
hasil dari |5-x|= 4 adalah?? - Brainly.co.id

4/5 x 3/6 = 3/4 x 5/7 = 6 x 5/8 = 1 2/3 x 11/2 = 2 2/5 x 30 = - Brainly.co.id

jika x=-4 dan y=5,hitunglah mohon bantuan nya - Brainly.co.id

Ex 2.3, 7 - Solve x = 4/5 (x + 10) - Chapter 2 NCERT Maths - Teachoo

4/5 x 0,15 adalah … - Brainly.co.id

4x - 5| > |x + 4| - Mas Dayat

Bentuk sederhana dari |x+4|+|5-2x|-|x-2| untuk nilai x 10 adalah - YouTube

x + 5| = 4, Tentukan himpunan penyelesaiannya dengan |x| = √x2! - Mas Dayat

tentukan hasil dari | 2x - 5 | < | x + 4 | adalahtolong bantu selesaikan dengan caranya - Brainly.co.id

Kelas 2 - Matematika - Fatkulanam by Yeti Herawati - issuu

Inilah Penjelasan Mengapa 6x4 dan 4x6 Berbeda - Kompasiana.com

Soal Tentukan himpunan penyelesaian dari 26-4|5x-4|=-10!

Kelas x matematika wajib
![]()
Page 16 - MODUL 1 SMP MATEMATIKA
![]()
Rataan, Varians, dan Momen Satu Peubah Acak | mukhlish novandi - Academia.edu

RELASI DAN FUNGSI Pertemuan II Kalkulus Nina Hairiyah, S.TP., M.Si - ppt download

Kelas x matematika wajib

Ex 6.1, 15 - Solve: x/4 < (5x - 2)/3 - (7x - 3)5 NCERT - Ex 6.1

Soal Diketahui suku banyak 14-9x 11+9x habis dibagi oleh P(x)=x^(4). Nilai dari +ax^(3)+bx^(2)+

Himpunan penyelesaian dari persamaan 2(3x-2)=3(x+5) adalah - YouTube

a. 1/2 x 2/5 : 3/10 = d. 2 3/4 : 1 4/5 x 3 1/2 = b. 3/5 : 2/7 x 1/5 = e. 2 x 1 1/6 : 2 1/3 = c. 1 5/7 x 2 1/2 : 1 2/3 =

x – 4| + |x| = 8. Tentukan himpunan penyelesaiannya! - Mas Dayat

Kelas x matematika wajib

5/7 x 4 berapa hasilnya dan bagaimana caranya?? - Brainly.co.id

Himpunan penyelesaian dari persamaan 2(3x-2)=3(x+5) adalah - YouTube
![]()
5 Cara untuk Mencari Nilai X - wikiHow

Operasi Hitung Campuran Bilangan Pecahan Kelas 6 SD – Osnipa

8.3.1) soal dan pembahasan relasi fungsi, matematika sltp kelas 8
How can we solve this equation x=4/5 (x+10)? - Quora

Kunci Jawaban Matematika Kelas 5 Halaman 20 Buku Senang Belajar Matematika
Jika cos x = 4/5, maka tan x/2 sama dengan….
![]()
5 Cara untuk Mencari Nilai X - wikiHow

Hasil dari 5/8 x 4/5 ialah …. - Brainly.co.id

Soal dan Pembahasan Persamaan Lingkaran (4-5) | Istana Mengajar

Soal dan Pembahasan Persamaan Garis Lurus dan Sejajar - KoSingkat
Apabila sin x=4/5, maka nilai cos 2x adalah . . . .

Koefisien Variasi Koefisien variasi adalah perbandingan antara simpangan

- 2 4/5 x 1 1/2 =, 2. 1 2/5 x 1 1/14=, jawaban matematika kelas 5 halaman 21 - YouTube

Penyelesaian dari pertidaksamaan |3x – 4| > 5 adalah - Mas Dayat
![]()
E-Book Modul Matematika-Flip eBook Pages 1 - 50| AnyFlip | AnyFlip

Tentukan hasil perkalian dan pembagian pecahan. berikut a) 1 1/5 x 2 1/4b) 1 2/4 x 4 1/6c) 3 3/7 : 2 4/5d) 3 4/6 : 5 1/8
![Soal Diketahui matriks P=([0,-5,2x],[x-2y,1,4],[x+1,4,5]). Jika matriks P adalah matriks simetr](https://i3.wp.com/zs-inline.s3.ap-southeast-1.amazonaws.com/production/4/78/b1f5/478b1f58e9d649fdb54eb011fc3e9a47.png?efs=https%3A%2F%2Fwww.zenius.net%2Fassets%2Fv-img%2F4%2F78%2Fb1f5%2F478b1f58e9d649fdb54eb011fc3e9a47.png)
Soal Diketahui matriks P=([0,-5,2x],[x-2y,1,4],[x+1,4,5]). Jika matriks P adalah matriks simetr
Ecuaciones en N | PDF
![]()
5 Cara untuk Mencari Nilai X - wikiHow

20 x 5 off 73% - medpharmres.com

Jual Tensocrepe 4 inchi ( 10 cm x 4,5 m ) / tensocrep 4 " - BSN - 4 inci - Kota Bekasi - MITRA ALKES | Tokopedia
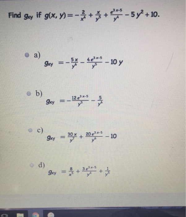
Solved Find g_xy if g(x, y) = -2/x^4+ x/y^5 + e^3x - 5/y^4 | Chegg.com

