beraturan,jika panjang jari-jari lingkaran 10 cm,maka luas - Brainly.co.id

perhatikan segi enam beraturan berikutluas bangun datar tersebut adalah…. a. 120√3 cm²b. 150√3 - Brainly.co.id

Jika jari-jari luar segi enam beraturan adalah 10 satuan panjang, berapa luasnya? - YouTube

luas segi enam beraturan dengan panjang sisi 10 cm adalah

Rumus Keliling Dan Luas Segi Enam Dengan Contoh Soalnya

luas segi enam beraturan ABCDEF dengan panjang sisi AB=6√2 cm adalah…A 18√3B 48√3C 72√3D 96√3E - Brainly.co.id

Konsep Segi Enam: Rumus Luas, Keliling dan Contoh Soalnya …
![]()
4 Cara untuk Menghitung Luas Segienam - wikiHow

Diketahui segi enam beraturan dengan panjang sisi 6 cm.luas segi enam tersebut adalah… - Brainly.co.id
Tugas Matem Kls 12 | PDF

Let’s Learn :): Mei 2018
Luas Segi Enam Beraturan Dengan Panjang Sisi 10 Cm Adalah - Ini Aturannya
Diketahui segi enam beraturan dengan panjang sisi …

Rumus Segi Enam: Mencari Luas, Keliling, Diagonal dan Tinggi

Belajar Bangun Datar (Menentukan Luas Segi Enam Beraturan) - YouTube

Luas Segi n Beraturan dan Keliling Beserta Contoh Soal - rpp.co.id

Soal 6. Suatu paving blok berbentuk prisma segi enam beraturan dengan panjang sisi 10” “cm. Hit

Contoh Soal Prisma Segi Enam

Luas dan Keliling Bangun Datar Segi-n Beraturan ~ Konsep Matematika (KoMa)

Menghitung Luas Segi Enam Dengan Cepat - De Eka

√ Segi Enam (Pengertian, Rumus Luas, dan Contoh Soal)
![]()
Diketahui segi enam beraturan dengan panjang sisi …

sebuah wadah berbentuk prisma segi enam beraturan dengan panjang sisi alasnya 6 cm dan tinggi nya 18 cm. jika wadah tersebut digunakan

Cara Cepat Menghitung Luas Permukaan Prisma Segi Enam

Rumus Keliling Segienam Halaman all - Kompas.com
Cara Menghitung Luas Segienam | PDF

luas segi enam beraturan jika panjang sisinya 20 cm adalah…….. - Brainly.co.id
![]()
4 Cara untuk Menghitung Luas Segienam - wikiHow

Soal Sebuah wadah berbentuk prisma segl-enam beraturan dengan Panjang sisi alasnya 10” “cm dan

Trigonometri | Super Matematika

Gambar Simetri Lipat Segi Enam Beraturan

Cara Cepat Menghitung Luas Permukaan Prisma Segi Enam
Asesmen Kompetensi Minimum - Pusat Assesment dan Pembelajaran
Luas Segi Enam Beraturan Dengan Panjang Sisi 10 Cm Adalah - Ini Aturannya

Geometri

Diketahui segi enam beraturan dengan panjang sisi …

Contoh Soal AKM Numerasi Kelas X SMA/SMK Beserta Jawaban - Sinau-Thewe.com

Membuat Segi 8 Beraturan

Soal Pada gambar disajikan sebuah segi enam beraturan yang terletak dalam sebuah lingkaran. Jik

Diketahui pada gambar limas merupakan limas segienam beraturan dengan panjang AB=10cm dan TO= 30 - Brainly.co.id

16309407 rumus-rumus-segitiga
![]()
DOC) LK.3 | Ekhy Apriliandy Wijaya Putra - Academia.edu

Contoh Soal dan Pembahasan Luas Permukaan Prisma

Diketahui segi enam beraturan. jika jari-jari lingkaran luar segi enam beraturan adalah 10 satuan, maka luas segi enam beraturan tersebuy
![]()
4 Cara untuk Menghitung Luas Segienam - wikiHow

√ Diketahui panjang AB = 10 cm dan TA = 13 cm. Titik O merupakan titik tengah garis BE. Tentukan jarak antara titik T dan O! - BasTechInfo
Perhatikan gambar limas segienam T.ABCDEF berikut….

Soal 16. Suatu segienam beraturan luasnya 6sqrt3” “cm^(2). Keliling segi enam tersebut adalah

Diketahui PQRSTU adalah segi enam beraturan dengan panjang sisinya 6 cm. panjang diagonal PR adalah - Brainly.co.id

Cara Menggambar Segi 6 Beraturan

un sma 2017 Matematika IPA, pembahasan , no 31, sin sisi tegak limas segienam dan alas - YouTube
![]()
4 Cara untuk Menghitung Luas Segienam - wikiHow
Luas Segi Enam Beraturan Dengan Panjang Sisi 10 Cm Adalah - Ini Aturannya

Cara Menghitung Rumus Luas Segi Enam Dan Contoh Soal

Konsep Segi Enam: Rumus Luas, Keliling dan Contoh Soalnya …

Soal Luas segienam beraturan yang panjang jari-jari lingkaran luarnya 6sqrt6 adalah….

