
Raditya Yudika P: Soal dan Pembahasan Integral Subsitusi dan Integral Parsial

Contoh soal integral substitusi dan pembahasannya – Soalfismat.com

Tag: contoh soal dan pembahasan integral substitusi - Kumpulan Contoh Surat dan Soal Terlengkap
Contoh Soal Integral Parsial

Contoh Soal Un Dan Pembahasan Integral Substitusi - Kumpulan Contoh Surat dan Soal Terlengkap

Kumpulan Soal Integral Substitusi Dan Pembahasannya

Contoh Soal Integral Tentu, Tak Tentu, Substitusi, Parsial
Menghitung Integral dengan Aturan Substitusi - Materi Lengkap Matematika

contoh soal integral parsial dan jawabannya trigonometri - biosome6

Rumus Integral Parsial dan Integral Substitusi Beserta Contoh – Anto Tunggal

Soal dan Pembahasan Metode Substitusi Integral Fungsi Aljabar (1-5) | Istana Mengajar

Contoh Soal Dan Pembahasan Integral Metode Substitusi - Kumpulan Contoh Surat dan Soal Terlengkap

Teknik Integral Substitusi

√ Contoh Soal Integral Tentu, Tak Tentu, Substitusi, Parsial + Pembahasannya …

Contoh Soal Integral Substitusi Trigonometri 1 - YouTube

Contoh Penyelesaian Soal Integral dengan Teknik Substitusi

Rumus Integral Substitusi & Contoh Soal Beserta Pembahasannya

Penyelesaian Integral Substitusi dan Integral Parsial - Ilmu Hitung
Contoh Soal Integral Parsial
MATEMATIKA SMA: Integral Parsial
Soal Dan Pembahasan Integral Substitusi Pdf

√ Integral (Pengertian, Rumus, Parsial, Subtitusi, Tak Tentu)

Contoh soal integral

Contoh Soal Integral Substitusi

contoh soal integral substitusi - RumusRumus.com

Soal Integral Substitusi Fungsi Trigonometri

Pelajaran, Soal & Rumus Integral Parsial | Wardaya College

Pengertian Rumus Integral Substitusi & Integral Parsial

- Integral substitusi

Contoh Soal Integral Parsial Kuliah

Integral Substitusi & Integral Parsial - Materi, Rumus, Contoh Soal

Contoh Soal Integral Substitusi Trigonometri 2 - YouTube
![Soal Dan Pembahasan Metode Substitusi Integral Fungsi Aljabar - [DOC Document]](https://i2.wp.com/reader021.docslide.net/reader021/html5/20170730/563db8ac550346aa9a95dcd0/bg3.png)
Soal Dan Pembahasan Metode Substitusi Integral Fungsi Aljabar - [DOC Document]

Integral Substitusi dan Integral Parsial : Pengertian, Rumus Serta Contoh Soalnya Lengkap | TutorialBahasaInggris.Co.Id

Pelajaran, Soal & Rumus Integral Substitusi Trigonometri | Wardaya College

Contoh Soal Integral Tentu, Tak Tentu, Substitusi, Parsial, Trigonometri
27+ Contoh Soal Integral Substitusi Trigonometri Kalkulus - Kumpulan Contoh Soal

√ Contoh Soal Integral Tentu, Tak tentu, & Parsial

Contoh Soal Integral Substitusi

Contoh Soal Integral Parsial 1 - YouTube

Contoh Soal Integral Berulang
Contoh Soal Integral Parsial Dan Pembahasannya - Revisi Id

Integral Substitusi (Contoh) | Belajar Matematika dan Sains SMP-SMA
Menghitung Integral dengan Menggunakan Rumus Integral Parsial - Materi Lengkap Matematika
Soal Integral Substitusi Trigonometri Dan Penyelesaiannya – Mudah
![Rumus Integral Parsial, Subtitusi, Tak Tentu, dan Trigonometri [LENGKAP] …](https://i2.wp.com/saintif.com/wp-content/uploads/2020/08/image-63.png)
Rumus Integral Parsial, Subtitusi, Tak Tentu, dan Trigonometri [LENGKAP] …

√ Integral: Integral Tentu, Tak Tentu, Substitusi, Parsial, Trigonometri, Soal

Pelajaran, Soal & Rumus Integral Substitusi Trigonometri | Wardaya College

Rumus Integral Substitusi dan Rumus Integral Parsial | idschool

Contoh Soal Integral Metode Substitusi

Contoh Soal dan Pembahasan Integral dengan substitusi aljabar - Primalangga
Soal Dan Jawaban Integral Substitusi Trigonometri - Kumpulan Contoh Surat dan Soal Terlengkap

Soal dan Pembahasan - Teknik Substitusi Trigonometri pada Integral - Mathcyber1997

