
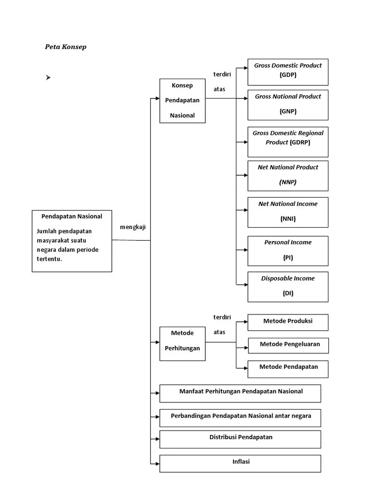
Peta konsep Pendapatan Nasional

KONSEP PENDAPATAN NASIONAL - PENDAPATAN NASIONAL (PART-1) - YouTube

7 Konsep-Konsep Dalam Pendapatan Nasional Beserta Penjelasannya Terlengkap | Edukasi Indonesia (edukasinesia.com)
Konsep Pendapatan Nasional | PDF

6 Konsep Pendapatan Nasional: Perhitungan, Faktor, Manfaat

Konsep Pendapatan Nasional Dan Cara Menghitungnya - Gramedia Literasi

7 Konsep Pendapatan Nasional (Ekonomi) | AKTIVITAS WEB

Pendapatan Nasional: GDP, GNP, NNP, NNI, PI, DI | idschool

BAB 7 PENDAPATAN NASIONAL - ppt download
![]()
Edraw Mind Map Pendapatan nasional 2

Pengertian, Konsep dan Cara Menghitung Pendapatan Nasional | Ekonomi Kelas 11

Ekonomi123.com : Definisi Pendapatan Nasional

PENDAPATAN NASIONAL DAN PERTUMBUHAN EKONOMI - ppt download

Ekonomi123.com : Perhitungan Pendapatan Nasional
Perhitungan Pendapatan Nasional | PDF
Pendapatan Nasional

√ Pengertian Pendapatan Nasional, Manfaat, Konsep, dan Pendekatannya

8 Konsep Pendapatan Nasional Serta Contoh dan Manfaatnya

Pengertian Pendapatan Nasional, Manfaat dan Perhitungan | Cekkembali

Ekonomi123.com : Pendapatan Nasional
![]()
PENDAPATAN NASIONAL. - ppt download

Kumpulan materi-pendapatan-nasional-1

Ekonomi123.com : Kemajuan Suatu Negara Tergantung Pada Pendapatan Nasional Yang Diperoleh
![]()
BAB 3 PENDAPATAN NASIONAL (1) - BAB 3 PENDAPATAN NASIONAL KOMPETENSI INTI 3 Memahami dan menerapkan pengetahuan faktual konseptual prosedural dalam ilmu | Course Hero

6 Rumus Konsep Pendapatan Nasional

Peta konsep Pendapatan Nasional
Materi Pendapatan Nasional | PDF

Konsep Pendapatan Nasional | Accounting Media

Jelaskan Pengertian Pendapatan Nasional - SEO KILAT

Konsep dan Pengertian Pendapatan Nasional yang Harus Kamu Tahu | Pratama1989

KONSEP DAN METODE PERHITUNGAN PENDAPATAN NASIONAL by nisrina ira
Kumpulan Materi Pendapatan Nasional 1 | PDF

√ Pendapatan Nasional - Ciri, Manfaat, Rumus & Konsep

Konsep - konsep Pendapatan Nasional - PorosIlmu.com
Pengertian Pendapatan Nasional dan Konsep Pendapatan Nasional serta Cara Menghitung Pendapatan Nasional

Apa saja konsep pendapatan nasional? - Ilmu Ekonomi - Dictio Community

Konsep Dari Pendapatan Tingkat Nasional

PENDAPATAN NASIONAL MATERI A B C Pengertian Pendapatan

Konsep Pendapatan nasional - Catatan Edura

Pengertian pendapatan nasional, manfaat, konsep dan cara menghitung

Mengenal Konsep Pendapatan Nasional dan Cara Menghitungnya

Pendapatan Nasional : Pengertian, Manfaat, Konsep & Rumusnya
![]()
DOC) Konsep pendapatan nasional | Aa Ismail - Academia.edu

8 Konsep Pendapatan Nasional - Ilmu Ekonomi ID

Pengertian, Konsep dan Cara Menghitung Pendapatan Nasional | Ekonomi Kelas 11
![]()
pendapatan nasional

Konsep Pendapatan Nasional dan Contoh Soal - YouTube

Definisi 8 Konsep Pendapatan Nasional

Pendapatan Nasional : Pengertian, Konsep, Manfaat, dan Faktornya - SEO KILAT

Pengertian, Konsep dan Cara Menghitung Pendapatan Nasional

Pendapatan Nasional Adalah: Pengertian, Konsep, dan Cara Menghitung

Pengertian Konsep dan Rumus Pendapatan Nasional

Ekonomi123.com : Pengertian, Konsep, Manfaat dan Perhitungan Pendapatan Nasional

KONSEP-KONSEP PENDAPATAN NASIONAL
![]()
Pengertian dan Konsep konsep Pendapatan

Rumus Pendapatan Nasional Neto (nni)

