
SMK N 1 RAO SELATAN : Soal turunan fungsi dengan pembahasan

17+ Contoh Soal Turunan Pilihan Ganda Beserta Pembahasannya - Kumpulan Contoh Soal

SMK N 1 RAO SELATAN : Soal turunan fungsi dengan pembahasan
Bank Soal Matematika Fungsi Turunan | PDF

SMK N 1 RAO SELATAN : Soal turunan fungsi dengan pembahasan
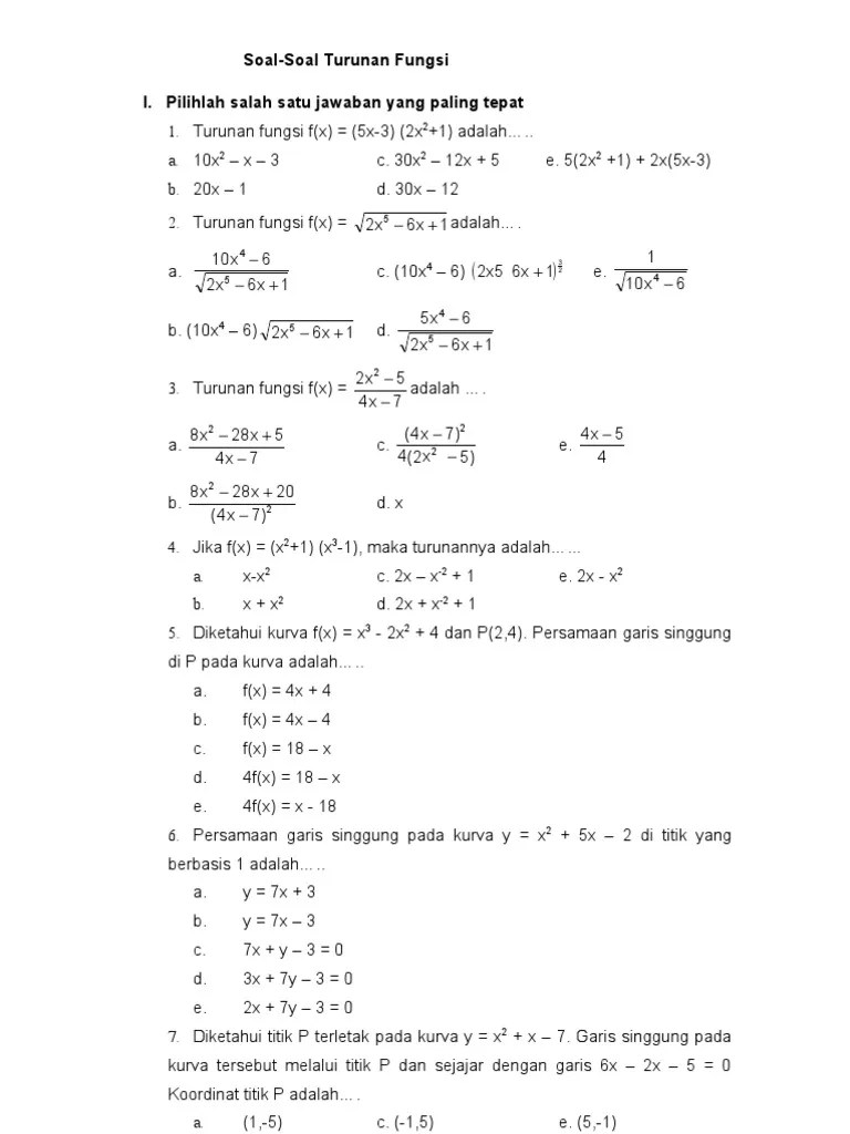
Soal Pilihan Ganda Turunan Fungsi Aljabar – Sekali

