
Soal dan Pembahasan Integral Dasar Fungsi Eksponensial (1-5) | Istana Mengajar
Farid Nur Fadillah: INTEGRAL FUNGSI EKSPONENSIAL
BELAJAR KALKULUS 2: INTEGRAL DARI FUNGSI EKSPONEN
Integral Fungsi Eksponen dan Logaritma - Materi Lengkap Matematika
23+ Contoh Soal Integral Fungsi Eksponensial - Kumpulan Contoh Soal

kaidah-kaidah integral Tak tentu – Site Title

√ Integral (Pengertian, Rumus, Parsial, Subtitusi, Tak Tentu)

Materi Integral: Pengertian, Jenis, Sifat, Contoh Soal! - Blog Belajar Online Terbaik

INTEGRAL e^x dx : Contoh Soal - YouTube
![INTEGRAL EKSPONENSIAL dan LOGARITMA - denandika .INTEGRAL EKSPONENSIAL dan LOGARITMA IKA ARFIANI,S.T - [PDF Document]](https://i1.wp.com/demo.fdokumen.com/img/378x509/reader025/reader/2021042911/5c8b36ad09d3f22c4e8ba9ac/r-2.jpg)
INTEGRAL EKSPONENSIAL dan LOGARITMA - denandika .INTEGRAL EKSPONENSIAL dan LOGARITMA IKA ARFIANI,S.T - [PDF Document]

√ Integral (Pengertian, Rumus, Parsial, Subtitusi, Tak Tentu)
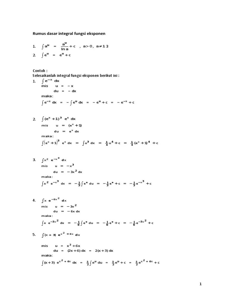
Rumus Dasar Integral Fungsi Eksponen | PDF

Rumus Integral Matematika
![]()
PDF) Aturan umum integral: Fungsi eksponen integral Fungsi trigonometri integral Fungsi turunan | Ifan Juliantino - Academia.edu
Contoh Soal Integral Fungsi Logaritma
Integral Fungsi Eksponen dan Logaritma | .

Pengepul Soal: Tabel Integral Bentuk Eksponen dan Logaritma

√ Integral (Pengertian, Rumus, Parsial, Subtitusi, Tak Tentu)

Materi Integral: Pengertian, Jenis, Sifat, Contoh Soal! - Blog Belajar Online Terbaik

Matematika Ekonomi KALKULUS INTEGRAL - ppt download

√ Integral (Pengertian, Rumus, Parsial, Subtitusi, Tak Tentu)

Luthfina Ariyani, S.T., M.Sc. - ppt download
4 Integral Eksponensial Dan Logaritma | PDF
Daftar integral dari fungsi eksponensial - Wikipedia bahasa Indonesia, ensiklopedia bebas

Integral Substitusi Fungsi Eksponen Trigonometri

Integral Fungsi Eksponen, Fungsi Trigonometri, Fungsi Matematika 1 Kegiatan Belajar 1 Integral Fungsi Eksponen Karena x

INTEGRAL Kaidah Integral Taktentu Kaidah Integral Tertentu - ppt download

Integral (I) | Learn with Alice

21++ Contoh Soal Integral Fungsi Eksponen - Kumpulan Contoh Soal

INTEGRAL TENTU EKSPONENSIAL (83) - YouTube
Contoh Integral Tentu Dengan Eksponensial | PDF

Contoh Soal Integral Eksponensial

Contoh Soal Dan Pembahasan Integral Substitusi Bentuk Akar - Kumpulan Contoh Surat dan Soal Terlengkap

All about Mathematics^^: INTEGRAL

Integral tak tentu (fungsi eksponensial dan trigonometri) - YouTube

Bilangan Euler, Metode Euler, Log, & Ln ǀ Pengertian, Hubungan, Contoh Soal, & Penerapannya dalam Fisika - Aisyah Nestria
Contoh Soal Integral Parsial
![]()
DOC) Integral fungsi aljabar | Fuad Ilhamz - Academia.edu

Integral Substitusi - Eksponensial - YouTube
1 Integral Fungsi Eksponen Dan Logaritma | PDF

Karakterisasi Khusus dari fungsi Eksponensial
![]()
Integral parsial

Contoh Soal Dan Pembahasan Integral Eksponensial - Kumpulan Contoh Surat dan Soal Terlengkap
Untuk Kebersamaan: Rumus-rumus Integral Baku

Turunan Eksponensial Berpangkat – Sekali
Apakah mungkin untuk mengintegrasikan [math]\dfrac{1}{\ln(x)}[/math]? - Quora

Lihat Contoh Soal Integral Eksponensial Terbaik - TeknoCrash

MaTek 2 Aplikasi Integral Integral Eksponensial Asli #Pertemuan 11#Matematika Teknik 2 - YouTube
Daftar Integral Dari Fungsi Eksponensial | PDF
Jawablah fungsi integral eksponensial menggunakan aturan subsitusi integral tak tentu…. - Brainly.co.id

Soal dan Pembahasan Metode Substitusi Integral Fungsi Aljabar (1-5) | Istana Mengajar
29+ Contoh Soal Integral Logaritma Natural Dan Penyelesaiannya - Kumpulan Contoh Soal

Materi Integral: Pengertian, Jenis, Sifat, Contoh Soal! - Blog Belajar Online Terbaik

