
Pembahasan SBMPTN 2013 MATAS-MATRIKS - YouTube

Mohon bantuannya untuk soal matematika matriks sbmptn - Brainly.co.id

Soal matriks sbmptn, tolong jawab yaa - Brainly.co.id

LATIHAN SOAL MATEMATIKA SBMPTN Matriks Soal No. 8 - YouTube

60+ Soal dan Pembahasan Matematika Dasar SMA Matriks | defantri.com

SBMPTN MATEMATIKA DASAR SOSHUM 2016 kode317, Matriks Invers - YouTube

SBMPTN MATEMATIKA DASAR SOSHUM 2016-Matriks 2016 KODE 322 - YouTube
25++ Contoh Soal Matriks Sbmptn - Kumpulan Contoh Soal
Kumpulan Soal SNMPTN SBMPTN Materi Matriks

pembahasan soal SBMPTN 2018 TKPA matematika dasar no 47 matriks - YouTube
Soal Matriks Sbmptn Beserta Pembahasan

Soal Matriks SBMPTN Keterangan : 1-5 =Option A-Ebang jawab bang

Materi Super Lengkap Matriks beserta Contoh Soal (UTBK SBMPTN, SIMAK UI,UGM) - ruang para bintang : Berbagi informasi tentang PTN dan Pembahasan Soal-Soal

BIMBEL SBMPTN YOGYAKARTA 2020: Soal HOTS SBMPTN Determinan Matriks Terkini
Soal Matriks Sbmptn Beserta Pembahasan

Soal Asli UTBK 2019 Matematika Saintek Determinan Matriks - YouTube
Kumpulan Soal SNMPTN SBMPTN Materi Matriks | PDF

Contoh Soal SBMPTN Sifat Determinan Matriks - SM BLOG

Pembahasan Soal Matriks Sbmptn 2014

Contoh Soal Matriks Sbmptn

Soal dan Pembahasan Matematika Matriks (1-5) | Istana Mengajar

Soal Asli UTBK 2019 Matematika Saintek Determinan Matriks - YouTube | Matematika, Pengetahuan, Persamaan

Pahami Lagi Alokasi Waktu dan Cara Jawab Soal UTBK SBMPTN, Download Contoh Soal di Sini - Halaman 3 - Tribunkaltim.co

pembahasan soal SBMPTN 2017 TKPA matematika dasarl, no 46, matriks - YouTube
Kumpulan Soal SNMPTN SBMPTN Materi Matriks

Contoh Soal SBMPTN Matriks I - SM BLOG

Ujian Tulis Berbasis Komputer - Pembahasan UN dan SBMPTN (1) Offered by Unacademy

Contoh Soal Dan Jawaban Matriks

Soal dan Pembahasan - Matriks, Determinan, dan Invers Matriks (Versi HOTS dan Olimpiade) - Mathcyber1997
![Soal SBMPTN : Matriks x Logaritma]… - World of Equations | Facebook](https://i3.wp.com/lookaside.fbsbx.com/lookaside/crawler/media/?media_id=1123907317816865 )
Soal SBMPTN : Matriks x Logaritma]… - World of Equations | Facebook

UTBK 2019 Matematika Saintek - Matriks - YouTube

Soal SBMPTN 2014 + Kunci Jawaban - SoalUjian.Net

Soal Matriks Sbmptn – Goreng
Pembahasan TKPA Matematika Dasar SBMPTN 2016 (Kode Soal 321) (2) | Math IS Beautiful

Soal Sbmptn Matematika Matriks
![]()
Download Bank Soal Matematika di

Ujian Tulis Berbasis Komputer - Soal dan Pembahasan Matriks (UN, SBMPTN) by Unacademy

Soal Asli UTBK 2019 Matematika Soshum-Determinan Matriks - YouTube

Download Koleksi Lengkap Soal Matematika Dasar SBMPTN (Seleksi PTN) Materi Matriks Tahun 1992 sampai 2017 - M4TH-LAB
Contoh Soal Sbmptn Matriks Dan Pembahasannya - Berbagi Contoh Soal