Pendapatan Nasional : Pengertian, Manfaat, Konsep, Rumus & Contoh

√ Pengertian Pendapatan Nasional : Metode dan Kmponennya | dosenpintar.com
![]()
DOC) Pengertian dan Konsep – konsep Pendapatan Nasional | Musda Nona Balagu - Academia.edu

PENDAPATAN NASIONAL : Pengertian, Rumus, Konsep, Komponen

Rangkuman Ekonomi Kelas XI Bab 1 Pendapatan Nasional ~ sekolahmuonline.com - SekolahMuOnline

Konsep konsep dalam Pendapatan Nasional GDP, GNP, NNP (Ekonomi - SBMPTN, UN, SMA) - YouTube

Konsep-Konsep Pendapatan Nasional - masrafli.com

Pendapatan Nasional, Pertumbuhan dan Struktur Ekonomi - ppt download
![CONTOH SOAL EKONOMI PENDAPATAN NASIONAL | SOAL UTBK SBMPTN 2021 DAN PEMBAHASAN [PDF]](https://i3.wp.com/1.bp.blogspot.com/-7izvsShXER0/VGyHDn1domI/AAAAAAAACKg/wwMFf-s2UIQ/s1600/Rumus%2BSoal%2BPendapatan%2BNasional.jpg)
CONTOH SOAL EKONOMI PENDAPATAN NASIONAL | SOAL UTBK SBMPTN 2021 DAN PEMBAHASAN [PDF]

Pendapatan Nasional Dihitung Dengan Menjumlahkan Setiap Nilai Tambah Proses Produksi Di Dalam Masyarakat Dari Berbagai Lapangan Usaha Suatu Negara Dalam Kurun Waktu Satu Periode Merupakan Metode Pendekatan

Pengertian Pendapatan Nasional, Konsep dan Perhitungannya - - Berita Info Publik, Keuangan Pelayanan Publik

Pendapatan Nasional | PEMBELAJARAN EKONOMI

Pendapatan Nasional adalah: Pengertian dan Konsep | Freedomsiana

Konsep Pendapatan Nasional - Student Terpelajar - Media Pembelajaran dan Informasi

Pendapatan Nasional, Konsep, Metode, Faktor, Manfaat

Pendapatan Nasional Adalah: Pengertian, Konsep, dan Cara Menghitung

8 Konsep Pendapatan Nasional Serta Contoh dan Manfaatnya in 2021 | Analisis struktur, Belajar menghitung, Jaminan sosial

Pendapatan Nasional Pokok Bahasan Pengertian Pendapatan Nasional - ppt download
Kelas XI KD 1 - SMA Syarif Hidayatullah Grati

Materi Konsep Pendapatan Nasional - YouTube

Chapter 10 – Pendapatan Nasional | Martha Fanny Web-blog

Penghitungan Pendapatan Nasional, Tiga Pendekatan » maglearning.id

Pendapatan Nasional : Pengertian, Faktor, konsep dan Manfaatnya
![]()
BAB 1.pptx - Bab 1 Konsep dan Metode Penghitungan Pendapatan Nasional A Pengertian Pendapatan Nasional B Manfaat Pendapatan Nasional C | Course Hero

Bagaimana Cara Menghitung Pendapatan Nasional | SimulasiKredit.com

Makalah Pendapatan Nasional ⋆ DOC | PDF ⋆ Download Contoh Makalah Lengkap

Pendapatan Nasional : Makalah, Rumus, Faktor, Manfaat Dan Konsep

Pendapatan Nasional - Pengertian,Rumus,Manfaat,Komponen

Pendapatan Nasional : Manfaat, Konsep dan Perhitungan …

Materi Pengertian, Manfaat, dan Konsep Pendapatan Nasional Mapel Ekonomi kelas 11 SMA/MA - Bospedia
Ukbm 3.1 4.1 Pendapatan Nasional | PDF

PERTEMUAN KEEMPAT EKONOMI INDONESIA PENDAPATAN NASIONAL PERTUMBUHAN DAN

Konsep pendapatan nasional? - Brainly.co.id

KONSEP PENDAPATAN NASIONAL BAGIAN 2 - YouTube

Pendapatan Nasional Neto Atau Net National Income Adalah

TKA Ekonomi on Twitter: “PENDAPATAN NASIONAL… "

√ Pendapatan Nasional : Pengertian, Konsep, Rumus, Perhitungan - berbagi jawaban 5

Pengertian Pendapatan Nasional Beserta Tujuan dan Manfaat

Pendapatan Nasional - Pengertian, Rumus, Manfaat Perhitungan

PPT - Pendapatan Nasional /National Income PowerPoint Presentation, free download - ID:4684201

E-modul Pendapatan Nasional

PERTEMUAN KE-2 PENDAPATAN NASIONAL - ppt download

KONSEP PENDAPATAN NASIONAL (MATERI) - DEDI SUPRANGGONO | EKONOMI
![]()
Pendapatan Nasional.docx - Pendapatan Nasional II Pendapatan Nasional 1 Pengertian Pendapatan Nasional Dalam ilmu ekonomi pendapatan nasional merupakan | Course Hero