nilai tan 15 derajat - Brainly.co.id
nilai tan 15 derajat - Brainly.co.id

Nilai tan 15 adalah - YouTube

Nilai tan 15 derajat - YouTube

Tentukan nilai dari: a. sin 15° b. cos 15° c. tan 15° d. tan 165° e. cos 165° f. cosec 165° - Mas Dayat

Nilai dari Sin, Cos, Tan 15 Derajat - SM BLOG

rumus tan 15 derajat gmn y? - Brainly.co.id

Nilai tan 15 derajat - YouTube

Tentukan nilai dari: a. sin 15° b. cos 15° c. tan 15° d. tan 165° e. cos 165° f. cosec 165° - Mas Dayat

rumus tan 15 derajat gmn y? - Brainly.co.id

Hitunglah nilai tan 75°+tan 15°
IMATH: Menggunakan Rumus Jumlah dan Selisih Sudut Pada Trigonometri

Nilai dari Sin, Cos, Tan 15 Derajat - SM BLOG

hasil dari tan 15 derajat - Brainly.co.id

Paling Laju Tan 15

Nilai dari tan 75° + tan 15° / tan 75° - tan 15° adalah… Tolong bantu jawab ya:)

Contoh soal sudut ganda – cos, sin & tan – Soalfismat.com

Jika tan 15° = m, maka nilai dari tan 165° - tan 105° / 1 + tan 165° . tan 105° = ? - Brainly.co.id

Soal tan 75^(@)+tan 15^(@) tan Ts^(4)-tan 15^(+)

Soal Nilai dari (sin 15^(@)-cos 15^(@))/(tan 15^(@)) adalah…

Nilai dari tan 15° tan 60° tan 75° adalah… A. 1 B. Akar 2 C. Akar 3 D. 2 E. 3 - Brainly.co.id
Dengan menggunakan rumus trigonometri jumlah dan selisih dua sudut , tentukan nilai : a. sin 165 der…. Question from @prig
![]()
10 Tentukan nilai Tan 15 … | Lihat cara penyelesaian di QANDA

Nilai dari 2 tan 15 / 1 - tan^2 15 adalah

Nilai dari tangen 75 derajat - YouTube

Cara Mencari Tangen 15 Derajat | OLIMPIADE MATEMATIKA

Cara Mencari Tangen 15 Derajat | OLIMPIADE MATEMATIKA

Soal Nilai (tan 75^(@)-tan 15^(@))/(1+tan 75^(@)tan 15^(@)) adalah ….

Nilai dari tan 75° + tan 15° / tan 75° - tan 15° adalah… Tolong bantu jawab ya:)
Nilai dari tan 75 + tan 15 =

Trigonometri + soal
Rumus Jumlah dan Selisih Dua Sudut - Materi Lengkap Matematika

Tan 75 tambah tan 15 - YouTube

Tentukan nilai dari: a. sin 15° b. cos 15° c. tan 15° d. tan 165° e. cos 165° f. cosec 165° - Mas Dayat
Rumus Jumlah dan Selisih Dua Sudut - Materi Lengkap Matematika

Nilai tan 15 adalah …

Tan 15° – tan 15° tan² 22,5° / tan 22,5° – tan² 15° tan 22,5°tolong pake rumus identitas trigonometri

Tan 75 - tan 15 = 2 akar 3 - Brainly.co.id
Nilai Dari Sin 45 Derajat Cos 15 Derajat Adalah

Trigonometri

Soal Nilai dari (sin 15^(@)-cos 15^(@))/(tan 15^(@)) adalah…
![]()
PDF) Penyelesaian Soal Matematika SMA | Sitinur Aini - Academia.edu
Paling Laju Tan 15

