
29++ Contoh Soal Turunan Parsial Dan Penyelesaiannya - Kumpulan Contoh Soal

18++ Contoh Soal Turunan Parsial Pertama - Kumpulan Contoh Soal

Soal Turunan Parsial Dan Jawabannya

TURUNAN PARSIAL MATERI KALKULUS I. - ppt download

Turunan Parsial 3 Variabel

Turunan Parsial – Aninpranidhana

Fisika Matematika : Contoh Soal Diferensial/ Turunan Parsial (1) - YouTube

Fisika Matematika : Contoh Soal Diferensial/ Turunan Parsial (2) - YouTube

Turunan Parsial – Aninpranidhana

Turunan Parsial – Aninpranidhana

20++ Contoh Soal Turunan Parsial - Kumpulan Contoh Soal

TURUNAN PARSIAL dan TURUNAN PARSIAL ORDO TINGGI - ppt download

PPT - TURUNAN PARSIAL PowerPoint Presentation, free download - ID:5568637
Kalkulus Turunan Parsial | PDF

Turuna parsial fungsi dua peubah atau lebih
TURUNAN PARSIAL
Kalkulus - Turunan Parsial | PDF

Soal dan Pembahasan Turunan Fungsi Implisit (1-5) | Istana Mengajar
TEKNIK INDUSTRI: Kalkulus 3 (Turunan Parsial)
![]()
DOC) KALKULUS IV TURUNAN PARSIAL ORDE TINGGI | fikri muhamad - Academia.edu

Turunan Fungsi Parsial - ppt download
![]()
Turuna parsial fungsi dua peubah atau lebih

Turunan Parsial – Aninpranidhana

Persamaan Differensial beserta soal dan pembahasan Lengkap | KEDAI MIPA
TURUNAN PARSIAL

28+ Contoh Soal Aplikasi Turunan Parsial
Turunan Parsial | PDF
Contoh Soal Dan Jawaban Turunan Parsial

Kalkulus turunan parsial - Belajar

Fisika Matematika : Contoh soal diferensial/ turunan parsial (3) - YouTube

tolong bantuin jawab dongtentukan sampai dg derivatif parsial kedua untuk - Brainly.co.id

Turuna parsial fungsi dua peubah atau lebih

Modul ke: MATEMATIKA 1 DERIVATIF PARSIAL. Fakultas TEKNIK IMELDA ULI VISTALINA SIMANJUNTAK,S.T.,M.T. Program Studi TEKNIK ELEKTRO - PDF Free Download

Contoh Soal Dan Jawaban Matematika Ekonomi Diferensial - Kumpulan Contoh Surat dan Soal Terlengkap
TURUNAN PARSIAL
Soal Dan Jawaban Integral Substitusi Trigonometri - Kumpulan Contoh Surat dan Soal Terlengkap

Contoh Soal Dan Jawaban Turunan Parsial

Turunan Dari Fungsi Konstanta Adalah Brainly

akhmad saifuddin 12312022 bab 4 turunan parsial by Akhmad Saifuddin - issuu
![]()
Contoh Soal Diferensial Parsial – Kami

Contoh Turunan Implisit - YouTube
Contoh Soal Turunan Fungsi Parsial

Soal 2. Carilah turunan parsial pertama dari fungsi Y=X1 ‘+ 2XI X2+5X2^(2)-2x

Turuna parsial fungsi dua peubah atau lebih
TURUNAN PARSIAL

Turunan (diferensial) – Math is My Life

y=(x,y)=4x2-6x2z+3xz2+5 tentukan diferensial parsial dan diferensial total - Brainly.co.id
![Contoh Soal Aplikasi Turunan (Diferensial) dan Jawaban [+Pembahasan]](https://i1.wp.com/soalkimia.com/wp-content/uploads/2020/05/Soal-Aplikasi-Turunan-Diferensial-min.jpg)
Contoh Soal Aplikasi Turunan (Diferensial) dan Jawaban [+Pembahasan]
![]()
DOC) Turunan Berarah | Salim Kurni - Academia.edu

Kalkulus turunan parsial - Belajar

Turunan Fungsi Parsial - ppt download

Turunan Parsial – Aninpranidhana

Kalkulus | Fungsi Dua Peubah (Part 6) - Turunan Parsial Kedua - YouTube
Turunan Parsial | PDF

√ Turunan (Pengertian, Macam, Rumus, & Contoh Soal)
Contoh Soal Turunan Implisit Beserta Jawabannya

√ Turunan Fungsi Aljabar: Turunan Dasar, Rumus, Soal, Pembahasan

Diferensial Parsial

Soal dan pembahasan turunan/Diferensial Hots. Turunan bentuk logaritma, bentuk ln dan epsilon - YouTube

Contoh Soal Turunan Parsial Dan Penyelesaiannya - Contoh Soal Terbaru
turunan parsial pertama dan kedua dari fungsi f(x,y)=1/(x^2+y^2) - Brainly.co.id
TURUNAN PARSIAL

Contoh Soal Dan Pembahasan Limit Turunan Trigonometri - Kumpulan Contoh Surat dan Soal Terlengkap

Contoh Soal Turunan Fungsi Ppt

Soal dan Penyelesaian Turunan Fungsi part 1 - YouTube
13+ Soal turunan parsial dan jawabannya ideas in 2021 | Huse ID
Contoh Soal Turunan Parsial Dan Penyelesaiannya - Bakti Soal
Latihan Soal dan Pembahasan Turunan Fungsi Peubah Banyak Bagian 2
Contoh Soal Dan Jawaban Di Mata Kuliah Kalkulus - Kemendikbud

