
Menentukan Rumus Konstanta Kesetimbangan (Kc) - YouTube

Menentukan Rumus Konstanta Kesetimbangan (Kc) - YouTube

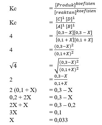
Contoh soal tetapan kesetimbangan Kc dan penyelesaiannya – Soalfismat.com

Kesetimbangan Kimia - Pengertian, Rumus Kp & Kc, Faktor, Contoh Soal
Contoh Soal dan Pembahasan Tetapan Kesetimbangan Kimia (Kc) - masyog.com

Istilah dalam Kesetimbangan Kimia

Kesetimbangan Kimia Yeni Purwati

Kesetimbangan Kimia - Pengertian, Rumus Kp & Kc, Faktor, Contoh Soal

Tuliskan bentuk rumus tetapan kesetimbangan Kc pada reaksi berikut! a. C(s) + CO2(g) ⇌ 2CO(g) - Mas Dayat

KESETIMBANGAN KIMIA Kesetimbangan Dinamik dalam Sistem Kimia - ppt download

Turunan rumus antara kesetimbangan kimia Kp dan Kc apa? tolong bantu jawab ya.. - Brainly.co.id

Catatan Penting dalam Penentuan Kc (Tetapan Kesetimbangan Kimia) | Blog Urip Guru Kimia

Menghitung Reaksi Kesetimbangan dengan Tetapan Kc

kesetimbangan (Kc) - contoh soal- Kimia SMA - YouTube

Hubungan antara Harga Kc dengan Kp, Tetapan Kesetimbangan Kimia, Parsial Gas, Contoh Soal, Pembahasan

KESETIMBANGAN KIMIA SMA NEGERI 1 BANGKALAN. - ppt download

Hubungan Tetapan Kesetimbangan Kc dan Kp Halaman all - Kompas.com

KESETIMBANGA N KIMIA Ditinjau dari arahnya reaksi kimia
Contoh Soal dan Pembahasan Kesetimbangan ~ Chemistry is Fun

Tetapan Kesetimbangan | rini oktavia
Tutorial Menjawab Soal Tentang Menghitung Konstanta Kesetimbangan (Kc dan Kp) - Your Chemistry A+

Cara Menghitung Tetapan Kesetimbangan Konsentrasi (Kc) - AmruID

Tuliskan rumus tetapan kesetimbangan (Kc) pada reaksi berikut! a. Fe2O3(s) + CO(g) - Mas Dayat

Konstanta Kesetimbangan - Rumus, Soal dan Jawaban - PINTERPandai

Cara menghitung Tetapan Kesetimbangan Konsentrasi Kc dan Kesetimbangan Parsial Kp - myrightspot.com

Rangkuman Materi & 44 Contoh Soal Reaksi Kesetimbangan Dan Pembahasannya

Kesetimbangan Kimia: Jenis-jenis, Reaksi, dan Tetapan | Kimia Kelas 11

Contoh Soal dan Rumus Derajat Disosiasi, Kesetimbangan Kimia, Reaksi, Pembahasan

HUKUM TETAPAN KESETIMBANGAN KONSENTRASI - ppt download

Cara Menentukan Kc dan Kp : 30 Contoh Soal dan Pembahasanya - Panduan Kimia + Riset

√ Kesetimbangan Kimia (Pengertian, Rumus, & Soal)

Tentukan rumus tetapan kesetimbangan reaksi berikut! a. 2SO3(g) ⇌ 2SO2(g) + O2(g) - Mas Dayat

Kc dan Kp - ekimia.web.id

Kesetimbangan Kimia - Pengertian, Faktor, Hukum Rumus & Contoh

Tentukan rumus tetapan kesetimbangan Kc untuk reaksi berikut

Pengertian Kesetimbangan Kimia: Konsep Dasar, Faktor Dan Contoh Soal - Gramedia Literasi

Tuliskan rumus tetapan kesetimbangan konsentrasi untuk reaksi berikut! Tolong dibantuin ya.. - Brainly.co.id

Tetapan Kesetimbangan Kimia, Bunyi Hukum Kesetimbangan, Rumus, Kc, Contoh Soal, Pembahasan

Cara Menentukan Satuan Kc dan Kp - Urip dot Info

Cara mudah mencari konsentrasi dari Kc pada reaksi kesetimbangan - soal - kimia SMA - YouTube
chemistry: KESETIMBANGAN KIMIA

KESETIMBANGAN KIMIA. - ppt download

KESETIMBANGAN KIMIA SMA NEGERI 1 BANGKALAN STANDAR KOMPETENSI

Bab 4 Kesetimbangan | Bisa Kimia
Soal Fisika Print Kesetimbangan | PDF

Kesetimbangan Kimia : Pengertian, Ciri, Tetapan, Perhitungan
Kesetimbangan Kimia - Tanya MIPI

Tuliskan rumus hukum kesetimbangan (K) untuk reaksi berikut: a. PCl5(g) ↔ PCl3(g) + Cl2(g) b. 2SO3(g) + 2Cl2(g) ↔ 2SO2Cl2(g) + O2(g) c. CO(g) + 2H2(g) ↔ CH3OH(g) d. Cu2+(aq) + Zn(s)

KESETIMBANGAN KIMIA Indriana Lestari Ditinjau dari arahnya reaksi

Soal 11-20 Cara Mencari Kc dan Kp - Panduan Kimia + Riset

Tolong dibantu besok udh dikumpul T,T 1. Tuliskan rumus tetapan kesetimbangan Kc Dan Kp (bila Ada) - Brainly.co.id

