
Hasil dari Integral dari(2x+3)dx - Brainly.co.id

Nilai dari integral (2x+3)Dx adalah ? - Brainly.co.id

Hasil dari integral 2x - 3 dx adalah - Brainly.co.id
Bagaimana kita mengintegrasikan 1/ (2x-3) dx? - Quora

Hasil dari f(2x + 3)dx adalah - Brainly.co.id

Evaluate the definite integral (3x^2 - 2x + 3)dx from x=-1 to 2 - YouTube

hasil dari integral akar 2x-3 dx adalah - Brainly.co.id

Hasil dari integral 6x (2x-5)pangkat 3 dx… - YouTube

Solved Evaluate the integral 2x + 3 dx ở (x - 1)^ (a) | Chegg.com

Hasil dari integral x(1-2x)pangkat 3 dx
Berapakah integral dari (2x+3)/(x+1)dx? - Quora

Soal intsqrtx(2x-3)dx=dots

Integral dari (2x+3)dx adalah?

Ex 7.9, 14 - Direct Integrate 2x+3 / 5x2 + 1 dx from 0 to 4

Soal Hasil dari int(2x+(3)/(x^(3)))dx adalah ….

∫ (2x + 3) (x – 1) / √x dx - Mas Dayat

Hasil dari ∫ (2x-3)(3x+2)dx= - YouTube

hasil dari integral(2x+3) pangkat 2 dx adalah - Brainly.co.id

Integral tak tentu

1.integral dari akar 2x-3 dx 2.integral dari dx/akar x+2 3.integral dari x (x^2+1)^4 bantu hari senin sdh di kumpul

Soal 13. Hasil dari integral int_(0)^(2)(2x-3)dx adalah detik ben m. Jarak selama

Tentukan integral tak tentu: ∫ (x+ 1) √(x2 + 2x + 3) dx - Mas Dayat

Hasil dari ∫(2x-3)² dx adalah….. - Brainly.co.id

Integral tak tentu

2x(x^2 + 3)^4 dx, Evaluate the indefinite integral. - YouTube

Nilai a yang memenuhi a integral 1 (2x+3)dx=6 adalah? mohon diselesaikan permasalahan yg ribet ini dong hehe

INTEGRAL INTEGRAL TAK TENTU INTEGRAL TERTENTU. - ppt download
Bagaimana cara menghitung integral dari batas atas 3 batas bawah 1 (2x^2+1) (3-x) dx? - Quora

Evaluate: int_0^1 1/(2x-3)dx

Solved Compute integral (2x - 3)(x^2 + 5) dx integral | Chegg.com

Soal int(x^(2)-3x+2)^(2)(2x-3)dx

Ex 7.2, 21 - Integrate tan2 (2x - 3) - Class 12 CBSE - Ex 7.2

tentukan integral 12X(2X-3)^3 dx - Brainly.co.id
Evaluate: ∫(2x - 3)/(x^2 - 1)(2x + 3) dx - Sarthaks eConnect | Largest Online Education Community

Cara Mudah Integral 2x^3 √x dx | Integral of 2x^3 √x dx | Belajar Integral Fungsi Aljabar - YouTube

int(x)/(2x+3)dx=

Solved Evaluate the integral 4 (2x+3)dx 2 4 J(2x-3 (2x + | Chegg.com
Evaluate the integral: ∫dx/(2x - 3) for x ∈ [0,1] - Sarthaks eConnect | Largest Online Education Community

Hasil dari integral (x² - 2x + 3) dx

Soal Hasil dari int(x-1)(2x+3)dx=cdots

Solve the following indefinite integral: / 2x + 3 dx - HomeworkLib

INTEGRAL INTEGRAL TAK TENTU INTEGRAL TERTENTU. - ppt download

Exercis Evaluate the following integrals. (x3-2X2 +3)dx on R ? | Scholr™

Integral 3 sampai 0 dari (x²-2x+3) dx? - Brainly.co.id

Ex 7.1, 15 - Integrate root x (3x^2 + 2x + 3) dx - Teachoo
How to solve the integration of {(2x+3) dx/ (3x-4) - Quora
Hasil dari ∫(2x+3)2dx adalah …
Soal-Soal Integral | PDF
Solved Partial Fractions (a) integral 5x - 3/x^2 - 2x - 3 | Chegg.com

Soal int(7)/(2x-3)dx

int cos^(2) (2x+3)dx` - YouTube
Menghitung Integral Dengan Hukum Substitusi

Soal dan Pembahasan INTEGRAL
Selesaikan integral berikut! d. ∫(6x2+2x−3)dx
Find : ∫(2x - 5)e^2x/(2x - 3)^3 dx - Sarthaks eConnect | Largest Online Education Community

