
65/100 : 65/65 =. . . .Tolong pake jalan nya ya - Brainly.co.id

Ke desimal pake cara - Brainly.co.id

GCF of 65 and 100 | How to Find GCF of 65, 100?
What is 100/65 - 2/10?

Faktor Persekutuan Terbesar (FPB, dari bilangan 65 dan 100 - Brainly.co.id

temukan FPB dari bilangan 45,65 dan 100 menggunakan faktorisasi prima tabel dan pembagian - Brainly.co.id

Jual OIL SEAL TC 65 100 10 VITTON - Jakarta Pusat - raja seal | Tokopedia

ubahlah bilangan persen 65%,49%,82%dan96% menjadi pecahan biasa yang paling sederhana beserta - Brainly.co.id
Tempat sampah mpw 65/100 liter | Shopee Indonesia

Growlithe – 65/100 – Common | The Pokemon-store

Blood Pressure 100 over 65 - what do these values mean?
Ban Motor Yamaha RX-King IRC NR 65 100/90 ring 18 Tube Type | Shopee Indonesia

Solenoid valves Danfoss Type EV220B 65-100

Tentukan hasil pembagian berbagai bentuk pecahan berikut! (jawaban dalam bentuk desimal) 65% : 1,25 Tolong pakai caranya juga
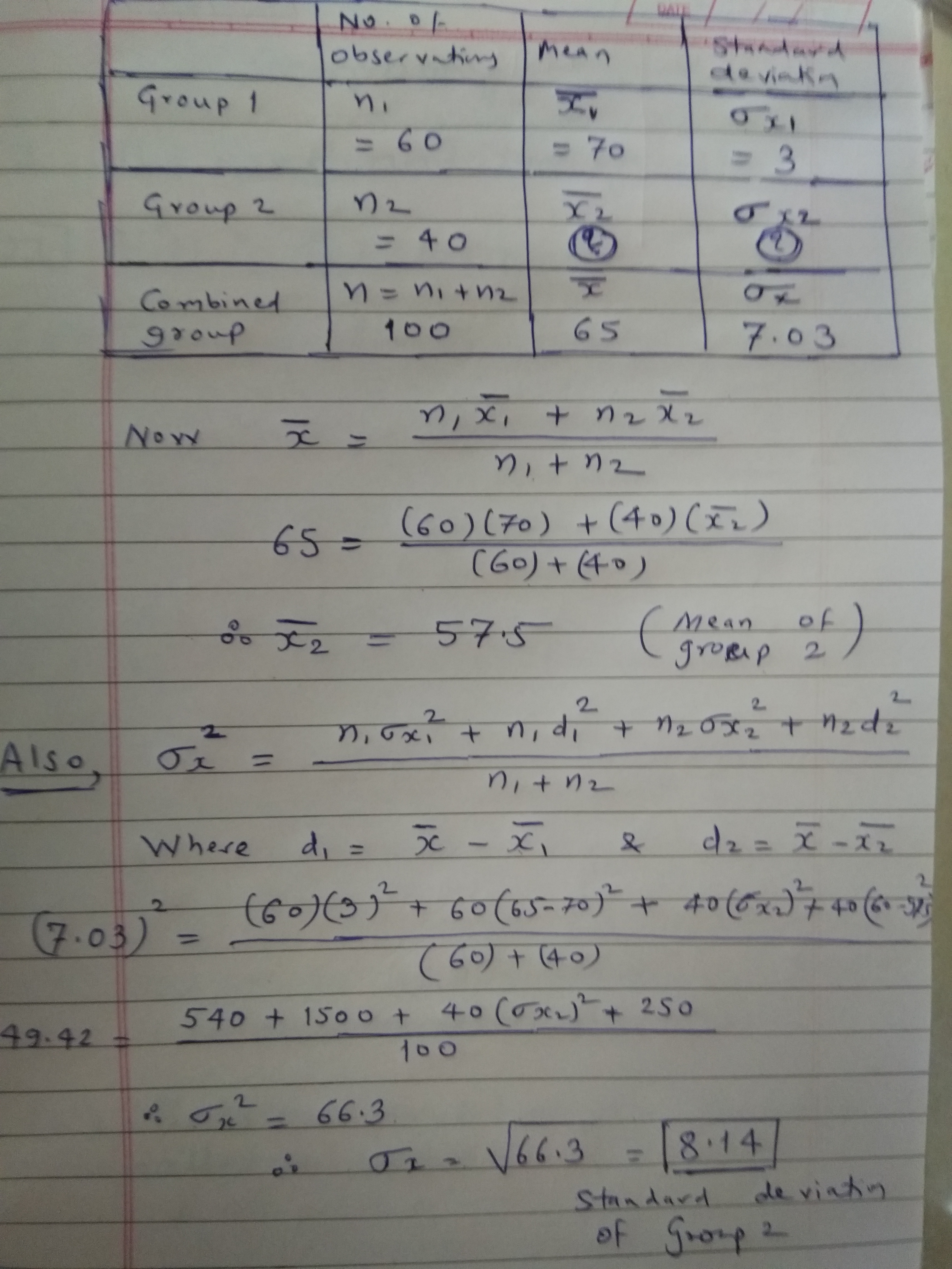
Rerata dan SD untuk kelompok 100 pengamatan adalah 65 dan 7,03 masing-masing. Jika 60 dari pengamatan ini memiliki rata-rata dan SD masing-masing 70 dan 3, berapa SD dari kelompok yang terdiri dari

