
PRINSIP SANITASI, HYGIENE DAN K3 - ppt download
![]()
Prinsip Sanitasi Hygiene Dan Keselamatan Kerja – Kami

PENERAPAN KESELAMATAN, KESEHATAN KERJA (K3) HYGIENE SANITASI - ppt download

PRINSIP SANITASI, HYGIENE DAN K3 - ppt download
![]()
Prinsip Sanitasi Hygiene Dan Keselamatan Kerja – Kami
Sanitasi Dan Hygiene | PDF

Prinsip Sanitasi Hygiene Dan Keselamatan Kerja – Kami

Prinsip Sanitasi Hygiene Dan Keselamatan Kerja – Kami
![]()
Prinsip Sanitasi Hygiene Dan Keselamatan Kerja – Kami

PRINSIP SANITASI, HYGIENE DAN K3 - ppt download

Modul pembelajaran sanitasi, hygiene dan keselamatan kerja anisa utami by Fatchurrozzy - issuu
![]()
Kelas 10 SMK Sanitasi Hygiene dan Keselamatan Kerja Bidang Makanan 2
![]()
PDF) MODUL SANITASI HYGIENE DAN KESELAMATAN KERJA SMK X TATA BOGA KURIKULUM 2013 | Asti Wulandari - Academia.edu
![]()
Prinsip Sanitasi Hygiene Dan Keselamatan Kerja – Kami

Profil SANITASI, HYGIENE DAN KESELAMATAN KERJA
![]()
Kelas 10 SMK Sanitasi Hygiene dan Keselamatan Kerja Bidang Makanan 2

Ruang Lingkup Sanitasi Hygiene Dan Keselamatan Kerja - Berbagai Ruang
![]()
PRINSIP SANITASI, HYGIENE DAN K3 - ppt download
![]()
Pengertian Hygiene Dan Sanitasi

Hygiene Dan Sanitasi -Pengertian, Ruang Lingkup, Prinsip & Contoh
Silabus Sanitasi, Hygiene Dan Keselamatan Kerja | PDF

Higiene dan sanitasi

Prinsip Sanitasi Hygiene Dan Keselamatan Kerja – Kami

Jual On Sale Buku Sanitasi Hygiene Dan K3 Kesehatan & Keselamatan Kerja di Lapak Devyanti Devyanti | Bukalapak

Sanitasi, Hygiene, dan Keselamatan Kerja: Sri Rejeki - Belbuk.com

Hygiene Dan Sanitasi -Pengertian, Ruang Lingkup, Prinsip & Contoh

Jual SANITASI - HIGIENE - DAN KESELAMATAN KERJA - SMK KELAS X - SESUAI KURIKULUM 2013 - RIKKY FIRMANSYAH - BUKU SMK B63 di Lapak Toko Buku Amanah Ilmu | Bukalapak

Silabus Sanitasi, Hygiene Dan Keselamatan Kerja
Buku Sanitasi Hygiene & Keselamatan Kerja (Perhotelan) - Bidang Keahlian Pariwisata SMK/MAK Kelas X | Shopee Indonesia

Hygiene Sanitasi Dan K3 Pada Salon Kecantikan - e-Learning …
Sanitasi, Hygene, Dan Keselamatan Kerja PDF | PDF

Penerapan sanitasi di tempat kerja dapat dilakukan dengan? - Brainly.co.id

Rpp Sanitasi Hygiene Dan Keselamatan Kerja Perhotelan - Info Seputar Kerjaan

6 Prinsip Hygiene Sanitasi yang Harus Diperhatikan - Indonesia Environment & Energy Center

Pengertian K3, Tujuan, Prinsip, Ruang Lingkup, SOP, dan Penerapan
Sanitasi, Hygene, Dan Keselamatan Kerja PDF | PDF

Prinsip Sanitasi Hygiene Dan Keselamatan Kerja – Kami
![]()
SANITASI,HYGIEN & KESLAMATAN KERJA-Flip eBook Pages 1 - 50| AnyFlip | AnyFlip
Untitled
Ruang Lingkup Sanitasi Hygiene Dan Keselamatan Kerja - Berbagai Ruang