Berikut Materi Dan Contoh Soal Aplikasi Turunan Ekonomi
Soal Pilihan Ganda Turunan Fungsi Aljabar – Sekali
![Contoh Soal Aplikasi Turunan (Diferensial) dan Jawaban [+Pembahasan]](https://i0.wp.com/soalkimia.com/wp-content/uploads/2020/05/Soal-Aplikasi-Turunan-Diferensial-min.jpg)
Contoh Soal Aplikasi Turunan (Diferensial) dan Jawaban [+Pembahasan]
![Contoh Soal Aplikasi Turunan (Diferensial) dan Jawaban [+Pembahasan]](https://i3.wp.com/soalkimia.com/wp-content/uploads/2019/12/soal-turunan-diferensial-no-7.jpg)
Contoh Soal Aplikasi Turunan (Diferensial) dan Jawaban [+Pembahasan]
Soal Pilihan Ganda Turunan Fungsi Aljabar – Sekali
Contoh Soal Dan Pembahasan Tentang Turunan Fungsi Trigonometri - Contoh Soal Terbaru

Kumpulan Soal Turunan Fungsi Aljabar Doc - Ahli Soal
![]()
Soal Dan Pembahasan Aplikasi Turunan – Belajar
Soal Dan Jawaban Turunan Fungsi Komposisi - Kumpulan Contoh Surat dan Soal Terlengkap
Latihan Ujian Matematika Soal Pilihan Ganda B | PDF

Contoh Soal Dan Pembahasan Turunan Fungsi Trigonometri - Contoh Soal Terbaru

Soal Pilihan Ganda Dan Pembahasan Trigonometri Kelas 11 Pdf - lasopawealth

Contoh Soal Turunan Fungsi Aljabar Pilihan Ganda dan Kunci Jawaban beserta Pembahasan - Turunan merupakan pengukuran terhadap bagaimana | Math
Contoh Soal Limit Fungsi Trigonometri Pilihan Ganda - Kumpulan Contoh Surat dan Soal Terlengkap

Soal Essay Fungsi Turunan dan Pembahasannya – Apipah.com
![Contoh Soal Aplikasi Turunan (Diferensial) dan Jawaban [+Pembahasan]](https://i3.wp.com/soalkimia.com/wp-content/uploads/2019/12/soal-turunan-diferensial-no-6-1.jpg)
Contoh Soal Aplikasi Turunan (Diferensial) dan Jawaban [+Pembahasan]
![Contoh Soal Aplikasi Turunan (Diferensial) dan Jawaban [+Pembahasan]](https://i0.wp.com/soalkimia.com/wp-content/uploads/2019/12/soal-turunan-diferensial-no-11.jpg)
Contoh Soal Aplikasi Turunan (Diferensial) dan Jawaban [+Pembahasan]

10++ Contoh Soal Pilihan Ganda Turunan Fungsi Trigonometri - Kumpulan Contoh Soal

Soal Pilihan Ganda Fungsi Komposisi – Goreng
Maulana 3 | PDF
![]()
Soal Pilihan Ganda | Nursa’id Fitria - Academia.edu

31+ Contoh Soal Turunan Total - Kumpulan Contoh Soal
![]()
Soal Pilihan Ganda Fisika SMP Kelas 7 Te
![40+ Soal Benzena dan Turunannya Pilihan Ganda [+Pembahasan]](https://i2.wp.com/soalkimia.com/wp-content/uploads/2019/11/Soal-Benzena-dan-Turunannya-min.jpg)
40+ Soal Benzena dan Turunannya Pilihan Ganda [+Pembahasan]

Contoh Soal Turunan Fungsi Majemuk

Detail 20 Soal Aplikasi Turunan Diferensial Pilihan Ganda Pembahasan Chalkboard Quote Art Soal Matematika Book Cover

Turunan Trigonometri - Matematika Kelas 11 - Quipper Blog

Soal dan Pembahasan - Turunan Fungsi Menggunakan Limit - Mathcyber1997

17+ Contoh Soal Turunan Pilihan Ganda Beserta Pembahasannya - Kumpulan Contoh Soal