Jual BAN LUAR IRC 100 90-17 NR 65 TUBETYPE di Lapak MCM Motor | Bukalapak

Tentukan FPB dari bilangan-bilangan berikut dengan…

Beli IRC NR 65 Tire Motorcycle Tubetype 100/90-18 | monotaro.id

Jual Kertas Art Carton 230 gram Plano 65 x 100 cm - Kota Bekasi - Bekasi Printing | Tokopedia
What is 65/100 x 4/3?

hasil dari 65%+0,35-1/2 adalah? - Brainly.co.id

RUMAH DIJUAL: Rumah Baru Minimalis type 65/100

HUT ke-65, 100 bendera Israel akan berkibar di Jakarta | merdeka.com

Jual (Tas Gunung / Keril) Jack Wolfskin Denali 65 100% ORI Vietnam di Lapak ega ega ega | Bukalapak

Jual kertas art carton / paper Plano 260 gsm 65 x 100 cm TERMURAH - Kota Bogor - Costum Satu | Tokopedia

Danfoss Ev220b 65-1002/2 Solenoid Valve - Buy Danfoss,Ev220b 65-100,2/2 Solenoid Valve Product on Alibaba.com

BAN LUAR MOTOR IRC 100/90-18 (NR 65) | Lazada Indonesia

Fairy Tail: 100 Years Quest Chapter 65

Jual Blangko Undangan CANTIK 65 Harga Murah isi 100 Lembar di Lapak Gadhing Blangko Undangan | Bukalapak

Blood Pressure 100 over 65 - what do these values mean?

Tentukan FPB dari bilangan-bilangan berikut dengan…

RUMAH DIJUAL: Rumah Baru Minimalis type 65/100
Celana Baggy pant dewasa/Katun tuwil Import setricth/Lp 65 - 100 | Shopee Indonesia

Jual RD45 RD55 RD65 size 1.00 CPM Crank Pin Metal Jalan Raun RD 55 65 - 100 - Kota Medan - Andree Jewelry | Tokopedia

Ex 8.2, 2 - Convert the given decimal fractions to per cents (a) 0.65

itu gimana ya caranya? Tolong Bantu - Brainly.co.id

celana jeans wanita / joger super jumbo model sobek muat dari bb 65-100 kg pinggang karet | Lazada Indonesia

Torchic - Ex Crystal Guardians - Pokemon | TrollAndToad

Fractions, Percents & Decimals - ppt download

Jual Paranet 65 Ukuran Lebar 3 Meter Panjang 100 Meter 1 Roll di Lapak Maju Makmur | Bukalapak

