Teorema binomial - Wikipedia bahasa Indonesia, ensiklopedia bebas

Teorema Binomial | Pendidikan Matematika

Pembuktian Teorema Binomial - YouTube

Demonstrasi dan Contoh Teorema Binomial / Matematika | Thpanorama - Jadikan diri Anda lebih baik hari ini!

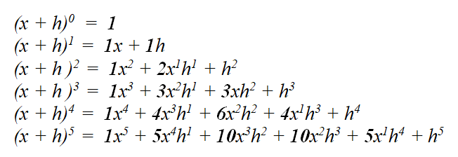
Teorema Binomial Umum

TEOREMA BINOMIAL | Nico For Math
![Contoh Soal Teorema Binomial dan Jawaban [+Pembahasan]](https://i2.wp.com/soalkimia.com/wp-content/uploads/2020/03/teorema-binomial-1.jpg)
Contoh Soal Teorema Binomial dan Jawaban [+Pembahasan]

Rifandy Blog: PEMBUKTIAN TEOREMA BINOMIAL DAN MULTINOMIAL

Kombinasi dan Binomial Newton dalam Teori Peluang| Matematika Kelas 12

Teorema Binomial: Pembuktian dengan Induksi Matematika

Koefisien Binomial (Ekspansi Binomial) - SM BLOG

Binomial Newton - Pengertian, Teorema, Pembuktian dan Contohnya

Teorema Binomial Newton dan Mencari Koefisien Suku dengan Kombinasi - YouTube

Teorema binomial - Wikipidia basa Banjar, insiklupidia bibas
![]()
Segitiga Pascal Teorema Binomial Matematika Koefisien Binomial, Matematika, png | PNGEgg

Koefisien Binomial

Teorema Binomial Kelompok ppt download
![]()
PDF) KOEFISIEN BINOMIAL | Rizki Erriagusta - Academia.edu
Konsep Binomial Newton (Ekspansi Newton) ~ Konsep Matematika (KoMa)

Mata Kuliah :Teori Bilangan - ppt download

Soal Jabarkan bentuk _ menggunakan teorema binomial Newton.

Memahami Binomial Newton dan Juga Kombinasi - Kelas Pintar

Pembuktian Teorema Binomial (Teorema 1.7) - YouTube

Pembuktian Teorema Binomial dengan Induksi Matematika | Pendidikan Matematika
![]()
Teorema binomial - Wikipedia bahasa Indonesia, ensiklopedia bebas
Koefisien Binomial | PDF

Koefisien Binomial Teorema Binomial Bukti - ppt download
PEMBUKTIAN TEOREMA BINOMIAL DAN MULTINOMIAL

Teorema Binomial, Koefisien Binomial, Matematika gambar png

Fungsi Pembangkit Generating Functions Fungsi pembangkit digunakan untuk
Adakah yang bisa menjelaskan kepada saya tentang teorema binomial Newton? - Quora

MGF Distribusi Binomial

3 1 Mengenal Teorema Binomial Newton - YouTube

Soal Induksi Matematika & Teorema Binomial Beserta Jawabannya
Contoh Soal Teorema Binomial Pilihan Ganda Dan Kunci Jawaban Beserta Pembahasan | PDF

Koefisien Binomial. - ppt download

Soal dan Pembahasan - Teorema Binomial dan Perluasannya - Mathcyber1997
![]()
MAKALAH TEOREMA BINOMIAL

Soal Konsep kombinasi dapat digunakan dalam teorema binomial untuk menen- tukan koefisien dari

Pembuktian Binomial Newton Dengan Induksi Matematika | Matematika

Teorema Binomial Kelompok 1 DISUSUN OLEH Abdul Muhit

Teorema Binomial Diperluas - SM BLOG

Teorema multinomial dan prinsip sarang merpati

Pembuktian Teorema Binomial Dan Multinomial - PDFCOFFEE.COM

3 1 Mengenal Teorema Binomial Newton - YouTube

Kombinasi dan Binomial Newton dalam Teori Peluang| Matematika Kelas 12

Nomor Matematika Saīsinātās reizināšanas rumus Seri Teorema Binomial, Matematika, sudut, teks png | PNGEgg

Ingatlah kembali teorema binomial sebagai berikut. (x+y)^…

Contoh Soal Teorema Binomial – Nasi

Teorema binomial

Teorema Binomial - M4TH-LAB
MGF Distribusi Binomial

Induksi Matematika Dan Teorema Binomial - Free Download PDF
Teori Binomial Dengan Penjelasan Sifat | PDF
![]()
MAKALAH TEOREMA BINOMIAL docx 1

MATHEMATICS INDUCTION AND BINOM THEOREM - ppt download
Apa itu Teorema Binomial? - Quora

Teorema Binomial unduh gratis - Pascal segitiga Pascal Taruhan Matematika Nomor - segitiga gambar png

Memahami Binomial Newton dan Juga Kombinasi - Kelas Pintar
![Induksi Matematika dan Teorema Binomial - .Cara lain untuk membuktikan pernyataan itu dilakukan dengan - [PDF Document]](https://i1.wp.com/demo.fdokumen.com/img/378x509/reader025/reader/2021042905/5c7ba53009d3f264308ca5d9/r-1.jpg)
Induksi Matematika dan Teorema Binomial - .Cara lain untuk membuktikan pernyataan itu dilakukan dengan - [PDF Document]