100+ Soal dan Pembahasan Matematika Dasar Limit Fungsi Aljabar | defantri.com

Contoh Soal Pilihan Ganda Kompleks

Maulana3 - PDFCOFFEE.COM

Soal Pilihan Ganda Turunan Fungsi Aljabar – Sekali

Soal Dan Jawaban Turunan Fungsi Komposisi - Kumpulan Contoh Surat dan Soal Terlengkap
Contoh Soal Turunan Fungsi Pangkat Dan Pembahasannya

Contoh Soal Fisika Kelas 10 Dimensi - Kumpulan Contoh Surat dan Soal Terlengkap

Contoh Soal Turunan Fungsi Ppt
![Contoh Soal Aplikasi Turunan (Diferensial) dan Jawaban [+Pembahasan]](https://i2.wp.com/soalkimia.com/wp-content/uploads/2019/12/soal-turunan-diferensial-no-3.jpg)
Contoh Soal Aplikasi Turunan (Diferensial) dan Jawaban [+Pembahasan]
Soal Dan Pembahasan 3 Turunan Fungsi Trigonometri

Soal Sbmptn Integral Tak Tentu

Soal Pilihan Ganda Turunan Fungsi Aljabar – Sekali
![Contoh Soal Aplikasi Turunan (Diferensial) dan Jawaban [+Pembahasan]](https://i2.wp.com/soalkimia.com/wp-content/uploads/2019/12/soal-turunan-diferensial-no-1.jpg)
Contoh Soal Aplikasi Turunan (Diferensial) dan Jawaban [+Pembahasan]
Terbaik 15+ Soal Pilihan Ganda Turunan Fungsi Aljabar Doc, Paling Baru!

Contoh Soal Matematika Pilihan Ganda Kompleks
Soal Pilihan Ganda Turunan Fungsi Aljabar – Sekali

Soal dan Pembahasan - Turunan Fungsi Trigonometri - Mathcyber1997
![Contoh Soal Aplikasi Turunan (Diferensial) dan Jawaban [+Pembahasan]](https://i1.wp.com/soalkimia.com/wp-content/uploads/2019/12/soal-turunan-diferensial-no-5.jpg)
Contoh Soal Aplikasi Turunan (Diferensial) dan Jawaban [+Pembahasan]

Contoh Soal Poster Pilihan Ganda Dan Jawabannya – Berbagai Contoh
Contoh Soal Matematika Pilihan Ganda Kompleks

Contoh Soal Turunan Fungsi Pilihan Ganda

50 Contoh Soal TKJ Kelas X Pilihan Ganda dan Jawabannya - Manglada Tech
![]()
Soal Pilihan Ganda Turunan Fungsi Aljabar – Sekali

SOAL UTS IPA Kelas 7 SMP Semester 1 dan Kunci Jawaban Soal Latihan PTS Pilihan Ganda - Halaman all - Tribunpontianak.co.id
![50+ Soal Senyawa Turunan Alkana (Karbon) Pilihan Ganda [Pembahasan]](https://i1.wp.com/soalkimia.com/wp-content/uploads/2017/05/soal-senyawa-karbon-kelas-12-no-2.jpg)
50+ Soal Senyawa Turunan Alkana (Karbon) Pilihan Ganda [Pembahasan]

Contoh Soal Perbandingan Skala

Contoh Soal Dan Pembahasan Turunan Fungsi Trigonometri - Contoh Soal Terbaru

Contoh Soal Fungsi Kompleks

10++ Contoh Soal Pilihan Ganda Turunan Fungsi Trigonometri - Kumpulan Contoh Soal
![Contoh Soal Aplikasi Turunan (Diferensial) dan Jawaban [+Pembahasan]](https://i3.wp.com/soalkimia.com/wp-content/uploads/2019/12/soal-turunan-diferensial-no-9.jpg)
Contoh Soal Aplikasi Turunan (Diferensial) dan Jawaban [+Pembahasan]

Terbaik 15+ Soal Pilihan Ganda Turunan Fungsi Aljabar Doc, Paling Baru!