Kumpulan Soal Matriks Seleksi Masuk PTN ~ Konsep Matematika (KoMa)
Soal Sbmptn 2016 Matematika - Revisi Id

Cara Mencari Nilai x dan y pada Matriks | idschool

Materi Super Lengkap Matriks beserta Contoh Soal (UTBK SBMPTN, SIMAK UI,UGM) - ruang para bintang : Berbagi informasi tentang PTN dan Pembahasan Soal-Soal
![]()
15+ Soal matematika matriks dan kunci jawaban image ideas | Pedia Edu

Materi Matriks Matematika Lengkap

Contoh Soal Matriks Dan Jawabannya Kelas 10

Contoh Soal Invers Matriks

MARETONG: Soal dan Pembahasan Matriks

- Soal-soal Matriks

matemantika belajar matematika online instagram soal dan pembahasan UTBK 2019 SBMPTN 2020 persiapan UTBK 2020 | Matematika, Matematika sma, Belajar

MATRIKS 2 | Soal Bertipe SBMPTN, UM UGM, SIMAK UI | QWERTY
Soal Hots Determinan Matriks | PDF

Soal Sbmptn Tentang Matriks

SOAL SBMPTN MATRIKS TOLONG DIJAWAB MEMBINGUNGKAN

Kelas 12, Yuk Belajar Matriks dan Contoh Soalnya di Sini!

Contoh Soal Matriks | dosenpintar.com

Contoh Soal Matriks Sbmptn

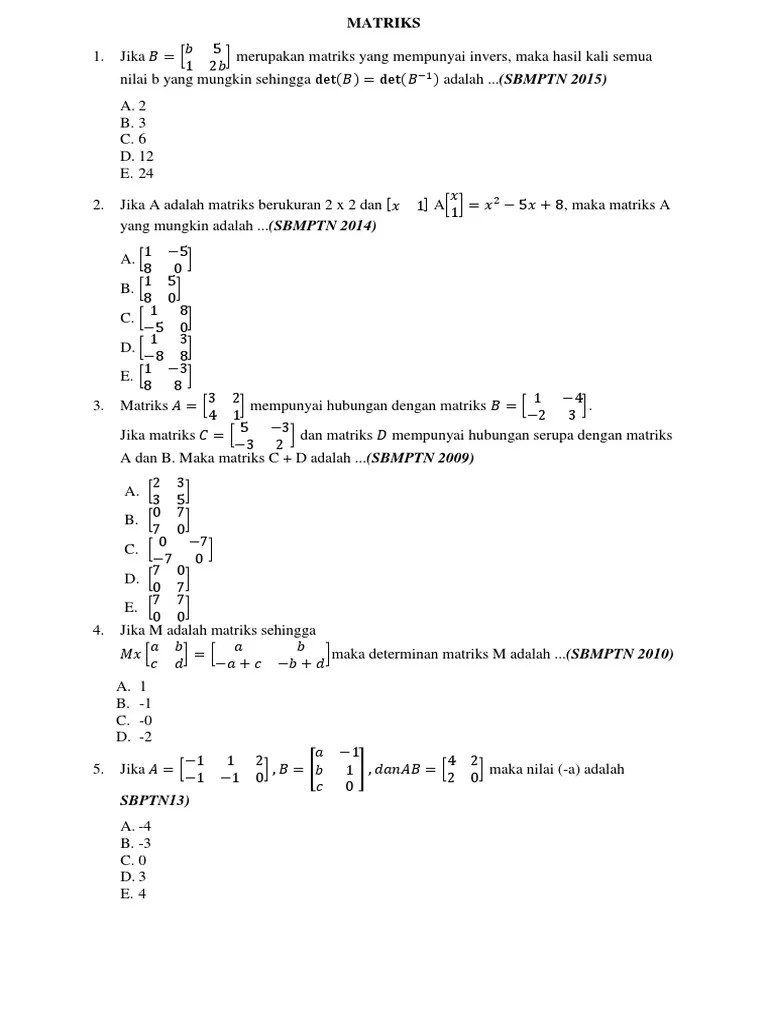
Jika A adalah matriks berukuran 2 × 2 - Fahmy Alhafidz
Soal Dan Pembahasan Tentang Matriks - Peranti Guru