Sanitasi Hygiene dan K3 (Kesehatan dan Keselamatan Kerja) - Kesehatan - BUKU

Penerapan Sanitasi Dan Hygiene Dalam Industri Perikanan
Silabus Sanitasi Hygiene Dan Keselamatan Kerja
Rpp Sanitasi Hygiene Dan Keselamatan Kerja Perhotelan - Info Seputar Kerjaan
Untitled

Penerapan Prinsip Sanitasi Dan Hygiene Dalam Ind Perikanan
Sanitasi Dan Hygiene | PDF

Buku Sanitasi Hygiene dan K3 ( Kesehatan dan Keselamatan Kerja) hanya di anakteknik.co.id

Sanitasi Lingkungan : Macam, Efektifitas, Masalah & Solusi
Hygiene Sanitasi dan Keselamatan Kerja i

Penerapan Prinsip Sanitasi Dan Hygiene Dalam Ind Perikanan - PDFCOFFEE.COM

Prinsip Sanitasi Hygiene Dan Keselamatan Kerja – Kami

Pengertian Hygiene Dan Sanitasi

Upaya dan Tindakan Higiene Sanitasi untuk Mencegah Infeksi Nosokomial

Jual SANITASI HYGIENE DAN K3 KESEHATAN DAN KESELAMATAN KERJA SRI REJEKI ORI di Lapak Toko Buku Sinar Jaya | Bukalapak
![Web viewBIDANG STUDI KEAHLIAN : PARIWISATA MATA PELAJARAN : SANITASI, HYGIENE DAN KESELAMATAN KERJA - [DOC Document]](https://i2.wp.com/reader020.staticloud.net/reader020/html5/20190807/5ccc311188c99356318bb26b/bg2.png)
Web viewBIDANG STUDI KEAHLIAN : PARIWISATA MATA PELAJARAN : SANITASI, HYGIENE DAN KESELAMATAN KERJA - [DOC Document]

Sanitasi Lingkungan : Macam, Efektifitas, Masalah & Solusi
![silabus-sanitasi-hygiene-dan-keselamatan-kerja.doc - [PDF Document]](https://i3.wp.com/cdn.cupdf.com/img/1200x630/reader020/image/20191006/55cf93ec550346f57b9ec8a6.png)
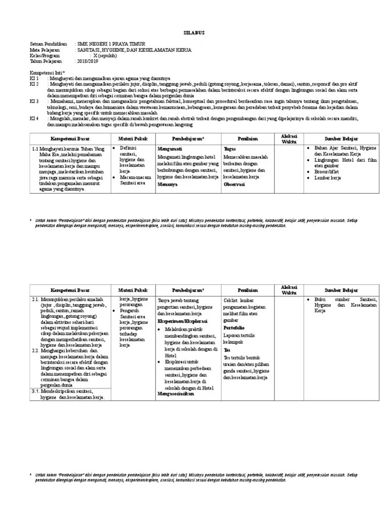
silabus-sanitasi-hygiene-dan-keselamatan-kerja.doc - [PDF Document]
![]()
PENERAPAN PRINSIP SANITASI DAN HYGIENE DALAM INDUSTRI PERIKANAN

Sanitasi : Pengertian, Tujuan, Manfaat, Ruang Lingkup & Contoh
![]()
SANITASI,HYGIEN & KESLAMATAN KERJA-Flip eBook Pages 1 - 50| AnyFlip | AnyFlip

SANITASI, HYGIENE, DAN KESELEMATAN KERJA

K3LH - Pengertian, Dasar Hukum, Undang-Undang dan Syarat
![]()
ki kd sanitasi hygiene dan kesetan kerja

Pengaruh Sanitasi Area Kerja dan Higiene Perorangan terhadap Keselamatan Kerja

Prinsip Sanitasi Hygiene Dan Keselamatan Kerja – Kami
SANITASI HYGIENE DAN K3 (KESEHATAN DAN KESELAMATAN KERJA) | Shopee Indonesia

Jual Buku Sanitasi Hygiene Dan K3 .Kesehatan & Keselamatan Kerja. di Lapak 190 DIANA STORE | Bukalapak

Penerapan Sanitasi Dan Hygiene Dalam Industri Perikanan
![]()
PDF) SANITASI, HYGIENE, DAN KESELEMATAN KERJA Kelas X | Tata Rias - Academia.edu
Silabus Sanitasi, Hygiene Dan Keselamatan Kerja | PDF