Ppl1 bie kumpulan soal & pembahasan un sma ekonomi
![Contoh Soal Aplikasi Turunan (Diferensial) dan Jawaban [+Pembahasan]](https://i0.wp.com/soalkimia.com/wp-content/uploads/2020/05/turunan-diferensial.jpg)
Contoh Soal Aplikasi Turunan (Diferensial) dan Jawaban [+Pembahasan]

Soal dan Pembahasan - Turunan Fungsi Aljabar - Mathcyber1997
Soal Mekanika Teknik | PDF

30+ Soal Besaran dan Satuan Pilihan Ganda dan Jawaban
Soal Pilihan Ganda Turunan Fungsi Aljabar – Sekali

Contoh Soal Turunan Fungsi Dan Pembahasannya - Contoh Soal Terbaru

Latihan Soal Isomer Turunan Alkana Kimia Kelas 12 SMA MA

Blanko soal pilihan ganda 1 2008
Contoh Soal Matematika Pilihan Ganda Kompleks

Contoh Soal Senyawa Turunan Alkana (Karbon) dan jawaban beserta pembahasannya - Senyawa karbon turunan alkana adalah senyawa karbon … | Kimia, Aseton, Atom hidrogen
Soal Pilihan Ganda Turunan Fungsi Aljabar – Sekali
CONTOH SOAL UJIAN TEORI TEKNIK INSTALASI TENAGA LISTRIK Paket D NURON INFO PDF

Soal Integral Tak Tentu: Menentukan Anti Turunan Sederhana
![Contoh Soal Aplikasi Turunan (Diferensial) dan Jawaban [+Pembahasan]](https://i1.wp.com/soalkimia.com/wp-content/uploads/2019/12/soal-turunan-diferensial-no-10.jpg)
Contoh Soal Aplikasi Turunan (Diferensial) dan Jawaban [+Pembahasan]

Soal Pilihan Ganda Turunan Fungsi Aljabar – Sekali

Soal Dan Pembahasan Integral Tentu & Tak Tentu (TERLENGKAP) - Soalskul
Contoh Soal Lra Beserta Jawaban Dan Pembahasannya
![]()
DOC) Soal Pilihan Ganda Fisika SMP Kelas 7 Tentang Pengukuran dan Alat Ukur | putri angeli - Academia.edu

Turunan Fungsi Aljabar Lengkap dengan Contoh- Contohnya ~ Rumah Pintar Pku

Soal Pilihan Ganda + Jawabannya Biologi Kelas 10 Bab 3 Sistem Klasifikasi ~ sekolahmuonline.com - SekolahMuOnline

Popular Soal Pilihan Ganda Turunan Fungsi Aljabar, Paling Update!

√ 50+ Contoh Soal Pilihan Ganda Teks Eksplanasi dan Jawabannya

Turunan Fungsi Aljabar : Rumus, Aplikasi, Notasi, Pe

Soal dan Pembahasan - Turunan Fungsi Aljabar - Mathcyber1997
![]()
Soal Pilihan Ganda IPS Terpadu SMP Kelas
Soal Pilihan Ganda Dan Essay Teori Portofolio Dan Investasi | PDF
Contoh Soal Dan Jawaban Turunan Fungsi Aljabar - Peranti Guru

Script PHP Membuat Soal Pilihan Ganda - Tutorial

Tag: contoh soal dan pembahasan induksi matematika pilihan ganda - Kumpulan Contoh Surat dan Soal Terlengkap

17+ Contoh Soal Turunan Pilihan Ganda Beserta Pembahasannya - Kumpulan Contoh Soal
![UJIAN NASIONAL - .Contoh Soal dan Pembahasan … bentuk soal pilihan ganda, sebanyak 40 soal dengan - [PDF Document]](https://i0.wp.com/demo.dokumen.tech/img/378x509/reader025/reader/2021050206/5c98032d09d3f2d8238d0fcf/r-2.jpg)
UJIAN NASIONAL - .Contoh Soal dan Pembahasan … bentuk soal pilihan ganda, sebanyak 40 soal dengan - [PDF Document]

Soal dan Pembahasan - Persamaan Garis Singgung Menggunakan Turunan - Mathcyber1997

Soal Pilihan Ganda Turunan Fungsi Aljabar – Sekali