Latihan Soal SBMPTN
![]()
Kumpulan Soal Soal Matematika Matriks

Fisika Matematika : Nilai Eigen dari Matriks + Contoh Soal | QWERTY

29++ Contoh Soal Jawaban Matriks - Kumpulan Contoh Soal

Soal Dan Jawaban Matematika Matriks Kelas 10 - Kumpulan Contoh Surat dan Soal Terlengkap

Determinan Matriks,Invers Matriks, Sifat-sifatnya | idschool
![]()
Rangkuman, Contoh Soal Matriks Jawaban+Pembahasan

matriks soal latihan sbmptn - Brainly.co.id

Kumpulan Soal SNMPTN SBMPTN Materi Matriks
Soal dan Pembahasan Matriks - MathTrick1994

Matematika Dasar SBMPTN Tentang Matriks! Lengkap dengan Pembahasan

Materi Super Lengkap Matriks beserta Contoh Soal (UTBK SBMPTN, SIMAK UI,UGM) - ruang para bintang : Berbagi informasi tentang PTN dan Pembahasan Soal-Soal

Rumus, Contoh Soal, dan Pembahasan Perkalian Matriks

Pembahasan Soal Matriks Ujian Nasional 2018

Apa itu Adjoin Matriks? Dan Bagaimana Cara untuk Mencarinya?

Contoh Soal Pilihan Ganda Matriks, Pembahasan, Pengertian dan Jenis-Jenisnya | destara.xyz

Contoh Soal Matriks Dan Jawabannya Kelas 11 Brainly
UTBK Sbmptn - Soal UTBK 2019 Share ya ke grup belajar kalian #utbk | Facebook

Soal Kesamaan Matriks – Kami

Contoh Soal Matriks Nilai X Dan Y
Kumpulan Soal Un Matriks – Beinyu.com

- Soal-soal Matriks - ? ‚ - 1 19. SOAL-SOAL MATRIKS EBTANAS1998 1. … Soal-soal Author: Purwanto Wahyudi Created Date: 5/15/2010 9:43:22 PM

Soal Matriks Sbmptn Dan Pembahasan

Soal Asli UTBK 2019 Matematika Soshum Matriks - YouTube
Nilai a + b + c memenuhi persamaan matriks: ada…

Contoh Soal Cerita Matriks

Prediksi Soal Pengukuran Matematika Saintek SBMPTN 2021 - Kabarini.com

Video Bimbel Online Matriks SBMPTN dan Ujian Mandiri - Platform Pembelajaran Online dengan Kualitas Terbaik di Indonesia

SolveMath 🇮🇩 on Twitter: “Tips matriks pangkat tinggi: Cari pola!… "

Mengenal Jenis-jenis Matriks, Apa Saja? - Kelas Pintar

Pembahasan soal UN 2012 Matriks

Mengenal Matriks: Pengertian, Jenis, dan Transpose | Matematika Kelas 11

SOAL/SBMPTN/2020/TPS/-/5 – Bang Soal

Menyelesaikan SPL dengan Matriks | idschool

30+ Soal dan Pembahasan Matematika Dasar SMA Persamaan Kuadrat | defantri.com
![UJIAN SARINGAN MASUK PERGURUAN TINGGI NEGERI .3 | Jejak1000Pena, Soal dan Solusi Matriks Ujian Saringan - [PDF Document]](https://i1.wp.com/demo.fdokumen.com/img/378x509/reader022/reader/2020050206/5d14a99288c993b5158e0e85/r-1.jpg)
UJIAN SARINGAN MASUK PERGURUAN TINGGI NEGERI .3 | Jejak1000Pena, Soal dan Solusi Matriks Ujian Saringan - [PDF Document]

Ujian Tulis Berbasis Komputer - SPLTV (Metode Determinan/Cramer) Offered by Unacademy

Contoh Soal Matriks Definit Positif 50+ 2021

Model Soal Sbmptn Determinan, Perkalian, & Invers Matriks - Mata Pelajaran