
Integral of (x+1)^2 (substitution) - YouTube

integral x pangkat 1/2 dx adalah - Brainly.co.id

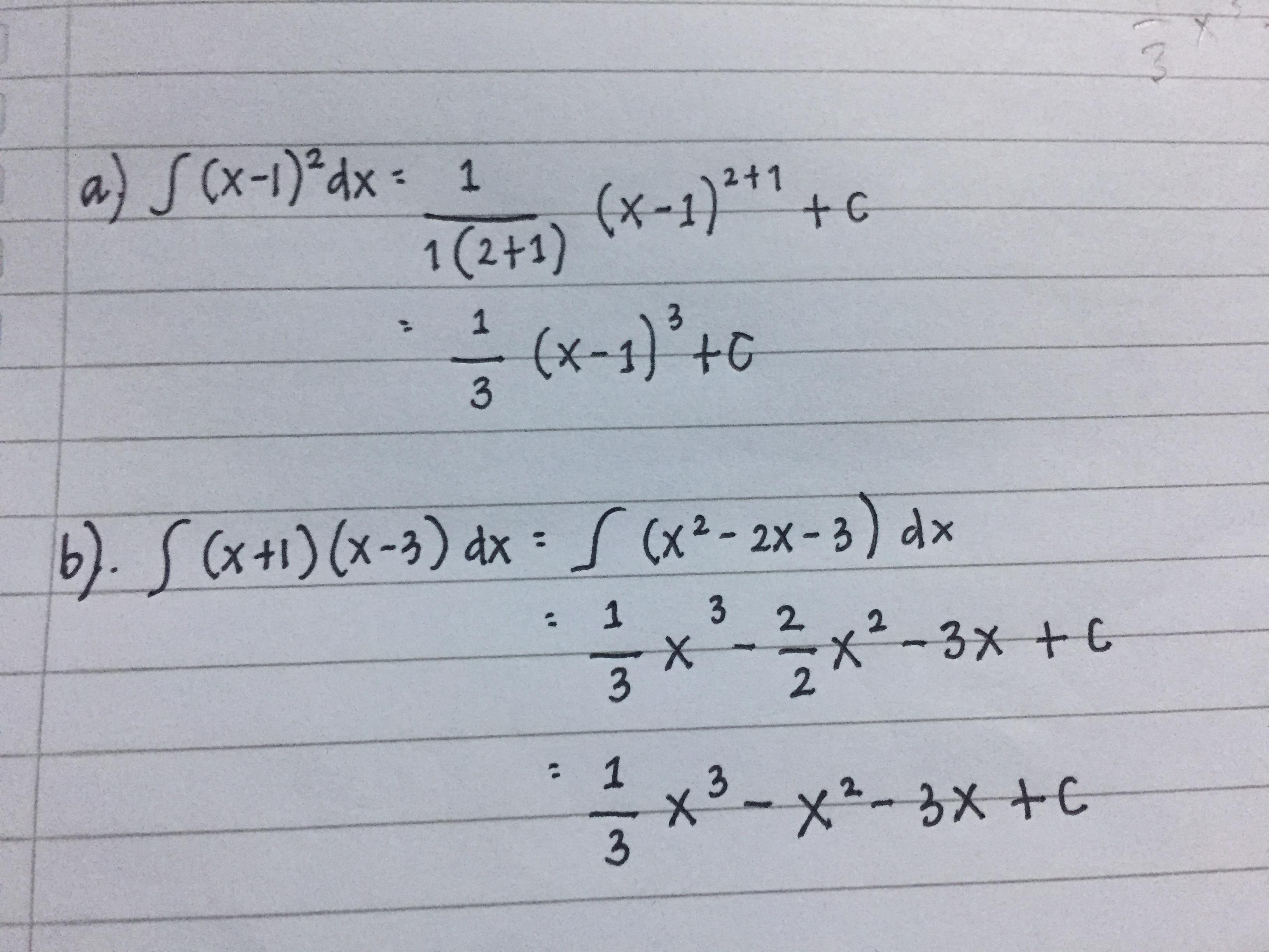
Selesaikan Integral - Integral berikuta) integral (x-1)² dxb) integral (x+1 )(x-3) dx Tolong ya - Brainly.co.id

Integral X pangkat -1/2 dx - Brainly.co.id

Integral of 1/(1-x)^2 - YouTube
Berapakah integral dari X/1-x? - Quora

Hasil ∫ x(x – 1)2/√x dx = - Mas Dayat

Solved Integral x/(x +1)(x +2) dx integral 2x + 1/x(x^2 + | Chegg.com

Example 11 - Find integral dx / (x + 1) (x + 2) - Partial Fraction

- Integral (x-2)² dx = 2. Integral √x dx = - Brainly.co.id

∫ (x√x + 1/x)2 dx - Mas Dayat
Solved integral 1/x (x^2 - 1) dx integral 2x + 3/(x + 1)^2 | Chegg.com