MGF Distribusi Binomial

Distribusi Binomial Distribusi Bernoulli Teorema Binomial Persidangan Bernoulli, lainnya, png | PNGEgg

Segitiga Pascal Teorema sudut eksterior Teorema binomial Sudut internal, segitiga, png | PNGWing

PENERAPAN TEOREMA BINOMIAL UNTUK MENENTUKAN PELUANG KEJADIAN (KASUS :PERCOBAAN PELEMPARAN KOIN TAK SEIMBANG) | SCIENCE TECH

PPT - MATHEMATICS INDUCTION AND BINOM THEOREM PowerPoint Presentation, free download - ID:3955748

TEOREMA BINOMIAL ~ STMIK Swadharma

Teorema multinomial dan prinsip sarang merpati

Contoh Soal Teorema Binomial Pilihan Ganda dan Kunci Jawaban beserta Pembahasan - Dalam matamatika bidang aljabar elementer, teorema binomial | Kunci
![Kelompok 5 Teorema Binomial [PDF|TXT]](https://i3.wp.com/html.pdfcookie.com/02/2020/01/15/mly0gpx33520/bg5.jpg)
Kelompok 5 Teorema Binomial [PDF|TXT]

teorema binomial | Formula & Definisi

PENGEMBANGAN BAHAN AJAR MATERI INDUKSI MATEMATIKA DAN TEORI BINOMIAL BERBASIS PEMBUKTIAN - PDF Free Download
PENGEMBANGAN BAHAN AJAR MATERI INDUKSI MATEMATIKA DAN TEORI BINOMIAL BERBASIS PEMBUKTIAN
![Induksi Matematik dan Teorema Binomial - Matematik dan … teorema atau pernyataan matematika yang semesta pembicaraannya himpunan bilangan bulat atau lebih khusus himpunan bilangan - [PDF Document]](https://i1.wp.com/demo.fdokumen.com/img/378x509/reader024/reader/2021010104/5a79953c7f8b9a20368d7abc/r-2.jpg)
Induksi Matematik dan Teorema Binomial - Matematik dan … teorema atau pernyataan matematika yang semesta pembicaraannya himpunan bilangan bulat atau lebih khusus himpunan bilangan - [PDF Document]
![]()
Teorema Binomial Presentasi Matematika
Teorema Binomial | PDF
![]()
DOC) MADIS koefisien binomial L | ARI PRATAMA - Academia.edu

Sang Pemurung: Isaac Newton Penemu Teorema Binomial Umum - KOMPAS.PAPUA

3 4 Teorema Binomial yang diperumum - YouTube

PPT - Pertemuan 3 TEOREMA BINOMIAL DAN MULTINOMIAL PowerPoint Presentation - ID:3683995
Bagaimana cara membuktikan bahwa 3^(2n+2)-8n-9 habis dibagi 64 dengan menggunakan teorema binomial - Quora

Teorema Binomial | Variez
![]()
Aula: O Teorema Binomial | Nagwa

Induksi Matematik dan Teorema Binomial - Matematik dan … teorema atau pernyataan matematika yang semesta pembicaraannya himpunan bilangan

04.Teori Bilangan PEMA4312_Edisi 1 Pages 51 - 100 - Flip PDF Download | FlipHTML5

Soal Tentukan bentuk binomial dan tentukan koefisien dari suku yang diminta _ suku _
![]()
kelas11_matematika-ipa_nugroho-maryanto by s. van selagan - issuu

5 permutasi dan kombinasi
![]()
Binomial Theorem on Green Chalkboard Stock Illustration - Illustration of calculating, icon: 86928519

Oleh : Septi Fajarwati, S. Pd S1-Teknik Informatika . - ppt download

tentukan koefisien x pangkat 24 dari bentuk (x^3 + x^4 + … + x^12)^4^ ini pangkat ya… tolong - Brainly.co.id

Nilai Harapan Distribusi Binomial Negatif

farhana rohayati: Teorema Binomial

O Teorema Binomial - MathCracker.com
![k on Twitter: “—🔮kombinasi & binomial newton! [sumber: rg, privat al faiz, https://t.co/4KKNdc1vtU]… “](https://i3.wp.com/pbs.twimg.com/media/EbgBpwUVcAAb0IP.jpg)
k on Twitter: “—🔮kombinasi & binomial newton! [sumber: rg, privat al faiz, https://t.co/4KKNdc1vtU]… "

Teorema Binomial Newton dan Mencari Koefisien Suku dengan Kombinasi - YouTube
LATIHAN MEMBUAT SLIDE 1 | Mathematics - Quizizz
Teorema Binomial Diperluas | PDF
![Induksi Matematika dan Teorema Binomial - .Cara lain untuk membuktikan pernyataan itu dilakukan dengan - [PDF Document]](https://i1.wp.com/cdn.cupdf.com/img/1200x630/reader025/reader/2021042905/5c7ba53009d3f264308ca5d9/r-1.jpg)
Induksi Matematika dan Teorema Binomial - .Cara lain untuk membuktikan pernyataan itu dilakukan dengan - [PDF Document]

Soal Konsep kombinasi dapat digunakan dalam teorema binomial untuk menen- tukan koefisien dari
Bagaimana cara memperbesar binomial (x+y) ^10 - Quora