
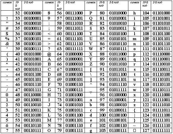
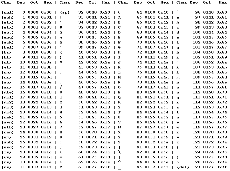
Tabel ascii terlengkap

Kode ASCII dan Tabel Simbol Binary Lengkap - Info Komputer

Daftar Kode ASCII | Komputasi | Solusi Terapan
![]()
Tabel kode ascii lengkap

Buat kembali tabel ASCII sebagai tabel ASCII
![]()
Pengertian Kode ASCII: Pengertian dan fungsi Kode ASCII
![]()
ASCII - Wikipedia bahasa Indonesia, ensiklopedia bebas

PASCAL : tentang biner, kode & karakter ascii

Kode ascii pada keyboard | puspa rizky trisnaningtyas

Sistem Komputer: Tabel ASCII 7 bit

ASCII Character encoding Nilai Tabel, tabel, sudut, furnitur png | PNGEgg

Tabel Kode ASCII – My Simple Blog

Kode Ascii Lengkap
ASCII - FAZRUL MUTTAQIN HAMZAH - UNIVERSITAS NEGERI GORONTALO

ASCII Character String Kode biner Hexadecimal, programer, sudut, teks, komputer png | PNGWing
MAKALAH CARA KERJA KOMPUTER DAN TABEL ASCII

Daftar Tabel Ascii | blog. paperplane

Kode ASCII – Wawan Laksito YS

Konversi Kode String ke ASCII di Matlab – Rahmadya Trias Handayanto

Kode Ascii Lengkap Pdf

ASCII Kode biner Pengkodean karakter String, tabel warna, sudut, putih png | PNGEgg

File Gambar dengan Nama Arduino - Tabel ASCII.png

Kode ASCII dan Penggunaannya-Endang Kurniawan

Mengenal ASCII | Another Satria’s Project

Pengertian ASCII Dan Tabel Kode ASCII ilianneil | Peatix
Ascii Table | PDF
Apa itu kode ASCII, di mana digunakan, dan mengapa? - Quora

Detail Pengertian Ascii Dan Tabel Kode Ascii Ilianneil Peatix

Jenis Penyandian OSI BCD Binary Decode Desimal Dalam

Three-Pass Protocol Process Scheme based on ASCII table Source:… | Download Scientific Diagram

Formula excel untuk ascii code | Komputer SEO

Enkripsi dan Deskripsi XOR Chiper Untuk Mengatasi 256 Karakter ASCII - Kita Informatika

Dasar Kriptografi

jelaskan hasil penyandian kode ASCII dari keyword berikut A.pemrograman pascal B.SMK BISA - Brainly.co.id
Bagaimana cara menulis nama lengkap di ASCII menggunakan kode 8-bit dengan bit paling kiri selalu 0 - Quora

Tabel ASCII Code | Komputer SEO

Dasar Tabel ASCII | Belajar dan Berusaha
![]()
Tabel ascii
Tabel Karakter Ascii | PDF

Break The Code | ICT Learning

cppwarriors

Tabel Kode Ascii 7 Bit
![]()
Nilai Heksadesimal Karakter ASCII, Kode Ar, sudut, mebel png | PNGEgg

Algoritma Elgamal Manajemen Jaringan Komputer Topik Pengamanan Jaringan

File:Ascii-codes-table.png - Wikimedia Commons

Tabel ASCII

DES (Data Encryption Standard) - ppt download

ASCII – Felix Sanjaya
![]()
LG tabel ASCII - Lampiran G 1/2 ALGORITMA dan STRUKTUR DATA Bahasa C Tabel ASCII No Karakter No Karakter No Karakter No Karakter 0 1 2 3 4 5 6 7 8 9 | Course Hero
![]()
Ascii Table PNG Images, Ascii Table Clipart Free Download
Rumus CHAR Di Excel Untuk Menampilkan Symbol Atau Karakter - Adhe-Pradiptha
Apa perbedaan antara ASCII dan ASCII yang diperluas? - Quora