SolveMath 🇮🇩 on Twitter: “1/akar(x+2) dx = 2du makanya ada 2 nya… "

Hasil dari integral 6x (2x-5)pangkat 3 dx… - YouTube

Hasil Dari Integral (x^2+1) Cos X Dx

Example 2 (i) - Find Integral ∫ (x^3 - 1) / x^2 dx - Class 12 Maths

Soal int(2x-1)^(2)dx=dots

Hasil Dari Integral X^2 Sin X Dx Adalah
Soal-Soal Integral | PDF

Hasil dari integral x+1/√x DX adalah

How do I evaluate the integral intln(2x)/ x^2 dx? | Socratic

Soal Integral Tak Tentu: Menentukan Anti Turunan Sederhana

INTEGRAL FUNGSI RASIONAL” - ppt download
Solved integral x + 1/(x^2 + 2x +1)^2 dx | Chegg.com

- Integral x (x2-1)^3 dx4. Integral x akar 4 ( x2-1)^2
Integral (x-4) pangkat 2 dx…. Question from @Bilkisnurpadilah

Integral of (x+2)/(x^2+2x+5) - YouTube

Soal int(1-x^(3))^(2)dx=dots.
Bagaimana kita mengintegrasikan (x^3) /sqrt (9-x^2) dx? - Quora
![]()
DOC) SOAL-SOAL INTEGRAL | Ayu Puspa - Academia.edu

Hasil dari ∫ x√x(1 + x2) dx = …. - Mas Dayat

100 Integral Problems and Solutions (part 4) - Hasbiansyah Cahyadi
Integral from 1 to 2 dx/√(x-1)(2-x) - Studyrankersonline

integration x x 1 1 2 dx explain in great detail - Mathematics - TopperLearning.com | 4o7bvhgg

Integral (x2 - 1) pangkat 2 dx Tolong sama caranya ya kak, trimakasih banyak - Brainly.co.id
Soal 125 Integral Tak Tentu dan Tentu | Soal-Jawab Matematika
![]()
2 Hasil darif(4x3x5)dx ad… | Lihat cara penyelesaian di QANDA

Materi integral

Contoh Soal Beserta Pembahasan Integral 2x 3 3x-2 Dx
- Integral ( x-1/x)² dx = … 2) Integral ( x² - 1 )/x² dx =.. 3) Integral (2 sin x - 3 cos x) dx =…. Question from @Cendy1

The integral X 1 (M 2 (x)/x 2 )dx (solid) and the function 1.2 +… | Download Scientific Diagram

Find the integral intx^2(1-1/(x^2))dx

Integral x dx/(2x² + 1)2 dx .

Integration - webfunpage.com
Fastest Integration Of Sin(x^2) Dx

integral x square root of x 1 x 2 dx - Mathematics - TopperLearning.com | rpy14666
Evaluate the integral: ∫(x + 1)/√(4 + 5x - x^2) dx - Sarthaks eConnect | Largest Online Education Community

Evaluate the Integral (x+1) sqrt(2x + x^2) dx using the substitution method - Topic Play

Ex 7.9, 13 - Direct Integrate x dx / x2 + 1 from 2 to 3 - Ex 7.9
Solved integral x^2/(1 + x^3)^2 dx integral 4x/squareroot | Chegg.com
![COLLE | CEK PINNED Twitter ನಲ್ಲಿ: “[cm] Integral(x√x+1)dx kalau pake metode integral parsial gimana ya caranya? 🤗”](https://i3.wp.com/pbs.twimg.com/media/EOceXzkUYAAFwIk.jpg)
COLLE | CEK PINNED Twitter ನಲ್ಲಿ: “[cm] Integral(x√x+1)dx kalau pake metode integral parsial gimana ya caranya? 🤗”

int_0^1(log|1+x|)/(1+x^2)dx=pi/8log2

SOLVED:Evaluate the integral. \displaystyle \int_0^1 \frac{x^2 + x + 1}{(x + 1)^2(x + 2)}\ dx

Remidi matematika Bab Integral

Integration. - ppt download
Evaluate the integral of x2 / (x2 + 2x + 2)2 - Stumbling Robot