Contoh Soal Persamaan Garis Lurus dan Jawaban

Rangkuman, Contoh Soal & Pembahasan Lingkaran

Himpunan penyelesaian dari √x – 5 ≥ 4 adalah - Mas Dayat

Solve the following equations and check your results: x = 4/5(x+10) - CBSE Class 8 Maths - Learn CBSE Forum
2x-5| < |x+4| (pertidaksamaan nilai mutlak), itu gimana caranya? bantu jawab, tolong! - Brainly.co.id
Double Tape 3M VHB 24mm x 4,5 m ORIGINAL | Shopee Indonesia

Tentukan penyelesaian dari pertidaksamaan pecahan berikut 2x-5/x+4 ≥ 3

Solved Let f(x) = (x+2)^3/4 (x^2 + 3)^3/(x + 4)^5. Then d/dx | Chegg.com

Contoh Soal Persamaan Kuadrat dan Jawaban

Materi - Belajar Matematika

Hasil Penjumlahan semua penyelesaian persamaan |4-…

Kelas 4 - Matematika - Suparti by Yeti Herawati - issuu

Solve the Given Equation 2x/x-4 + 2x-5/x-3 = 25/3 - YouTube
VARIABEL ACAK DAN DISTRIBUSI PELUANG

TRIGONOMETRI. - ppt download

41+ Desain Kamar Tidur 4 X 4 PNG | SiPeti
√ Tentukan hasil dari a. 1/3 x 4/5 : 16/9 b. 2 2/3 : 4/9 x 1 6/9 - Jawab Aku

Jual @100pcs Plastik Klip Ukuran 2.5x4.5 cm Tebal / Klip TEBAL / Klip Kecil - Kota Surabaya - BSK | Tokopedia

Diketahui x1=3,5,x2=5,0,x3=6,0,x4=7,5 dan x5=8,0. Jika de…

Soal Nilai x yang memenuhi pertidaksamaan x^(2)-16>∣x- 4∣ adalah …

Rangkuman dan Soal Matematika Sifat Asosiatif Penjumlahan dan Perkalian, Materi Belajar dari Rumah SD Kelas 4 - 6 - Semua Halaman - Bobo

hasil dari 4/5 : 5/7 - 3/7 x 7/9 - Brainly.co.id

Empreuah!: SOAL DAN PEMBAHASAN : PERSAMAAN LINGKARAN (ULFA DIYANA SARI)

Himpunan penyelesaian dari pertidaksamaan |4x – 5| ≥ |x + 4| adalah - Mas Dayat
![]()
5 Cara untuk Mencari Nilai X - wikiHow

tolong jawab dengan benar-no ngasal-pake cara kalo bisa-jawab semuanya jangan setengah-kalo ga bisa - Brainly.co.id

March | 2019 | Kalkulus I

Example 38 - Evaluate integral (x4 - x)1/4 / x5 dx - Examples
STIKER LABEL CHROMO BONTAK / STICKER LABEL KEMASAN / STIKER CUTTING Murah Jakarta | Shopee Indonesia

soal nilai mutlak Nilai dari |-2|² +|-5|-3 × |-4/3…
MATEMATIKA LANJUT 2

Fraction Calculator, Kalkulator Androidnya Orang Matematika | Belajar dari Pengalaman

Teori dan Operasi Pada Himpunan - PDF Free Download

Pelajari tabel perkalian 4 kamu di tabelperkalian.com

Pecahan b. (perkalian) hal 108 esps matematika 2/7 x 1/6 = 12/7 x 2/3 = 3/6 x 11/5 = 11/4 x 4 = 9 x 2/3 = pecahan b. (pembagian) hal

Soal dan Pembahasan Persamaan Garis Lurus dan Sejajar - KoSingkat
VARIABEL ACAK DAN DISTRIBUSI PELUANG
![]()
Soal dan pembahasan suku banyak

Fungsi & Grafiknya Riri Irawati, M.Kom 3 sks. - ppt download

Penjumlahan Pecahan Biasa dan Campuran beserta Contoh - Advernesia

TRANSFORMASI LINIER 1 2 3 4 5 Pengertian

Bentuk sederhana dari |x+4|+|5-2x|-|x-2| untuk nilai x lebih besar dari 10 adalah - YouTube

Jual Tensocrepe Elastis Perban Ukuran 15 cm X 4,5 m - Kab. Tangerang - Puri Bakti | Tokopedia

PERBAN ELASTIS BANDAGE UKURAN 7,5 CM X 4,5 M | Lazada Indonesia

Soal Tentukan nilai maksimum dan minimum dari fungsi f(x)=2x^(3)-6x^(2)-48 x +5 pada interval -3

Solved Solve the equation. Check your answers. X^3 = 8 x^4 | Chegg.com
Soal Jawaban | PDF

Cara Menentukan Kelipatan Suatu Bilangan Bulat Positif - RumusHitung.Com

Matriks X berordo 2x2 yang memenuhi persamaan X.(3 2 2 1)…

cos x = cos 4/5 π untuk 0 ≤ x ≤ 2π - Mas Dayat

Pembahasan Soal Komponen Larutan Penyangga (Bufer) dan pH Campuran Larutan Penyangga - Urip dot Info

bentuk sederhana dari |x+4| + |5-2x| - |x-2| untuk nilai x > 10 adalah… - Brainly.co.id
BOX HITAM X 4 BOX PLASTIK X4 Kotak Project Elektronik | Shopee Indonesia