Jual Kertas Casing Plano Ukuran 65 x 100 Cm -20 Lembar - Kertas Bungkus Pa - Kota Surabaya - MERCY Stationary | Tokopedia
Drum Elektrik Pad Yamaha Dd-65 / Dd65 / Dd 65 100% Baru Harga Murah! | Shopee Indonesia

HASIL DARI 4/3 ×0,65 :50% ADALAH….A)50/100B)65/100C)65/75D)26/15 - Brainly.co.id

LC - CELANA CARGO WANITA / JOGER CARGO BIG SIZE / MUAT BB 65 - 100 KG SUPER JUMBO | Lazada Indonesia

Soal 25,5,30,35,65,100,…

- 65/100 ubahlah menjadi pecahan desimal 250/1000 ubahlah menjadi pecahan desimal

Akhir Weekend, Sebagian Wilayah Jawa Timur Diperkirakan Masih Hujan

Jual OIL Seal TC 65 100 10 NOK di Lapak Raja seal | Bukalapak
SINGAPORE 100 DOLLAR PMG 65 EPQ | Shopee Indonesia

D971X 16 Listrik Wafer Butterfly Valve DN50 65 80 100 125 150 200 250 Electric Valve|Onderdil AC| - AliExpress

TV Datar Ramping 65 70 75 85 100 Inci Cina Pintar Android LCD TV LED TV Wifi TV|Smart TV| - AliExpress

Schwalbe Ban Sepeda Lipat 16X1, 35-349 EVO Ultra Ringan, Ban Sepeda Tingkat 5 Pelindung BMX MTB 185G, Ban Bersepeda 65-100 PSI | Lazada Indonesia

Jual Kertas Blangko Undangan Lintang 65 Murah Isi 100 Lembar di Lapak Terminal Undangan | Bukalapak

Which proportion can be used to find 65% of 90? - en.ya.guru

65 уровень - 100 Doors Challenge (100 Дверей Вызов) прохождение - YouTube
Share 65 100 ml Some By Mi AHA BHA PHA 30 Days Miracle Acne Clear Body Cleanser Share | Shopee Indonesia

Sticker Wajib Video Unboxing Jumlah 100 Pcs Uk. 45 X 65 Cm - Tokopedia.com | inkuiri.com

RUMAH DIJUAL: Rumah Baru Minimalis type 65/100

6 1/4-0,25= 65%-1/10= 3 4/8-1,2= 8,8-

Prakiraan Cuaca Harian Tiap 3 Jam Sekali Per Kecamatan di Kabupaten Kediri

Jual BERKUALITAS Drum Elektrik Pad Yamaha DD-65 DD65 DD 65 100 baru harga murah di Lapak asrirudi | Bukalapak

Jual TOP BRAND - MPW PRODUCT - Tempat Sampah 5-10-15-20-42-65-100 Liter - 5L - Jakarta Timur - Arifrahman25 | Tokopedia

Mengubah Bentuk Pecahan ke Bentuk Lain

Fairy Tail: 100 Years Quest Chapter 65

Soal 25,5,30,35,65,100,…

Suatu unsur X mempunyai dua isotop, yaitu X-63 dan X-65. Jika massa atom relatif unsur tersebut 63,5 - YouTube

GCF of 65 and 100 | How to Find GCF of 65, 100?