Rumus Dan Contoh Soal Turunan Fungsi Trigonometri Lengkap

Contoh Soal dan Pembahasan Titik Stasioner Beserta Fungsinya

TURUNAN PARSIAL

Soal Tentukan turunan kedua untuk setiap fungsi berikut pada x yang diketahui. f(x)=sec x pada

Modul ke: MATEMATIKA 1 DERIVATIF PARSIAL. Fakultas TEKNIK IMELDA ULI VISTALINA SIMANJUNTAK,S.T.,M.T. Program Studi TEKNIK ELEKTRO - PDF Free Download

Bantu jawab soal turunan parsial : 1. Z = ln ✓ x + y 2. Z = 36 - x² - y² 3. Z = xy² -2x² + 3y
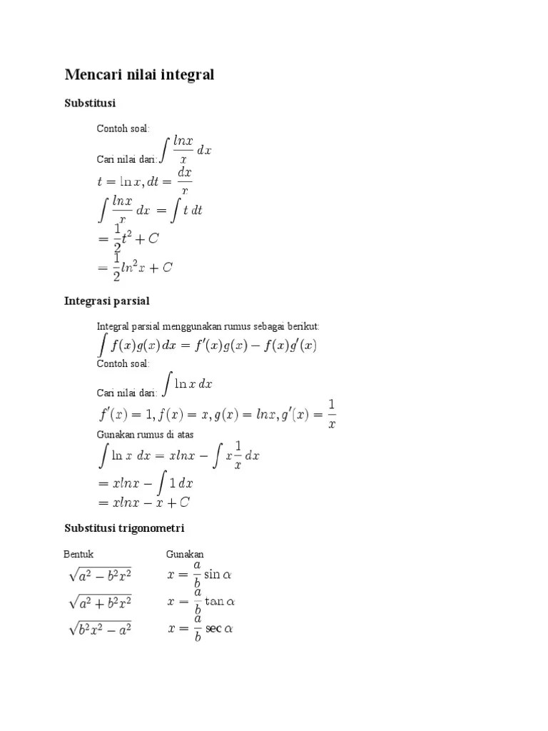
Rangkuman, Contoh Soal dan Pembahasan Integral Parsial [SMA Kelas 12]
ANALISIS KESALAHAN MAHASISWA DALAM MENYELESAIKAN SOAL KALKULUS LANJUT DENGAN EKA’S ERROR ANALYSIS
Latihan Soal dan Pembahasan Turunan Fungsi Peubah Banyak Bagian 2

Rangkuman, Contoh Soal & Pembahasan Turunan

jawaban soal integral parsial nomor 2 - RumusHitung.Com

Turunan Parsial – Aninpranidhana
ANALISIS KESALAHAN MAHASISWA DALAM MENYELESAIKAN SOAL KALKULUS PEUBAH BANYAK THE ANALYSIS OF STUDENTS’ ERRORS IN ANSWERING MU
ANALISIS KESALAHAN MAHASISWA DALAM MENYELESAIKAN SOAL KALKULUS LANJUT DENGAN EKA’S ERROR ANALYSIS

Mohon bantuan Materi turunan parsial tingkat tinggi - Brainly.co.id
![TURUNAN PARSIAL - ishaq.staff. Turunan Parsial • Misalkan z = f(x,y) fungsi 2 variabel - [PDF Document]](https://i0.wp.com/demo.fdokumen.com/img/378x509/reader025/reader/2021042923/5c88808509d3f2bb368bc034/r-2.jpg)
TURUNAN PARSIAL - ishaq.staff. Turunan Parsial • Misalkan z = f(x,y) fungsi 2 variabel - [PDF Document]

Contoh Soal Turunan Fungsi Matematika Ekonomi

Soal intx^(2)*e^(x)dx

PENERAPAN TURUNAN PARSIAL DI BIDANG EKONOMI | edscyclopedia.com
ANALISIS KESALAHAN REPRESENTASI SIMBOLIK MAHASISWA DALAM MENYELESAIKAN SOAL HIGH ORDER THINKING SKILL Anggiana Putri Aliyanti ,

Kumpulan Contoh Soal Integral Dan Pembahasannya | Guru Belajarku

Contoh Soal Integral Tentu, Tak Tentu, Substitusi, Parsial

Contoh Soal Integral Parsial Kuliah

Contoh Soal Dan Jawabannya Integral Tentu
ANALISIS KESALAHAN REPRESENTASI SIMBOLIK MAHASISWA DALAM MENYELESAIKAN SOAL HIGH ORDER THINKING SKILL Anggiana Putri Aliyanti ,

Persamaan Diferensial Parsial Dengan Menggunakan Matlab

Contoh Soal Integral Tentu, Tak Tentu, Substitusi, Parsial, Trigonometri
TURUNAN PARSIAL

Kumpulan Contoh Soal Limit dan Pembahasannya | Guru Belajarku

Jika z=arc tg x/y , buktikan (∂^2 z)/∂x∂y=(∂^2 z)/∂y∂x Jika z=ln〖(x-a)^2 〗+(x-b)^(2 )tujukan - Brainly.co.id

√ Contoh Soal Integral Tentu, Tak tentu, & Parsial