√ Segi Enam (Pengertian, Rumus Luas, dan Contoh Soal)

Diketahui limas segi enam beraturan t. abcdef dengan panjang rusuk ab =10 cm dan at=13 cm. tentukan jarak antara titik b dan rusuk
Segi 8 Beraturan Luas

Rumus Luas Segienam Halaman all - Kompas.com
Perhatikan gambar segi enam beraturan berikut! …
![]()
Menggambar segi-tujuh-beraturan

ABC.DEF adalah segi enam beraturan dengan pusat O. Jika AB dan BC - Mas Dayat
![]()
4 Cara untuk Menghitung Luas Segienam - wikiHow

alas sebuah limas berbentuk segi enam beraturan dengan panjang sisi 10 cm.Jika tinggi limas 11 - Brainly.co.id

Limas Segi Enam - Safekey

Segi Banyak & Lingkaran | damarlanhadi
Pada segi enam beraturan titik-titik ABCDEF G, H, I, J, K, dan L adalah titik tengah sisi-sisinya (AB, BC, CD, DE, EF, dan AF). Segmen AH, BI, CJ, DK, EL, dan FG

Luas Segi Enam Beraturan – Mudah

Dimensi Tiga 1. Jarak Titik ke Titik pada Bangun Ruang (Materi + Soal Latihan) - CATATAN MATEMATIKA
Segi tujuh - Wikipedia bahasa Indonesia, ensiklopedia bebas
Luas Segi Enam Beraturan Dengan Panjang Sisi 10 Cm Adalah - Ini Aturannya

Suatu segi enam beraturan mempunyai keliling 36 cm. Luas segi enam tersebut adalah… - Rebbosetau
![]()
1 Alas sebuah limas berbe… | Lihat cara penyelesaian di QANDA
Berapa luas maksimum segitiga yang titik-titik sudutnya terletak pada segi enam beraturan dengan luas satuan 1? - Quora
![]()
4 Cara untuk Menghitung Luas Segienam - wikiHow
![]()
Heksagon - Wikipedia bahasa Indonesia, ensiklopedia bebas

Konsep Segi Enam: Rumus Luas, Keliling dan Contoh Soalnya …

Gambar disamping adalah segi enam beraturan dengan panjang AB=18cm.Untuk phi=3,14,hitunglah luas - Brainly.co.id

Diketahui segi enam beraturan dengan panjang sisi …

Melukis Segi Enam Beraturan Apabila Diketahui Panjang Sisinya | Pendidikan Matematika

Jawaban Matematika Kelas 8 Ayo Kita Berlatih 8.3 Semester 2 Hal 152 – 154 Perhatikan Limas Segi Empat

Luas segi 12 beraturan dengan panjang jari-jari lingkaran luar 8 cm adalah - YouTube

Hitunglah Luas Segi Enam Beraturan Dengan Panjang Sisi 10 Cm - Ini Aturannya

Contoh Soal Prisma Segi Enam - Semua Halaman - Adjar

Cara Menggambar Segi Enam Beraturan Dengan Benar | KEDAI MIPA
Asesmen Kompetensi Minimum - Pusat Assesment dan Pembelajaran
![W02-Luas Segitiga - Belajar Matematika nbsp; Kelas XI , Semester 4 … dan kosinus Luas Segitiga Fungsi sinus Fungsi cosinus tangens … PQ = 5 cm, PR = 7 cm dan QR = 8 cm adalah - [PDF Document]](https://i3.wp.com/demo.vdocuments.mx/img/642x865/reader024/reader/2021010109/5a725abc7f8b9aa7538d7b45/r-2.jpg)
W02-Luas Segitiga - Belajar Matematika nbsp; Kelas XI , Semester 4 … dan kosinus Luas Segitiga Fungsi sinus Fungsi cosinus tangens … PQ = 5 cm, PR = 7 cm dan QR = 8 cm adalah - [PDF Document]
Jika sebuah segi enam beraturan berada dalam lingkaran dengan jari-jari 10 cm, berapakah kelilingnya? - Quora

Keliling suatu segienam beraturan adalah 96 cm. Maka luas segienam tersebut adalah …

Luas Segi Enam Beraturan – Mudah

gambar diatas menunjukan prisma yang alasnya berbentuk segi enam beraturan dengan panjang sisi 8 cm - Brainly.co.id

Sebuah lingkaran L menyinggung segi enam beraturan…

Konsep Segi Enam: Rumus Luas, Keliling dan Contoh Soalnya …

Olimpiade Matematika SMA tingkat propinsi 2019 no 2 - YouTube

Cara Menggambar Segi Enam Beraturan Dengan Benar | KEDAI MIPA

Melukis Segi Enam Beraturan Apabila Diketahui Panjang Sisinya | Pendidikan Matematika