
Diketahui tiga bilangan membentuk barisan aritmatika dangan jumlah ketiga bilangan tersebut 33 . - Brainly.co.id

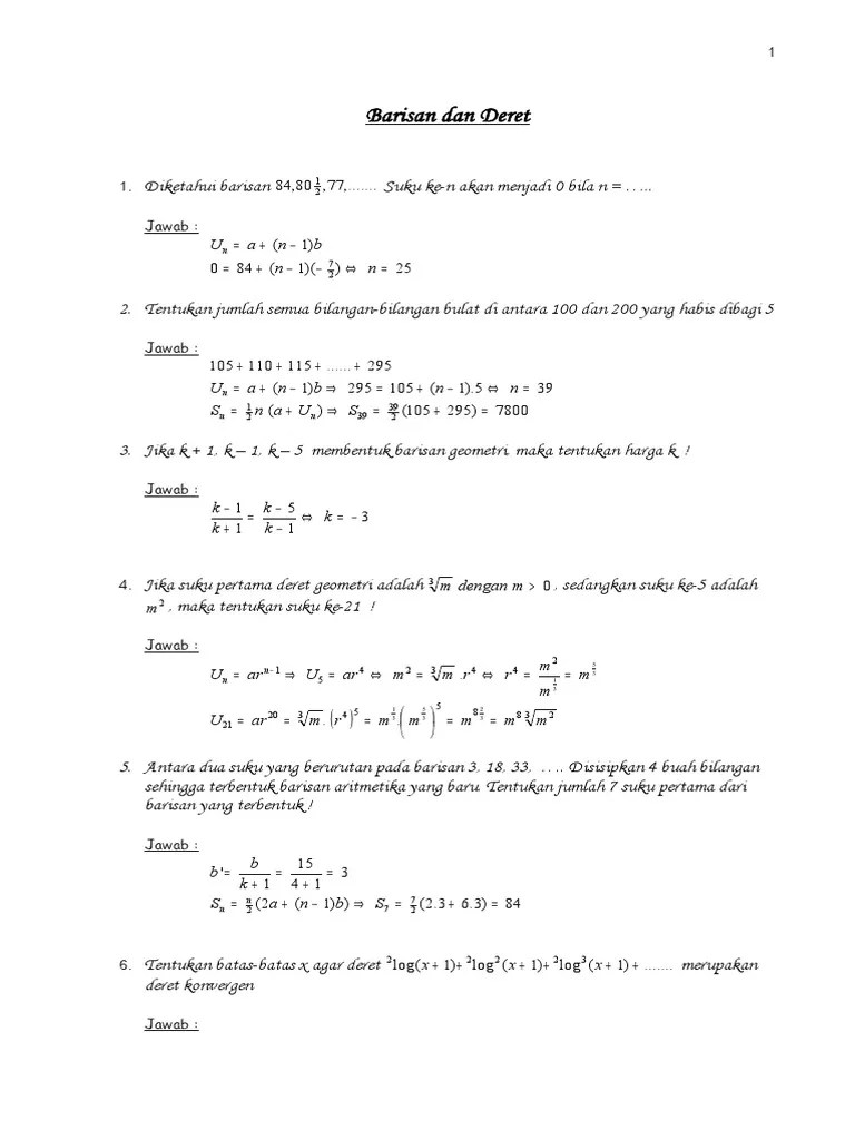
tiga bilangan membentuk barisan aritmatika. jika jumlah ketiga bilangan itu adalah 24 dan hasil - Brainly.co.id

tiga bilangan membentuk barisan aritmatika jika jumlahnya 15 dan hasil kalinya 105 tentukan - Brainly.co.id

diketahui tiga bilangan membentuk barisan aritmatika .jumlah ketiga bilangan itu adalah 30 dan - Brainly.co.id

Tiga Buah Bilangan Membentuk Barisan Aritmatika Dengan Beda Tiga – Edukasi.Lif.co.id

tiga bilangan membentuk barisan aritmatika,bse matematika kelas 9 k13, bab 2 , uk 02 No 15 - YouTube

Tiga bilangan membentuk barisan aritmatika dengan hasil penjumblahan ketiga bilangan tersebut - Brainly.co.id

tiga bilangan membentuk barisan aritmatika. jumlah ketiga bilangan adalah 15,sedangkan hasil kali ketiganya 80.tentukan ketiga bilangan

tiga buah bilangan membentuk barisan bilangan aritmetika.jumlah ketiga bilangan tersebut 36 dan - Brainly.co.id

barisan aritmatika menjadi geometri , bse matematika sma kelas x k 13 , uk 6,2 no 02 - YouTube

Soal 152. Tiga bilangan asli membentuk barisan aritmatika dengan geometri. Hasil kali ketiga bi

latihan soal dan pembahsan barisan dan deret

Tiga Bilangan Barisan Aritmetika - YouTube

tiga buah bilangan membentuk barisan aritmetika dengan beda 6. jika suku kedua dikurangi 2, - Brainly.co.id