SOAL DAN JAWABAN TRIGONOMETRI TANGEN JUMLAH DAN SELISIH SUDUT

Trigonometri : Nilai dari Cot 105. tan 15 - YouTube

Dengan menggunakan perbandingan trigonometri untuk sudut …

Beberapa Cara Menentukan Nilai Eksak Fungsi Trigonometri Sudut Istimewa $15^\circ$ dan $75^\circ$ - M4TH-LAB
Mat Minat Trigonometri | PDF
cot 105 tan15=…
Menghitung Nilai sin dan cos 15 derajat ~ Konsep Matematika (KoMa)

nilai Tan 15 kuadrat - Brainly.co.id

Soal Nilai (2sqrt3tan 15^(@))/(1-tan^(2)15^(@))+(2tan 22,5^(@))/(1-tan^(2)22,5^(@)) adalah ….
Jika tan 15=a,nilai dari tan 225-tan 105/tan 195+tan 105 adalah…. Question from @sitinurasiyah11
Bab III Tri | PDF

kelas11_matematika-ipa_nugroho-maryanto by s. van selagan - issuu

Menentukan Sudut dengan Perbandingan Trigonometri

Trigonometri Rumus Rasio Trigonometri Dasar untuk Jumlah Dua sudut dan - ppt download

Paling Laju Tan 15

nilai tan 165 derajat - YouTube

Soal Nilai tan 105^(@) adalah dots.

Nilai tan 15° adalah…bentuk sederhana dari sin (30° + 6) + cos (60

Contoh soal sudut ganda – cos, sin & tan – Soalfismat.com

Nilai Dari Sin 75 Derajat Min Sin 15 Derajat + Cos 45 Derajat Adalah
Contoh Soal Trigonometri Sudut Ganda dan Pembahasannya ~ Sains Seru

Nilai tan 195° + tan 105° = . . . . - Brainly.co.id
Bagaimana cara menghitung nilai tan 40 dan tan 10 tanpa menggunakan kalkulator? - Quora

Sinus, Cosinus, dan Tangen Sudut Rangkap | Pendidikan Matematika | Laman 3

Nilai dari tan 105 tan 15 =…

Ppt matematika darryl x ips 1

Nilai dari tan 105˚ adalah - YouTube
Nilai cot105∘tan15∘ adalah….

Identitas Sudut Rangkap worksheet

Hasil dari tan 105° - tan 15° =… - Brainly.co.id

Soal Sudut Istimewa Trigonometri

Trigonometri A Rumus Rasio Trigonometri Dasar untuk Jumlah

√ Tabel Sin Cos Tan 0° Sampai 90° Beserta Penjelasan (Lengkap)

Soal sin 150^(@) cos 150^(@) Tan 150^(@)

Tan 150 Derajat Sama Dengan - Tumbuh Tumbuhan

Hitunglah nilai dari tan 165°-tan 15°

Nilai dari tan 105 tan 15 =…

Trigonometri – Ibn Firnas – Bimbingan Belajar dan Privat

Paling Laju Tan 15

Contoh soal sudut ganda – cos, sin & tan – Soalfismat.com

Ejercicio de Lkpd identitas trigonometri

Teks narative legenda

Perhatikan gambar berikut! Tentukan nilai tan (x + y)! - Mas Dayat
Rumus Jumlah dan Selisih Dua Sudut - Materi Lengkap Matematika
What is the value of tan15°? - Quora

Nilai-nilai x yang memenuhi tan(x−15∘)=1 adalah …..

√ Tabel Sin Cos Tan 0° Sampai 90° Beserta Penjelasan (Lengkap)

Catatan tentang PERSAMAAN TRIGONOMETRI - Clearnote

Nilai Dari 4 Sin 45 Derajat Cos 15 Derajat Adalah

Pembahasan contoh soal tangen trigonometri matematika SMA - Asep Respati

Soal nilai tan 15^(@)=p, maka nilai dari sin 105^(@)+cos 255^(@) adalah … A. (-p)/(sqrt(1+p^(

Menghitung sin x dan cos x dari sin x + cos x = 1 dan tan x = 1
nilai Tg 75 derajat + tg 15 derajat adalah - Brainly.co.id

Nilai dari tan 75° + tan 15° / tan 75° - tan 15° adalah… Tolong bantu jawab ya:)

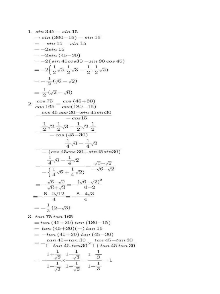
80+ Soal dan Pembahasan Matematika Dasar SMA Trigonometri | defantri.com

Modul soal trigonometri
M4 3gono03 Zenius | PDF