HUBUNGAN KP , KC dan KX Dari persamaan umum : Gr = G0 + RT ln K - ppt download

Hubungan dan Jenis-jenis Tetapan Kesetimbangan Kimia - Urip dot Info

Menghitung Kp Jika Diketahui Kc dan Suhu - YouTube
7 Contoh Soal dan Pembahasan Tetapan Kesetimbangan dalam Tekanan Parsial (Kp) - masyog.com

Rumus Kesetimbangan ~ 35+ images tuliskan bentuk rumus tetapan kesetimbangan kc pada reaksi, harga kp pada suhu 500c untuk reaksi n2 g 3h2 g, suhu dan termometer fisika sekolah

Kesetimbangan kimia2

Hubungan Tetapan Kesetimbangan Kc dan Kp Halaman all - Kompas.com
![60+ Soal Kesetimbangan Kimia Pilihan Ganda & Jawaban [+Pembahasan]](https://i3.wp.com/soalkimia.com/wp-content/uploads/2017/05/Kesetimbangan-Kimia-No2.jpg)
60+ Soal Kesetimbangan Kimia Pilihan Ganda & Jawaban [+Pembahasan]
Kesetimbangan Kimia 2

Konsep Kimia (KoKim)
![]()
7 Diketahui rumus suku kC… | Lihat cara penyelesaian di QANDA

Rumus tetapan keseimbangan (Kc) untuk reaksi : N2(g) + 3H2(g) reaksi bolak balik 2NH3(g) adalah - Brainly.co.id

Kesetimbangan Kimia: Jenis-jenis, Reaksi, dan Tetapan | Kimia Kelas 11

Persamaan reaksi kesetimbangan berikut yang mempunyai rum…

Kesetimbangan Kimia : Pengertian, Hukum, Rumus, Contoh Soal

Kesetimbangan Kimia
Kesetimbangan Kimia - Tanya MIPI

Silakan kamu kamu buat soal tentang kesetimbangan kimia… Sebanyak 8 soal dan jawabanya…Dengan rincian soal 1.Mencari rumus kc

Cara Menghitung Tetapan Kesetimbangan Konsentrasi (Kc) - AmruID

Cara mudah mencari Kp pada reaksi kesetimbangan - soal - kimia SMA - YouTube

Tutorial Menjawab Soal Bab Kesetimbangan Kimia Part 1 - Your Chemistry A+

Reaksi kesetimbangan PCl5(g) ⇌ PCl3(g) + Cl2(g). Bila harga Kc pada suhu 191°C adalah 3,26 - Mas Dayat
LBB Immanuel - Kesetimbangan Kimia - Kimia Kelas 11 - Pembahasan Soal Bagian 3 | Facebook

PPT - BAB 6 KESETIMBANGAN KIMIA PowerPoint Presentation, free download - ID:4559043

Contoh soal dan pembahasan kesetimbangan kimia

Makna Nilai K pada Kesetimbangan Kimia - Urip dot Info
![]()
ux7 2timesx timestimes | Lihat cara penyelesaian di QANDA

Laporan Praktikum Kesetimbangan Kimia dan Teorinya PDF

Kesetimbangan Kimia Tim Dosen Kimia Dasar FTP Pengertian

Pengertian Kesetimbangan Kimia – rumus, faktor, konstanta | Coretan Bintang naisya – www.sridianti.com

19++ Contoh Soal Qc Dan Kc - Kumpulan Contoh Soal

Reaksi kesetimbangan H2 (g) + I2 (g) ⇄ 2HI (g) mempunyai harga tetapan keseimbangan (Kc) sebesar - Brainly.co.id
![]()
Ada rumus hubungan antara Kc dan Kp, yaitu: KP=KC…

Jenis Jenis Hubungan Kuantitatif Antara Pereaksi dan Hasil Reaksi | Pelajaran Sekolah Online
![Kelarutan dan Ksp - [PPT Powerpoint]](https://i3.wp.com/reader024.cupdf.com/reader024/reader/2021021406/54a19864ac7959b6578b464a/r-3.jpg)
Kelarutan dan Ksp - [PPT Powerpoint]
Kesetimbangan Kimia - Tanya MIPI

Kesetimbangan Kimia - Pengertian, Rumus Kp & Kc, Faktor, Contoh Soal

Tren Gaya 29+ Rumus KP

PRINSIP – PRINSIP KESETIMBANGAN KIMIA - ppt download

- kesetimbangan kimia
- Tuliskan rumus Kc dan Kp untuk reaksi berikut : A. Ca(HCO ) CaCO + CO + H O B. CaCO CaO + CO
![7.2. Contoh Soal Kesetimbangan - [PDF Document]](https://i3.wp.com/demo.fdokumen.com/img/378x509/reader024/reader/2021022117/5695d1a91a28ab9b029769b8/r-1.jpg)
7.2. Contoh Soal Kesetimbangan - [PDF Document]

Menghitung Reaksi Kesetimbangan Tetapan Kp

Soal 21-30 Cara Mencari Kc dan Kp - Panduan Kimia + Riset

KESETIMBANGAN KIMIA | ekasovia
![]()
Tentukan rumus suku kc-n … | Lihat cara penyelesaian di QANDA

Karena volumnya adalah satu liter, maka konsentrasinya tinggal masukkan molnya masingmasing. - PDF Download Gratis

PREDIKSI HK 31 MEI 2021 | BOCORAN TOGEL HONGKONG MALAM
![Jika rumus Kc dari kesetimbangan diketahui sebagai berikut: Kc = [SO3]²/[SO2]²[O2]. Persamaan kimia untuk reaksi dari kesetimbangan](https://i2.wp.com/studyassistant-id.com/tpl/images/3966/4703/c23d7.jpg)
Jika rumus Kc dari kesetimbangan diketahui sebagai berikut: Kc = [SO3]²/[SO2]²[O2]. Persamaan kimia untuk reaksi dari kesetimbangan