Tiga buah bilangan membentuk barisan aritmatika dengan beda tiga. jika suku kedua dikurangi 1, maka terbentuklah barisan geometri

latihan soal dan pembahsan barisan dan deret

Soal Tiga bilangan membentuk barisan aritmetika. Jumlah ketiga bilangan itu 30 dan hasil kaliny

Tiga bilangan membentuk barisan aritmatika. Jika suku kedua dikurangi 1 dan suku ketiga ditambah 3, - Brainly.co.id

Tiga Buah Bilangan Membentuk Barisan Aritmatika Dengan Beda 3 - Terkait Perbedaan

3 bilangan barisan aritmetika.Jika jumlah ke3 bilangan 18 dan hasil kalinya 120,angka terbesarnya = - YouTube

Tiga buah bilangan membentuk barisan geometri. Jumlah ketiga bilangan tersebut sama dengan 35 - Mas Dayat

Tiga Buah Bilangan Membentuk Barisan Aritmatika Dengan Beda 3 - Tips Membedakan
Tiga bilangan membentuk barisan aritmetika. Jika j…
Tiga Bilangan Membentuk Barisan Aritmetika

latihan soal dan pembahsan barisan dan deret

Soal Tiga bilangan membentuk barisan aritmetika. Jumlah ketiga bilangan itu adalah 24 dan hasil

Tiga bilangan membentuk barisan geometri. jumlah ketiga bilangan adalah 13. jika bilangan ke-12 ditambah dua maka barisan itu akan

3 buah bilangan deret aritmetika. Jumlah ke3 bilangan itu 36 dan hasil kali ke3 bilangan itu 1140. - YouTube

Tiga Buah Bilangan Membentuk Barisan Aritmatika Dengan Beda Tiga - Terkait Perbedaan

Tiga bilangan bulat membentuk barisan aritmatika.Jika suku kedua ditambah 3,suku ketiga dikurangi - Brainly.co.id

latihan soal dan pembahsan barisan dan deret

2 A. 6. D. 36. - .12. Tiga bilangan membentuk barisan geometri. Hasil kali dan jumlah ketiga

Matematika Inovatif 3 Konsep dan Aplikasinya Konsep dan Aplikasinya (IPS) by Ayu Rahayu - issuu

Soal Tiga bilangan membentuk barisan aritmetika. Jika suku ketiga ditambah 2 dan suku kedua dik

BARISAN GEOMETRI BARISAN GEOMETRI DEFINISI Barisan geometri adalah

Oleh : Een Suhaenah,S.Pd SMA Negeri 1 Cibitung - ppt download

Tiga bilangan membentuk barisan aritmatika, jika jumlahnya 15 dan hasil kalinya 105.tentukan bilangan-bilangan tersebut
![]()
3 buah bilangan membentuk… | Lihat cara penyelesaian di QANDA
![]()
Tiga bilangan membentuk barisan aritmetika. Jumlah…

tiga buah bilangan membentuk barisan aritmatika. jumlah ketiga bilangan itu adalah 21 dan jumlah - Brainly.co.id

2 A. 6. D. 36. - .12. Tiga bilangan membentuk barisan geometri. Hasil kali dan jumlah ketiga
Soal Barisan Dan Deret Aritmatika | PDF

2 A. 6. D. 36. - .12. Tiga bilangan membentuk barisan geometri. Hasil kali dan jumlah ketiga
Notasi sigma Barisan dan Deret

Tiga Buah Bilangan Membentuk Barisan Aritmatika Dengan Beda 3 | Seputar Buah

Soal Tiga buah bilangan membentuk barisan aritmetika. Jika suku tengahnya dikurangi 5, maka aka
![]()
latihan soal dan pembahsan barisan dan deret

tiga bilangan membentuk barisan aritmatika jumlah ketiga bilangan tersebut 33 dan hasil kali 3 - Brainly.co.id

barisan geometri menjadi aritmatika , bse matematika sma kelas x k 13 , uk 6,2 no 03 - YouTube
Tiga bilangan membentuk suatu deret geometri naik….
BARISANdanDERET | PDF

Tiga Buah Bilangan Membentuk Barisan Aritmetika Dengan Beda Tiga - Seputar Bentuk

Soal Tiga buah bilangan membentuk barisan aritmatika, jika suku tengahnya dikurangi 5 maka akan

tiga bilangan membentuk barisan aritmatika.jumlah ketiga bilangan adalah 30 dan hasil kalinya 750. - Brainly.co.id

C. Barisan dan Deret Geometri - ppt download

pembahasan soal UTUL, UM UGM 2017 saintek, kode 714, matematika ipa, no 3, deret geometri - YouTube

- Tiga bilangan membentuk barisan aritmatika. Jika suku ke-3 ditambah 2 dan suku ke-2 dikurangi 2, diperoleh barisan geometri. Jika