How do you find the Integral x sin x^2 dx? | Socratic

How to integrate $ \int\frac{x-2}{(7x^2-36x+48)\sqrt{x^2-2x-1}}dx$? - Mathematics Stack Exchange
Bisakah Anda membantu saya dengan integral ganda ini (x^2+y^2) dxdy di mana D: x^2 + y^2≤100? - Quora
Integrate : ∫(xe^x/(1 + x)^2) dx - Sarthaks eConnect | Largest Online Education Community

integral tentu dari (x2 - 1/x2) dx - YouTube

Hasil Dari Integral (x2+1) Cos X Dx

Evaluate Integral 1/(X(X-1))Dx - Mathematics and Statistics | Shaalaa.com
The integral X 1 (M 2 (x)/x 2 )dx (solid) and the function 1.2 +… | Download Scientific Diagram

Solve: int 0^1 x. (1 - x )^5 dx

Soal 2. Hitung integral int4x(1-3x^(2))^(2)dx

INTEGRAL TAK WAJAR | Kalkulus II – Kelompok 1

- integral x(x-2) (x+2) dx2.integral x^2 +x/x

Integration by parts: ∫x²⋅𝑒ˣdx (video) | Khan Academy
![]()
DOC) Matematika Integral | Arifani Arifani - Academia.edu

Geneseo Math 222 01 Integration by Parts 2
![Pengertian Integral Tentu dan Tak Tentu [+Contoh Soal]](https://i0.wp.com/www.statmat.net/wp-content/uploads/2019/05/Integral-tentu-dan-Integral-tak-tentu-5.png)
Pengertian Integral Tentu dan Tak Tentu [+Contoh Soal]

Integrate $\int \frac{2x+7}{(x+1)(x^2+1)}dx$. - Mathematics Stack Exchange
∫ex(1-x/1+x2)2 dx is equal to - Studyrankersonline

Answered: Evaluate the integral. x² + x + 1 dx o… | bartleby

Solution: Evaluate the integral of dx/(x + 2) from -6 to -10.

O Mais Rápido Integral X^3 E^x^2 Dx
Evaluate the integral of x / ((x+1)(x+2)(x+3)) - Stumbling Robot
![SOLVED] Integral x-1[x+1×x^3+x^2+x^12] dx is equal toA tan^-1× - Self Study 365
SOLVED] Integral x-1[x+1×x^3+x^2+x^12] dx is equal toA tan^-1×[ - Self Study 365
Tentukan integral berikut ini. ∫(100x4−60x3+30x2−…

SOLVED: Evaluate the given integral using the substitution (or method) indicated. (Use C for the constant of integration.) (x + 1)e(x + 1)2 dx; u = (x + 1)2

Some Review Problems Exam 2

integrate (x2 + x +1)/(x2+1)(x+2) - Maths - Integrals - 10853563 | Meritnation.com

Ex 7.5, 23 (MCQ) - Integrate dx / x (x^2 + 1) equals (A) log |x| - 1/2

A. integral (x+1) kuadrat dxb. integral (2x+5) (3x - 2) dx
Integral of (1-x^2)/(1+x^2)*(1/(1+x^4)^(1/2))dx | Physics Forums

Integral easy
Find the integral of 1√(x^2 - a^2) with respect to x and hence evaluate int dx√(x^2 + 6x - 7) .
Hasil dari integral x^2 (√x - 1/x + 2 ) dx adalah…. Question from @risyakusnaputr
![]()
Materi Pelajaran Matematika SMA Semester 1/2 Kelas 12 BAB 1 Integral
![Pengertian Integral Tentu dan Tak Tentu [+Contoh Soal]](https://i0.wp.com/www.statmat.net/wp-content/uploads/2019/05/Integral-tentu-dan-Integral-tak-tentu-4.png)
Pengertian Integral Tentu dan Tak Tentu [+Contoh Soal]

How do you integrate int 2/((1-x)(1+x^2)) dx using partial fractions? | Socratic

integration ex 2 x 1 x 2 dx explain in great detail - Mathematics - TopperLearning.com | 4j7olss

Integration by parts: ∫x²⋅𝑒ˣdx (video) | Khan Academy
Solved integral 1/(x^2 - 1)^3/2 dx integral x^3 Squareroot | Chegg.com
The integral ∫ [x^2] (for x → 0, 1.5) dx, where [.] denotes the greatest - Sarthaks eConnect | Largest Online Education Community
Problem 26 from Section 7.3 in Stewart: Evaluate ∫ x2 (3 + 4x - 4x dx. Solution: The denominator is a mess; we need to complet

Nilai Dari 3 Integral 1 3X 2 2X 1 Dx / Enter the function you want to integrate into the editor.
Bagaimana cara menghitung integral dari batas atas 3 batas bawah 1 (2x^2+1) (3-x) dx? - Quora

Integral garis suatu lintasan - ppt download