
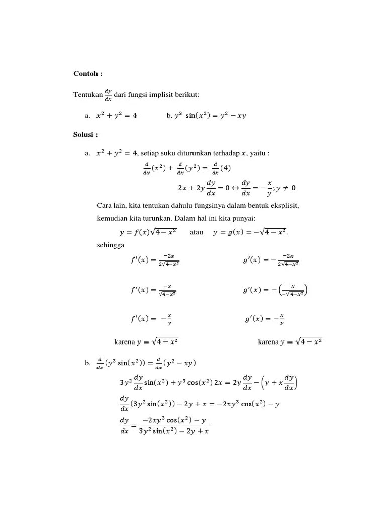
Soal dan Pembahasan Turunan Fungsi Implisit (1-5) | Istana Mengajar

Soal dan Pembahasan Turunan Fungsi Implisit (1-5) | Istana Mengajar

Soal dan Pembahasan Turunan Fungsi Implisit (1-5) | Istana Mengajar

TURUNAN FUNGSI IMPLISIT – Bimbel Online Gulam Halim

TURUNAN FUNGSI TRIGONOMETRI Dani Suandi M Si 1

DIFFERENSIAL IMPLISIT – Deswita Maharani

DIFERENSIAL. - ppt download

turunan fungsi implisit - YouTube

Soal Tentukan (dy)/(dx) dari fungsi implisit y(x-1)+sin^(2)x=cos y adalah

Soal dan Pembahasan Turunan Fungsi Implisit (1-5) | Istana Mengajar
![Turunan - 2 - eko.staff.uns.ac.id .11/25/2015 2 Materi Turunan Fungsi Implisit Turunan Fungsi Parameter - [PDF Document]](https://i0.wp.com/reader020.staticloud.net/reader020/html5/20190715/5cc252cf88c993ba588dc4ff/bg5.png)
Turunan - 2 - eko.staff.uns.ac.id .11/25/2015 2 Materi Turunan Fungsi Implisit Turunan Fungsi Parameter - [PDF Document]

Contoh Turunan Implisit - YouTube

Soal dan Pembahasan Turunan Fungsi Implisit (1-5) | Istana Mengajar
Contoh Soal Turunan Implisit Trigonometri

Soal 1. Dapatkan turunan pertama, _" dari fungsi implisit beikut ini: _ (Poin 20)

Cara Melakukan Turunan Fungsi Implisit: 7 Langkah (dengan Gambar)

turunan fungsi implisit - YouTube

TURUNAN FUNGSI IMPLISIT – Bimbel Online Gulam Halim
Fungsi Implisit | PDF

Contoh Soal Turunan Implisit Trigonometri - Blog Guru Kelas
![]()
Cara Melakukan Turunan Fungsi Implisit: 7 Langkah (dengan Gambar)

Contoh Turunan Implisit - YouTube
![]()
Cara Melakukan Turunan Fungsi Implisit: 7 Langkah (dengan Gambar)

Tentukan dy/dx dari fungsi implisit: a. y= ln(cos^2 (1-x^2)) b. 2xy^2 + e^xy =5

26+ Contoh Soal Turunan Fungsi Implisit Trigonometri - Kumpulan Contoh Soal
![Aturan Rantai, Turunan Fungsi Implisit Dan Turunan Total [PDF|TXT]](https://i0.wp.com/html.pdfcookie.com/02/2019/12/29/yv85r70yknv1/bg3.jpg)
Aturan Rantai, Turunan Fungsi Implisit Dan Turunan Total [PDF|TXT]

semangatku ,kreatifku

turunan trigonometri, turunan rantai, turunan tingkat tinggi, turunan fungsi implisit - YouTube
![Kalkulus] Tutorial 10 Jenis Soal Turunan Fungsi Implisit ! - YouTube](https://i0.wp.com/i.ytimg.com/vi/n0bmZeZWHOw/hqdefault.jpg )
Kalkulus] Tutorial 10 Jenis Soal Turunan Fungsi Implisit ! - YouTube
Solusi PD Dalil Implisit | PDF

Pt 3&4 turunan fungsi implisit dan cyclometri

TURUNAN 2 4 1 Konsep Turunan 4 1

Soal Diketahui kurva yang dinyatakan secara implisit y+sin(xy)=1. Tentukan persamaan garis sing

dy/dx dari ekspresi implisit 1-x^2=cos(x.y) adalah …

28++ Contoh Soal Diferensial Eksplisit - Kumpulan Contoh Soal

Tentukan Turunan Implisit Beriku:

Materi, Soal, dan Pembahasan - Turunan Fungsi Implisit - Mathcyber1997
![]()
Persamaan Differensial (Modul 01) | Dwipurnomoikipbu’s Blog bab i revisi1
Bagaimana cara membedakan fungsi dengan tiga variabel secara implisit - Quora
Home | PDF

Bagaimana Anda membedakan secara implisit 2 = xy-ysin ^ 2x-cos ^ 2xy ^ 2? - 2021 - Go Homework