Hasil Integral parsial dari x² e pangkat -x - Brainly.co.id
Integral Fungsi Eksponen Dan Logaritma
![Integral Eksponensial #1 [Integral e^2x/(e^2x+1), e^-x, 3e^3x, (e^x+1)^2*e^x, e^√x/√x, e^(1/x)/x dx] - YouTube](https://i0.wp.com/i.ytimg.com/vi/dB6jXXjwC0I/hqdefault.jpg)
Integral Eksponensial #1 [Integral e^2x/(e^2x+1), e^-x, 3e^3x, (e^x+1)^2*e^x, e^√x/√x, e^(1/x)/x dx] - YouTube
4 Integral Eksponensial Dan Logaritma | PDF
16++ Contoh Soal Integral Eksponen - Kumpulan Contoh Soal

Integral Fungsi Logaritma & Eksponensial - YouTube

KAIDAH-KAIDAH INTEGRAL | Muhammad Nur Bily

Rumus Integral Parsial Dan Contoh Soal Beserta Pembahasannya

Integral tak tentu

carilah jawaban dari soal Teknik Integral Fungsi Eksponensial Substitusi Aljabar - Brainly.co.id

matematika itu asyik !: Rumus-rumus Integral dengan berbagai jenis penyelesaiannya

TURUNAN logaritma, eksponensial dan TRIGONOMETRI - ppt download

Integral fungsi eksponensial - YouTube

Jawablah fungsi integral eksponensial menggunakan aturan subsitusi integral tak tentu…. - Brainly.co.id
IMATH: Menyelesaikan Integral Menggunakan Cara Integral Parsial

8 FUNGSI TRANSENDEN 8 1 Fungsi Invers Misalkan
![]()
Integral Fungsi Eksponen, Fungsi Trigonometri, Fungsi Logaritma

Prof.Dr.Ir.SRI REDJEKI MT - ppt download

Integral E Pangkat X Cos X Dx

Fungsi Invers Eksponensial Logaritma dan Trigonometri 1 JENISJENIS

Contoh Soal Integral Tentu, Tak Tentu, Substitusi, Parsial

Aplikasi fungsi logaritma dan persamaan eksponen dalam penenttuan p h…

Contoh Soal Integral Parsial Kuliah
Integral Fungsi Eksponensial - Contoh Soal Pelajaran
INTEGRAL EKSPONENSIAL dan LOGARITMA
Integral dengan Batas Tak Hingga

Integral Fungsi Pecahan (Fungsi Rasional)
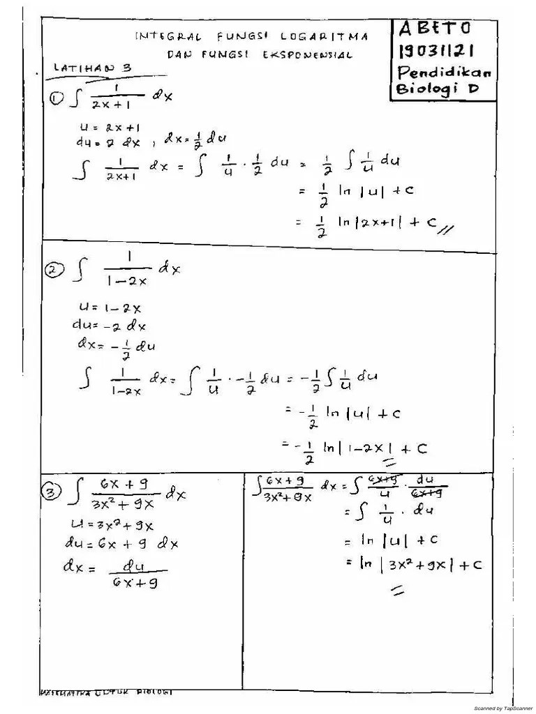
Abeto (19031121) Integral Fungsi Logaritma Dan Fungsi Eksponensial
Daftar integral dari fungsi eksponensial - Wikipedia bahasa Indonesia, ensiklopedia bebas
Integral Parsial Eksponen - Safekey

Contoh Soal Dan Pembahasan Integral Siklometri - Kumpulan Contoh Surat dan Soal Terlengkap

Teknik teknik pengintegralan

Misalkan dengan

Soal Tentukan integral dari 25. (gunakan metode integral subatitusi)
Integral dengan Batas Tak Hingga

Penentuan Integral Fungsi Eksponensial Asli dengan Cara Langsung - YouTube

PDF) Analisis Turunan dan Integral Fraksional Fungsi Pangkat Tiga dan Fungsi Eksponensial
Integral Tentu: Contoh Soal dan Pambahasan

R5 g kel 3 kal2 1

Soal Hitunglah nilai integral dari int xsqrt(x+2)dx
![]()
KALINT 7.3 FUNGSI EKSPONEN ASLI

- FUNGSI TRANSENDEN MA1114 KALKULU I. - ppt download
Jawablah fungsi integral eksponensial menggunakan aturan subsitusi integral tak tentu…. - Brainly.co.id

Materi ke - 3 2014 - Integral Fungsi Fungsi LogaritmaLogaritma dan dan Eksponen Eksponen Integra Integra
Pertemuan 2: Integral Tak Tentu (Fungsi Eksponensial dan Trigonometri)

6.3 Turunan dan Integral F Eksponensial - YouTube

Soal Tentukan hasil integral tentu berikut! b. int_(0)^(0)(1)/(sqrtx)dx