
tekanan Uap jenuh air pada 25 derajat Celcius adalah 23,76mmHG. Berapakah tekanan uap jenuh larutan - Brainly.co.id

- Tekanan uap air pada suhu 25 derajat C = 23,76 mmHg pada suhu yang sama ditambahkan urea - Brainly.co.id

Contoh Soal dan Pembahasan Penurunan Tekanan Uap (ΔP) – Post 2 ~ Chemistry is Fun

tekanan uap air pada suhu 25°c adalah 23,76 mmHg. Tekanan uap larutan yang mengandung 5,4 gram zat - Brainly.co.id

Contoh Soal dan Pembahasan Penurunan Tekanan Uap (ΔP) – Post 2 ~ Chemistry is Fun

Tekanan uap air pada 25°C adalah 23,8 torr dan pada 100°C adakah 760 torr. dengan menggunakan persamaan Van der waals dalam satu

Sebanyak 100 gram sukrosa (mr = 342) dilarutkan dalam 500 gram air pada suhu 25 derajat celcius - Brainly.co.id

Contoh Soal dan Pembahasan Penurunan Tekanan Uap (ΔP) – Post 2 ~ Chemistry is Fun

50+ Soal Sifat Koligatif Larutan (SOAL UAS KIMIA) Pilihan Ganda Beserta Pembahasannya Terlengkap

- Tekanan uap air pada 26°C adalah 25,21 mmHg. Berapa tekanan uap larutan yang mengandung 20,0 g - Brainly.co.id
![]()
Soal Latihan UTS Kimia Kelas XII bab sifat koligatif larutan

1 Atm Berapa Torr

Bahan Kuliah Kimia TPB Bab IV - ppt download
1 Torr Berapa Mmhg
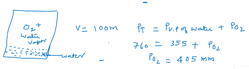
Tekanan uap air adalah 355 torr. Bejana 100 ml berisi oksigen jenuh air, tekanan gas total 760 torr. Isi dipompa ke dalam bejana 50 ml. Berapa tekanan parsial oksigen dan uap air
Soal Sifat Koligatif Larutan Buku Esis | PDF

Soal Latihan UTS Kimia Kelas XII bab sifat koligatif larutan

Sifat Koligatif Larutan | Ega YoZa
Dibawah ini larutan yang mempunyai tekanan uap pal…

50+ Soal Sifat Koligatif Larutan (SOAL UAS KIMIA) Pilihan Ganda Beserta Pembahasannya Terlengkap
![]()
3 Cara untuk Menghitung Tekanan Uap - wikiHow

Tekanan uap air pada 29ºC diketahui sebesar 30 mmHg. Pada suhu yang sama tentukan tekanan uap - Mas Dayat
Kimia - Sifat Koligatif Larutan | PDF
![]()
3 Cara untuk Menghitung Tekanan Uap - wikiHow

Sifat Koligatif Larutan Elektrolit dan Non Elektrolit, Contoh Soal, Pembahasan

Tutorial Singkat Menjawab Soal Kimia Bab Sifat Koligatif Larutan Bagian 2 (Penurunan Tekanan Uap) - Your Chemistry A+
Dibawah ini larutan yang mempunyai tekanan uap pal…

Sifat Koligatif Larutan | Ega YoZa

Tekanan uap jenuh air pada suhu 280C adalah 28,35 mmHg. Tentukan penurunan tekanan uap jenuh air - Mas Dayat
![]()
SOAL SOAL KIMIA KELAS XII IPA 1.docx - SOAL SOAL KIMIA KELAS XII IPA 3 KELOMPOK 1 \u2013 XII MIA 3(Penurunan Tekanan Uap Non Elektrolit 1 Perhatikan gambar | Course Hero
Apakah ada persamaan yang dapat digunakan untuk menghitung volume air pada suhu yang berbeda? - Quora

Pembahasan Soal Kimia Nomor 40 SBMPTN 2018 Semua Kode Soal - Kesetimbangan Kimia - Urip dot Info

Contoh Soal dan Pembahasan Penurunan Tekanan Uap (ΔP) – Post 2 ~ Chemistry is Fun

Rumus Kimia dan Contoh Soal Beserta Ulasannya - Kelas Pintar

Sifat Koligatif Larutan

1 Torr Berapa Mmhg

KIMIA FISIK I 3 (3-0) Tim Pengajar: 1. Komar Sutriah - ppt download

Contoh soal penurunan tekanan uap dan pembahasan – Soalfismat.com
![Terlengkap] Rangkuman,100+ Contoh Soal Sifat Koligatif Larutan](https://i0.wp.com/tanya-tanya.com/wp-content/plugins/wp-youtube-lyte/lyteCache.php?origThumbUrl=https%3A%2F%2Fi.ytimg.com%2Fvi%2Fq1SoT6VAhgg%2F0.jpg )
Terlengkap] Rangkuman,100+ Contoh Soal Sifat Koligatif Larutan
![]()
SOAL SOAL KIMIA KELAS XII IPA 1.docx - SOAL SOAL KIMIA KELAS XII IPA 3 KELOMPOK 1 \u2013 XII MIA 3(Penurunan Tekanan Uap Non Elektrolit 1 Perhatikan gambar | Course Hero

Contoh Soal Penurunan Tekanan Uap dan Pembahasannya

SOAL KOLIGATIF

Sebanyak 18 g glukosa(Mr=180) dilarutkan dlm 90 g air (Mr=18).Jika tekanan uap air jenuh pda suhu30° - YouTube

Contoh

tekanan uap suatu cairan murni pada temperatur 25 derajat C adalah 40 mmhg. hitunglah tekanan uap - Brainly.co.id
Kumpulan Soal Dan Jawaban Kimfis Kelompok 1 - 9 | PDF
![]()
3 Cara untuk Menghitung Tekanan Uap - wikiHow