Kumpulan Contoh Soal Integral Dan Pembahasannya | Guru Belajarku

Integral Parsial - Belajar

Integral Tak Tentu : Rumus Dasar, Contoh Soal, Pengertian
Soal Dan Pembahasan Integral Substitusi Trigonometri

Penyelesaian Integral Substitusi dan Integral Parsial - Ilmu Hitung

Contoh Soal Integral Parsial Dan Pembahasannya Pdf

Contoh Soal Integral Substitusi Trigonometri

Contoh Soal Dan Pembahasan Integral Substitusi Bentuk Akar - Kumpulan Contoh Surat dan Soal Terlengkap

Integral Substitusi

Teknik Integral: Substitusi Trigonometri | Pendidikan Matematika | Laman 3

Contoh Soal Integral Substitusi

10 Contoh Soal Integral Tak Tentu
![]()
Top PDF 03 Menghitung Integral dengan Aturan Substitusi - 123dok.com
Integral Tentu: Contoh Soal dan Pambahasan

Soal dan Pembahasan - Integral dengan Metode Substitusi Aljabar dan Trigonometri - Mathcyber1997

Contoh soal integral substitusi fungsi aljabar - Brainly.co.id

Contoh Soal Integral

Contoh Soal Integral Substitusi Terlengkap | Edumatik.Net

Pengertian dan Rumus Integral Parsial Beserta Contohnya | Materi Pelajaran

Integral Trigonometri UN Matematika SMA – Matematika Study Center

Soal dan Pembahasan Integral Metode Substitusi Trigonometri (1-3) | Istana Mengajar

Kumpulan Soal Un Matematika Sma Integral
24+ Contoh Soal Integral Fisika - Kumpulan Contoh Soal
Contoh Soal Integral Substitusi | PDF

Integral Tak Tentu : Pengertian, Rumus, Sifat dan Cont

Teknik Integral Substitusi Fungsi Trigonometri

Tentukan integral tersebut menggunakan metode substitusi! - Brainly.co.id

Pelajaran, Soal & Rumus Integral Parsial | Wardaya College
Integral Tak Tentu dari Fungsi Trigonometri - Materi Lengkap Matematika

Soal dan Pembahasan - Teknik Substitusi Trigonometri pada Integral - Mathcyber1997

Contoh Soal Dan Pembahasan Integral Trigonometri

Contoh Soal Dan Pembahasan Integral

Integral Trigonometri - Rumus, Integral Cos, Soal & Pembahasan

√ Integral (Pengertian, Rumus, Parsial, Subtitusi, Tak Tentu)
![]()
Contoh Soal Integral Parsial

Pengertian Rumus Integral Tentu dan Tak Tentu + Contoh Soal

Contoh Soal Integral Fungsi Pecahan

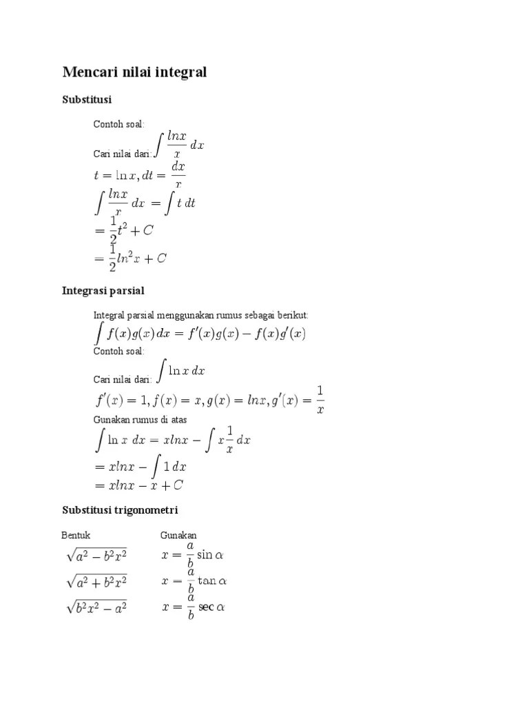
RUMUS-RUMUS INTEGRAL KALKULUS II 1.1 Definisi Integral Tak Tentu (Indefinite Integral) Jika maka y adalah fungsi yang mempunyai turunan f(x)dan disebut anti turunan (antiderivate) dari f(x) atau integral tak tentu dari f(x)yang diberi notasi …

Contoh Soal Integral Parsial

Rumus Integral Parsial Dan Contoh Soal Beserta Pembahasannya

Contoh Soal Integral Substitusi Trigonometri dengan Mudah - Matematika #12 - YouTube

Trik Cepat Memecahkan Soal Integral Aljabar Substitusi – lightsquares

Download Soal Integral Substitusi pdf - M4TH-LAB

Soal integral dan pembahasan
Integral Substitusi Dan Parsial | PDF

24+ Contoh Soal Integral Substitusi Akar - Kumpulan Contoh Soal

Contoh Soal Integral Tak Tentu