Integral (2x-2)(x-3)dx=….. - Brainly.co.id

Evaluate the integrals: int (2x + 3)√(x^2 + 3x - 2)dx

Ex 7.2, 16 - Integrate e^2x+3 - Chapter 7 Class 12 - Teachoo

- Hasil (4x? – 6x² + 2x+3)dx adalah.a.x4 – 3x3 + x2 + 3x + Cb. x4 – 2.x3 + x2 + 3x +Cc. 2x4 – 3x + x2 + 3x + Cd. 2x4 -

Integral tentu batas atas 4 dan batas bawah 1 (x-1)(x²-2x-3) dx

Jika integral batas 0 dan batas a ( 2x+3)dx=4 maka nilai a= tolong

Soal int(3-2x)/((x^(2)-3x)^(10))dx
![]()
05 Menghitung Integral dengan Aturan Parsial
![Solved]: 10. Evaluate the integrals (a) (22 2x + 3)d](https://i3.wp.com/media.cheggcdn.com/study/186/18604f53-900f-47b3-8e74-239f42d5a7db/image )
Solved]: 10. Evaluate the integrals (a) (22 2x + 3)d

evaluate integral 0 to 2 abs(x 2+2x-3) dx - Maths - Integrals - 12020957 | Meritnation.com
evaluate 5x 2 18x 17 x 1 2 2x 3 dx - Mathematics - TopperLearning.com | sxk5a9ii
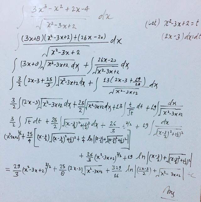
Bagaimana cara mengintegrasikan [matematika]\dfrac {3x^3-x^2+2x-4} {\sqrt {x^2-3x+2}} dx[/math] - Quora

Contoh soal kalkulus

nana on Twitter: “ni kasian a ketumpuk tumpuk https://t.co/nC1Bdv47zU" / Twitter
INTEGRAL | PDF

Integral 2x+3 / akar 2x^2+6x-3 dx , brp?

int_(0)^(a)(x^((3)/(2))+2x+3)dx

SOLVED:Evaluate the integrals. \int \cosh (2 x-3) d x

Evaluate int(dx)/((sqrt(2x+3)+sqrt(2x-3))). - YouTube
∫u3 du

Contoh contoh soal dan pembahasan integral

Contoh Soal Matematika SMA: Integral, Deret Aritmatika, Fungsi, Trigonometri - DWI PURWANTO
![]()
DOC) Integral Soal Bahas | Ali Sr. - Academia.edu

Find the Following Integrals ∫ X( 3x2 + 2x + 3) Dx - Mathematics | Shaalaa.com

4 (4) Evaluate S 3x²(2x°-3) dx. - HomeworkLib
Calculus and analytic geometry. - Evaluate: ∫ (x–1)/√(2x+3) dx S͟O͟L͟U͟T͟I͟O͟N͟: (1) We shall apply integration by change of variable. (2) Target the bracket with the root and substitute it with a variable

SOLVED:Name Course Yr. & Sec. Summative Test: Integrate the following: 1. f(x' _ Zx3 + 3x2)dx f 2x( x2_ Zx)dx 3. f vx(2x - 3) dx f(zx 3) (3x + 4)dx f( 3x2

INTEGRAL. - ppt download

Ex 7.4, 21 - Integrate x + 2 / root x^2 + 2x + 3 - Chapter
Verify that ∫2x-1/2x+3 dx = x-log |(2x+3)2|+C . - Studyrankersonline
Solved Integral by Substitution 05(x²-3x + 2)2 (2x-3) dx os | Chegg.com

Soal int(4x-1)(2x-3)dx=dots

Differentiation Of Cos^2x^3

integral tentu dengan atas 2 - 1 bawah (3x^2 - 2x + 3) dx - Brainly.co.id

Hasil dari 8x(x-3)pangkat 7 dx adalah
Tentukan nilai dari integral berikut! ∫023x2+2x−…

Evaluate: int(2x - 3)/(x^2+3x-18)dx
Evaluate ∫ x√(2x+3)dx - Sarthaks eConnect | Largest Online Education Community

Answered: Evaluate the integrals in Exercises 2.… | bartleby

Tentukan Integral (x²-3x+2)²(2x-3) dx! - YouTube

Integral de cos 3x dx by CalculoIntegral
![]()
Remidi matematika Bab Integral

- int_(-2)^(2)|2x+3|dx
Untitled