Contoh Soal Turunan Implisit Trigonometri - Blog Guru Kelas

soal ttg turunan trigonometri dan turunan implisit - Brainly.co.id

Materi, Soal, dan Pembahasan - Turunan Fungsi Implisit - Mathcyber1997

Soal dan Pembahasan Turunan Fungsi Implisit (1-5) | Istana Mengajar

FUNGSI IMPLISIT

Problem Set Turunan | Part 3 | Turunan Implisit - YouTube

Soal (dy)/(dx) dari elispresi implisit sin x cos y=2x adalah …. A. (2-cos x cos y)/(sin x sin
![]()
Cara Melakukan Turunan Fungsi Implisit: 7 Langkah (dengan Gambar)

Menentukan Turunan Fungsi Implisit
tentukan dy/dx dari fungsi implisit 1. 2x + sin y = x² + 2y 2. xy² + cosx = tan²y mohon - Brainly.co.id
Contoh Soal Turunan Implisit Trigonometri - Contoh Soal Pelajaran
Turunan | PDF

Pt 2 turunan fungsi eksponen, logaritma, implisit dan cyclometri-d4

Soal Turunan implisit dari cos(xy)=x^(2)y+xy^(2) adalah…

Tugas 7 Fungsi Implisit
![]()
Cara Melakukan Turunan Fungsi Implisit: 7 Langkah (dengan Gambar)

Turunan Fungsi Implisit - YouTube

Turuna parsial fungsi dua peubah atau lebih
Matematika Dasar 1B

Fungsi Implisit (Bahasa) – Irvan

Tentukan dy/dx dalam x dan y untuk tiap fungsi implisit b…

17++ Contoh Soal Turunan Implisit - Kumpulan Contoh Soal

Modul MTK Minat Kls 12-terkunci-35-42_organized_pagenumber Pages 1 - 8 - Flip PDF Download | FlipHTML5

soal ttg turunan trigonometri dan turunan implisit - Brainly.co.id
![]()
Cara Melakukan Turunan Fungsi Implisit: 7 Langkah (dengan Gambar)
Matdas 109-112

Soal dan Pembahasan Turunan Fungsi Implisit (1-5) | Istana Mengajar

Matematika MinatMateri Turunan Trigonometri Kelas 12 MIA - Belajar Pintar - Aku Pintar

File:Implicit-curve-sin-cos.png - Wikipedia
Contoh Soal Turunan Implisit - Contoh Soal Pelajaran
Y+ cos (xy^2)+3x^2=4 turunan implisit dari - Brainly.co.id

Contoh Soal Turunan Implisit – Goreng
![Fungsi Implisit1 - [PDF Document]](https://i1.wp.com/static.fdokumen.com/img/1200x630/reader020/image/20190731/55cf9162550346f57b8d24eb.png?t=1628803898)
Fungsi Implisit1 - [PDF Document]
![]()
Cara Melakukan Turunan Fungsi Implisit: 7 Langkah (dengan Gambar)
![Soal Untuk a dan b konstanta dari persamaan implisit {[x=a sin theta],[y=b cos theta].:} Ekspre](https://i0.wp.com/zs-user.s3.ap-southeast-1.amazonaws.com/production/questions/553a9db9-2094-4703-9fd0-9440408d37bf.png)
Soal Untuk a dan b konstanta dari persamaan implisit {[x=a sin theta],[y=b cos theta].:} Ekspre

math – Laman 2 – Alma’s Journal
Silde 10 | PDF

tentukan dy/dx dalam x dan y untuk tiap fungsi implisit tersebut. - Brainly.co.id

Turunan

Deferensi implisit dy/dx dari cos(xy^2)=y^2+y

FUNGSI PENGERTIAN DAN UNSURUNSUR FUNGSI JENISJENIS FUNGSI EKSPLISIT

10 SOAL TURUNAN FUNGSI IMPLISIT - YouTube
![]()
Cara Melakukan Turunan Fungsi Implisit: 7 Langkah (dengan Gambar)

Turunan Fungsi Trigonometri - ppt download

Materi, Soal, dan Pembahasan - Turunan Fungsi Implisit - Mathcyber1997
Silde 10 | PDF

Tentukan dy/dx jika diketahui fungsi-fungsi implisit berikut ini(jawab poin A dan B saja tidak apa - Brainly.co.id

Persamaandifferensial

Biaya Implisit (Implicit Cost), Ketahui Contoh Dan Perhitungan Mudahnya

Turunan Fungsi Trigonometri Berbentuk Implisit - YouTube

Aturan Pencarian Turunan - ppt download

Y+ cos (xy^2)+3x^2=4 turunan implisit dari - Brainly.co.id
Contoh Soal Implisit Kalkulus - Bakti Soal

Pt 3&4 turunan fungsi implisit dan cyclometri

TURUNAN - ppt download
![]()
Jshshsjsjshshssjjsjs - Statistika - 710056 - UNNES - StuDocu

Tolong bantu tentukan dy/dx dari soal berikut ke bentuk implisit, terima kasih - Brainly.co.id
Turunan Fungsi Implisit: Turunan Fungsi Implisit

Tutorial 5