2 A. 6. D. 36. - .12. Tiga bilangan membentuk barisan geometri. Hasil kali dan jumlah ketiga

Mathe haha

BARISAN DERET Oleh Drs Agus supawa Barisan orang

Tiga Buah Bilangan Membentuk Barisan Aritmatika Dengan Beda Tiga - Terkait Perbedaan

Soal Tiga bilangan positif membentuk barisan geometri dengan rasio _. Jika suku tengah ditambah
![]()
Jika tiga bilangan q s dan t membentuk barisan geometri maka A B C D E 14 Jika | Course Hero

Antara 24 dan 40 Disisipkan 3 Bilangan Sehingga Membentuk Barisan Aritmetika. Berapa Ketiga Bilangan Itu? - Solusi Matematika

Tiga bilangan membentuk barisan geometri dengan hasil penjumlahan bilangan tersebut adalah 26. Jika - Brainly.co.id

Aritmatika SMA - Limabelas bilangan membentuk deret aritmetika dengan beda negatif. Jika jumlah suku - YouTube
Diketahui tiga bilangan membentuk barisan aritmetika Jika…
![]()
Top PDF Soal Matematika SMA Barisan dan Deret 12 - 123dok.com
![]()
Jumlah tiga buah bilangan… | Lihat cara penyelesaian di QANDA

Soal Tiga buah bilangan membentuk barisan aritmetika. Jumlah ketiga bilangan tersebut 45, sedan

Oleh : Een Suhaenah,S.Pd SMA Negeri 1 Cibitung - ppt download
![]()
Modul Matematika SMA dan Soal Latihan 04 Latihan 02
![bilangan terkecil adalah Diket : 1 , 3 , 5 , 7 jumlah … SOAL BANYAK SOAL 16. Menentukan suku ke n DA dan DG A. Deret / barisan Aritmatika … Jumlah 3 bilangan barisan aritmatika - [PDF Document]](https://i2.wp.com/cdn.cupdf.com/img/1200x630/reader023/reader/2020111419/5adf631c7f8b9ac0428c1e55/r-1.jpg)
bilangan terkecil adalah Diket : 1 , 3 , 5 , 7 jumlah … SOAL BANYAK SOAL 16. Menentukan suku ke n DA dan DG A. Deret / barisan Aritmatika … Jumlah 3 bilangan barisan aritmatika - [PDF Document]

ETNIK_amor: Tiga buah bilangan membentuk barisan aritmatika. jika suku tengahnya dikurangi 5

Tiga buah bilangan membentuk barisan aritmatika, Jumlah k…

Tiga bilangan membentuk barisan aritmatika dengan hasil penjumblahan ketiga bilangan tersebut adalah 33 dan hasil kalinya 1.155. suku
BARISAN DAN DERET
Tiga bilangan membentuk barisan aritmetika. Jumlah…

BARISAN GEOMETRI BARISAN GEOMETRI DEFINISI Barisan geometri adalah
unggul-college.blogspot.com

Fix makalah-maksek-edit-lagi2

Diketahui a+1, a+2, a+3 membentuk barisan geometri. Agar ketiga suku ini membentuk barisan aritmetika, suku ketiga harus ditambah dengan. - Smatematika.com

Soal Tiga buah bilangan membentuk barisan aritmetika. Bila suku tengah dikurangi 6 dan suku akh
Tiga bilangan bulat positif membentuk barisan aritmetika dengan beda 16. Jika bilangan yang terkecil…. Question from @i90

Tiga Bilangan Barisan Aritmetika - YouTube
Tiga Buah Bilangan Membentuk Barisan Aritmatika Dengan Beda 3 - Terkait Perbedaan

Tiga bilangan membentuk barisan geometri. jumlah ketiga bilangan adalah 13. jika bilangan ke-12 ditambah dua maka barisan itu akan
Barisan Bilangan Aritmetika Terdiri Atas 21 Suku
![]()
MA 96 08 Jumlah 5 buah bilangan yang membentuk barisan arit matika adalah 75 | Course Hero
Tiga buah bilangan membentuk barisan aritmatika. Jika jum…

Matematika Akuntansi by Niena Vianora - issuu

Soal Latihan Barisan dan Deret (Aritmatika dan Geometri) - Blog Matematika

Oleh : Een Suhaenah,S.Pd SMA Negeri 1 Cibitung - ppt download

tiga bilangan membentuk barisan aritmatika jumlah ketiga bilangan 45 dari hasil kalinya 3.696 - Brainly.co.id
![]()
Latihan Materi Aljabar (1) Selesaikan persamaan
![]()
PDF) SOAL MATEMATIKA UNTUK SMA | Ivan Ivan - Academia.edu

Barisan dan Deret Barisan adalah suatu susunan bilangan

Soal 5. Tiga bilangan membentuk barisan aritmetika. Jumiah ketiga bilangan itu adalah 18 dan ha

Tiga buah bilangan positif membentuk barisan aritmetika dengan beda 6. Jika bilangan yang terbesar ditambah 12, maka diperole barisan geometri. Jumlah tiga bilangan tersebut adalah… - Matematika
unggul-college.blogspot.com