Sifat Koligatif Larutan | Ega YoZa
Mengapa air yang disimpan dalam ruang vakum mendidih dingin? - Quora

Rangkuman Materi & 44 Contoh Soal Reaksi Kesetimbangan Dan Pembahasannya
Pembahasan Soal Pilihan Ganda OSK 2017 Bidang Kimia - Urip dot Info

50+ Soal Sifat Koligatif Larutan (SOAL UAS KIMIA) Pilihan Ganda Beserta Pembahasannya Terlengkap

Pengertian Sifat Koligatif Larutan dan Contohnya Dengan Penjelasan Terlengkap | Ilmu Pengetahuan Alam (IPA)

Laju Penguapan Air Per Luas Permukaan

45+ Soal Sifat Koligatif Larutan Pilihan Ganda dan Jawaban
1 Torr Berapa Mmhg
![Rumus Perhitungan Sifat Koligatif Larutan - [PDF Document]](https://i3.wp.com/reader020.staticloud.net/reader020/html5/20190922/5571fbcc497959916995d622/bg4.png)
Rumus Perhitungan Sifat Koligatif Larutan - [PDF Document]

Contoh Soal dan Pembahasan Penurunan Tekanan Uap (ΔP) – Post 2 ~ Chemistry is Fun

Sifat Koligatif Larutan Elektrolit dan Non Elektrolit, Contoh Soal, Pembahasan
![]()
kumpulan soal hukum-hukum gas

Contoh Soal Penurunan Tekanan Uap dan Pembahasannya

DISTILASI/PENYULINGAN - ppt download
APLIKASI TEKNOLOGI PENGGORENGAN VAKUM PADA PRODUKSI KERIPIK UDANG (L. vannamei) DENGAN PERLAKUAN PEMBEKUAN APPLICATION OF VACUU

Praktis_Belajar_Fisika_2_Kelas_11_Aip_Sripudin_Dede_Rustiawan_K_Adit_Suganda_2009_Neat-Flip eBook Pages 151 - 200| AnyFlip | AnyFlip
Untitled

BAB 4. WUJUD ZAT 1. WUJUD GAS 2. HUKUM GAS 3. HUKUM GAS IDEAL 4. GAS NYATA 5. CAIRAN DAN PADATAN 6. GAYA ANTARMOLEKUL 7. TRANSISI FASA 8. - PDF Free Download
![4 Sifat Koligatif Larutan: Contoh Soal dan Pembahasan [Lengkap] | Statmat.net](https://i3.wp.com/www.statmat.net/wp-content/uploads/2021/01/penurunan-titik-beku.jpg)
4 Sifat Koligatif Larutan: Contoh Soal dan Pembahasan [Lengkap] | Statmat.net
![]()
Hukum Raoult - Campuran / Larutan Ideal, Tekanan Uap, Soal & Jawaban

Yang bisa kimia bantu dong

Rumus Perhitungan Sifat Koligatif Larutan
![]()
PDF) Diktat NME trans 03 | dadi priono - Academia.edu
KIMIA FISIKA 1
298 Cover

tekanan uap air pada 20°C adalah 17,5 mmHg. jika 10,0 g NaCl dilarutkan ke dalam 1,00 kg air dan - Brainly.co.id
Sifat Fisik Larutan | Chemistry - Quizizz
![Rumus Perhitungan Sifat Koligatif Larutan - [PDF Document]](https://i0.wp.com/reader008.fdokumen.com/reader008/html5/090712/6136fb77dc2e0/6136fb80454f2.jpg)
Rumus Perhitungan Sifat Koligatif Larutan - [PDF Document]
Untitled

download
![]()
3 Cara untuk Menghitung Tekanan Uap - wikiHow
Larutan
![]()
isian SOAL SIFAT KOLIGATIF LARUTAN.docx - SOAL-SOAL SIFAT KOLIGATIF LARUTAN 1 2 3 4 5 Soal-Soal Tekanan Uap Hitunglah penurunan tekanan uap jenuh | Course Hero
![Dasar Dasar Kontrol Pnematik [PDF|TXT]](https://i1.wp.com/html.pdfcookie.com/02/2019/11/26/ro2ny8nmw5v4/bgf.jpg)
Dasar Dasar Kontrol Pnematik [PDF|TXT]
Tekanan uap jenuh dari 5,6 gram elektrolit kuat bi…
![]()
Hukum Raoult - Campuran / Larutan Ideal, Tekanan Uap, Soal & Jawaban
![]()
PDF) KUNCI JAWABAN DAN PEMBAHASAN KIMIA 12 KUR | Fira Fira - Academia.edu
Soal Kimia Sifat Koligatif | PDF

Rangkuman Materi, Contoh Soal Konsep Mol & Stoikiometri & Pembahasan
Output file
Scanned Image

Mikrajuddin Abdullah - Fisika Dasar I 20
• •

DiktatNME Trans 03
![]()
Jawaban Secara Rinci Soal OSN Kimia SMAMA tingkat KabupatenKota 2017 (2)
![]()
Temperature, Panas dan Hukum Ke I Termodinamika.en.id-Flip eBook Pages 1 - 35| AnyFlip | AnyFlip
Daftar isi + FisikaLingkungan_k1_restu
K I A I M ORGANIK

Kamus Kimia A sampai Z
Jika air mendidih pada 100 derajat C di permukaan laut, berapa tinggi air yang harus mendidih pada nol derajat C? - Quora
data

Soal Pada pembentukan 1 mol air dari gas hidrogen dan gas oksigen pada 25 ^(@)C(298” “K),1” “atm