65 75 85 95 100 Inch Melengkung Layar 4K Monitor Tampilan Multi Bahasa TV KTV TV Android OS smart TV LED TV|Smart TV| - AliExpress
Pulsa Transfer Tri Three 3 Termurah 40 45 50 55 60 65 70 75 80 85 90 95 100 ribu | Shopee Indonesia

Soal 1xx(3)quad25530,35,65,100,…

Prakiraan Cuaca Trenggalek

Jual Dorma Floor Hinge BTS 65, EN 3, HO - 100 Kg di Lapak multiartha | Bukalapak
⭐BAGUS⭐ FORA MINYAK RAMBUT ORANG - ARING | 45 / 65 / 100 / 125ML | Shopee Indonesia

Terjual dipasarkan 2 unit rumah type 65/100 gentan solo | KASKUS

Soal Urutkan bilangan-bilangan 2%;(2)/(5);0,65;(1)/(4) dari yang terkecil!
Siap huni Rumah tipe 65/100 m3…. - CIPTA UTAMA Property | Facebook

Lampu Sorot LED 100 Watt IP 65 Outdoor - Sinar Lampu Mentari

Alat Ukur Jarak Jauh 65 Meter Seri LDM-100 - Distributor Alat Ukur dan Uji Indonesia

LENGKAP !!! Kunci Jawaban Halaman 29 Kelas 4 Senang Belajar Matematika - Simple News | Kunci Jawaban Lengkap & Terbaru

RUMAH DIJUAL: Rumah Baru Minimalis type 65/100

KULOT SCUBA JUMBO XXXL BB 65-100 KG | Lazada Indonesia
![Harga Satuan] Sabun Mandi DETTOL 65 / 100 gr (Batang) | Shopee Indonesia](https://i2.wp.com/cf.shopee.co.id/file/a1bb5045065600f9320f69588a7c5453 )
Harga Satuan] Sabun Mandi DETTOL 65 / 100 gr (Batang) | Shopee Indonesia

Jual BERKUALITAS Drum Elektrik Pad Yamaha DD-65 DD65 DD 65 100 baru harga murah di Lapak asrirudi | Bukalapak

Solenoid valves Danfoss Type EV220B 65-100

Pemerintah Kota Tegal - Prakiraan Cuaca 12 Juli 2019

4 “stainless Steel Ip 65 Pressure Gauge 233.50.100 - Buy Pengukur Tekanan Oli,Pengukur Tekanan 233.50.10,Ip 65 Pengukur Tekanan Product on Alibaba.com
LAPORAN HASIL Seleksi Kompetensi Casar CPNS Tahun 2021 Titik Lokasi Gd. Wisma Haji Kota Madiun (SESI 17)

SENAR YONEX BG 65 TITANIUM ORIGINAL RAKET BADMINTON BG65 Ti ASLI 100% BULUTANGKIS | Lazada Indonesia

RUMAH DIJUAL: dijual rumah type 36, 45, 65, 100, 120, 155, 175 di purimas asri, sambutan

hasil dari 65 persen + 0,32 - 1/2 - Brainly.co.id

100 Buah/Banyak 65 Mm MS 65 90 Mm MS 90 130 Mm MS 130 Hitam PVC Datar Garis Penanda Kabel Marker Strip|Ikatan kabel| - AliExpress

Vaksinasi Guru 100 Persen, 65 Sekolah Gelar PTM - radartvnews | Portal Berita Lampung
COD✔️RAMBUT SAMBUNG 60-65 CM 100 HELAI (1IKAT) PROMO!!! PALING MURAH!! | Shopee Indonesia

Ubah 2,65 menjadi pecahan biasa

Buy Dove 100 kalori susu Chocolate Candy Bar 0,65-ons Bar 18-Count Box Online in Indonesia. B01N6EW21D

Jual BAJU TIDUR ANAK SETELAN PIYAMA BAYI SET LENGAN PANJANG BAHAN LEMBUT - CONY BROWN, 65/100 - Jakarta Barat - YourBabypedia | Tokopedia

Prakiraan Cuaca Wilayah Kab. Ngawi 2 Maret 2019 – PPID | Kab. Ngawi

LC - CELANA CARGO WANITA / JOGER CARGO BIG SIZE / MUAT BB 65 - 100 KG SUPER JUMBO | Lazada Indonesia

0,65 : 1,3 = pakai cara please - Brainly.co.id

Jual (Tas Gunung / Keril) Jack Wolfskin Denali 65 100% ORI Vietnam di Lapak ega ega ega | Bukalapak