PPT - BILANGAN BINER dan TABEL ASCII For Class X PowerPoint Presentation - ID:3243666

File:ASCII-7 table.gif - Wikimedia Commons

Operasi string strcmp - Forum Sekolah Koding

Konversi Kode String ke ASCII di Matlab – Rahmadya Trias Handayanto

8 Working ideas

tabel ascii | Yohanes Nugroho | Flickr

karakter ASCII code 39 - Kios Barcode
![]()
Bab6b Rangkaian Aritmetika 2

ASCII Table, ASCII Code, ASCII Chart, ASCII Charset | AsciiTable.xyz
Tabel Kode Ascii Lengkap | PDF

Tutorial Microsoft Office: Membuat tabel ASCII di excel 2010 menggunakan fungsi text
ASCII/character table - Libraries - Arduino Forum

Official Site of Rini Arianty SKom., MMSi - Gunadarma University
KODE BILANGAN

7 Bit Ascii ~ 35+ images ppt, k ascii code, what is a 7

Tabel Kode Ascii

💾 Howto: Apakah Karakter Encode Seperti ANSI dan Unicode, dan Bagaimana Mereka Berbeda? 📀

Tabella ASCII APK Unduh untuk Windows - Versi terbaru 1.0

Belajar Pemrograman Dasar C / C++ #12 Menggunakan Tabel ASCII di C - YouTube

Print ASCII characters on LCD 16×2 using Arduino

Kode Ascii 7 Bit

The Complete ASCII to Binary Conversion Table (+ PDF File)

ASCII Code .ASCII Code Table Character Hex … 256 512 1024 2048 4096 8192 16384 32768 SIZE

Gun Gunawan Ismatullah Zamroni Rusmandi Effendy Sistem Sandi
![]()
ASCII merupakan kepanjangan dari | stella marinka - Academia.edu
Apakah ada cara untuk menemukan nilai ascii dari suatu angka? - Quora

By : Diantika Arifianti, S.T - ppt download
![]()
PERANCANGAN APLIKASI KRIPTOGRAFI BERBASIS WEB DENGAN ALGORITMA DOUBLE CAESAR CIPHER MENGGUNAKAN TABEL ASCII
![TABEL ASCII - [PDF Document]](https://i3.wp.com/reader018.staticloud.net/reader018/html5/20191104/5571fd274979599169988a75/bg1.png)
TABEL ASCII - [PDF Document]

ASCII Chart – CommFront

Darimana asal mojibakes? Panduan Cerdas untuk Pengkodean

ASCII code tabel: ontdek wat het is en hoe ASCII code werkt

3 Cara Algoritma Konversi Biner Ke ASCII Dengan Javascript - Kopi Coding

ASCII/character table - Libraries - Arduino Forum

PPT - SUPLEMEN MASA DEPAN PowerPoint Presentation, free download - ID:6381498

Pengertian Kode ASCII Dan Cara Menggunakannya Lengkap

Tabel ascii

Tabel ASCII – Informasi Teknologi dan sekitar

Perbedaan Antara ASCII dan Unicode - Perbedaan Antara - 2021

Tabel ASCII

QWARTS BLOG: LAPORAN PRAKTIKUM II KODE ASCII (American Standard Code for Information Interchange)

ASCII Code 114
Darmadi Tugas 18 Juli 2013 | PDF
DAFTAR TABEL

Pengenalan Kriptografi Modern Original By Krisna Juliharta lembertobaggioyahoo
Program Konversi Kalimat Pascal | Source Code Aplikasi
![]()
IMPLEMENTASI PENGAMANAN DATA MENGGUNAKAN ENKRIPSI CAESAR CIPHER DENGAN KOMBINASI TABEL ASCII

Kode Ascii 7 Bit Lengkap