Penjelasan tentang Personal Hygiene dan Manfaat Hygiene di Tempat Kerja - Materi Sanitasi, Hygiene dan Keselamatan Kerja
Ruang Lingkup Sanitasi Hygiene Dan Keselamatan Kerja - Berbagai Ruang
Untitled

Pengertian Hygiene, Ruang Lingkup, Manfaat, dan Contohnya
![]()
DOC) Makalah Higiene Sanitasi dan Keselamatan Kerja | alyaa rizahan - Academia.edu

Belajar Sanitasi Hygiene dan Keselamatan Kerja : Ruang lingkup Sanitasi Hygiene Keselamatan Kerja - YouTube

SOAL SANITASI HYGIENE JURUSAN PERHOTELAN KELAS 10 SEMESTER 1 BESERTA KUNCI JAWABAN - Dunia SMK
![]()
Prinsip Sanitasi Hygiene Dan Keselamatan Kerja – Kami

Pengertian Sanitasi, Tujuan, Manfaat dan Ruang Lingkup Sanitasi Lengkap | Pelajaran Sekolah Online

HIGIENE, SANITASI dan KESELAMATAN KERJA dalam dunia PERHOTELAN - ppt download

SANITASI, HYGIENE, DAN KESELAMATAN KERJA : DEFINISI, MANFAAT, TUJUAN DAN RUANG LINGKUP - YouTube
PEMBUATAN MODUL SANITASI HYGIENE DAN KESELAMATAN KERJA SEBAGAI PENDUKUNG KURIKULUM 2013 BAGI SISWA KELAS X SMK MUHAMMADIYAH 1 M

Jual Buku Sanitasi Higiene dan Keselamatan Kerja untuk Kelas X SMK di Lapak affanstore | Bukalapak
Ruang Lingkup Sanitasi Hygiene Dan Keselamatan Kerja - Berbagai Ruang

PPT - HIGIENE, SANITASI dan KESELAMATAN KERJA dalam dunia PERHOTELAN PowerPoint Presentation - ID:2932469

Sanitasi, Hygiene dan Keselamatan Kerja - PDF Free Download
Buku Sanitasi Hygiene & Keselamatan Kerja (Perhotelan) - Bidang Keahlian Pariwisata SMK/MAK Kelas X | Shopee Indonesia

Prinsip Sanitasi Hygiene Dan Keselamatan Kerja – Kami
![Sanitasi, Hygiene, dan Keselamatan Kerja C2 SMK/MAK Kls X …· Sanitasi, Hygiene, dan Keselamatan - [PDF Document]](https://i1.wp.com/demo.fdokumen.com/img/378x509/reader025/reader/2021042908/5c901b6809d3f23a138cbc98/r-1.jpg)
Sanitasi, Hygiene, dan Keselamatan Kerja C2 SMK/MAK Kls X …· Sanitasi, Hygiene, dan Keselamatan - [PDF Document]

Sanitasi higiene dan keselamatan kerja dalam pengolahan makanan - 2001
Buku Sanitasi, Higiene, Dan Keselamatan Kerja X SMK K-13 Rev 17 | Shopee Indonesia
Prinsip Sanitasi Hygiene Dan Keselamatan Kerja – Kami

Pengertian Keselamatan Kesehatan Kerja (K3), Tujuan, Aspek, Faktor dan Prinsip Keselamatan Kesehatan Kerja Terlengkap | Pelajaran Sekolah Online

PPT - HIGIENE, SANITASI dan KESELAMATAN KERJA dalam dunia PERHOTELAN PowerPoint Presentation - ID:2932469

Jelaskan penerapan prinsip sanitasi,hygiene,dan keselamatan kerja di dalam latihan kerja? - Brainly.co.id
Ruang Lingkup Sanitasi Hygiene Dan Keselamatan Kerja - Berbagai Ruang
![]()
PRINSIP SANITASI, HYGIENE DAN K3 - ppt download
![]()
Prinsip Sanitasi Hygiene Dan Keselamatan Kerja – Kami

PPT - HIGIENE, SANITASI dan KESELAMATAN KERJA dalam dunia PERHOTELAN PowerPoint Presentation - ID:2932469