
Contoh Soal Dan Jawaban Transformasi Laplace Pada Persamaan Diferensial - Kemendikbud

M1001 Transformasi Laplace : Ringkasan dan Contoh Soal 1 - YouTube

Modul 3 transformasi laplace
Contoh Soal Dan Jawaban Transformasi Laplace | PDF

Modul 3 transformasi laplace

Transformasi Laplace Xs xt xt 1Xs Transformasi Laplace
![]()
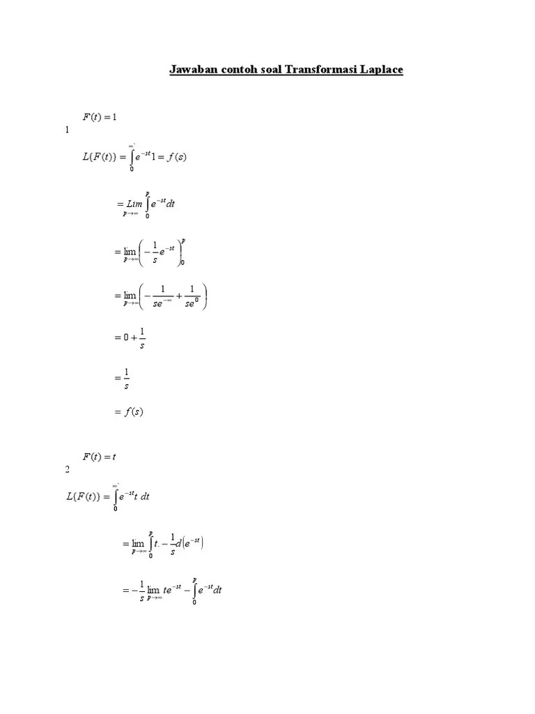
PDF) Jawaban contoh soal Transformasi Laplace | Ester Herlina - Academia.edu

Bahas Lengkap Integral: Solusi-solusi Persamaan Differensial Menggunakan Transformasi Laplace

M1001 Transformasi Laplace : Pengantar dan Pembuktian 1 Transformasi f(t) = t^n - YouTube

Modul 3 transformasi laplace

Penerapan Transformasi Laplace pada penyelesaian - ppt download

Transformasi Laplace « teknik mesin 2011 universitas brawijaya

Modul 3 transformasi laplace

PERSAMAAN DIFFERENSIAL BIASA - ppt download

Contoh Soal Transformasi Laplace Balik

Contoh Soal Invers Transformasi Laplace – Sedang

MODUL Iii TRANSFORMASI LAPLACE - ppt download

Modul 3 transformasi laplace
![Jawaban contoh soal Transformasi Laplace .Jawaban contoh soal Transformasi Laplace Author: THE A - [PDF Document]](https://i0.wp.com/demo.fdokumen.com/img/378x509/reader024/reader/2020123109/5c7f7bdb09d3f257328b6e37/r-1.jpg)
Jawaban contoh soal Transformasi Laplace .Jawaban contoh soal Transformasi Laplace Author: THE A - [PDF Document]

Contoh Soal Invers Transformasi Laplace
0 ,…) , ,, ( = dx y d dx dy y x F

Transformasi Laplace untuk Persamaan Differensial 1 - YouTube
Transformasi Laplace

Transformasi Laplace « teknik mesin 2011 universitas brawijaya

transformasi-laplace.pdf | Taufiqur Rokhman

Contoh Soal Dan Pembahasan Transformasi Laplace - Contoh Soal Terbaru
Invers Transformasi Laplace | PDF

TRANSFORMASI LAPLACE. - ppt download
![Jawaban Contoh Soal Transformasi Laplace - [PDF Document]](https://i2.wp.com/demo.fdokumen.com/img/378x509/reader024/reader/2021022205/55cf9b64550346d033a5e489/r-2.jpg)
Jawaban Contoh Soal Transformasi Laplace - [PDF Document]

Persamaan Diferensial, Persamaan Beda dan Fungsi Alih - KATAKOALA

Contoh Soal Persamaan Diferensial Non Exact | Taufiqur Rokhman
25++ Contoh Soal Diferensial Laplace - Kumpulan Contoh Soal
Contoh Soal Transformasi Laplace Dan Jawaban | PDF

PERSAMAAN DIFERENSIAL PARSIAL – Mechanical Engineering
![]()
DOC) soal dan pembahasan persamaan diferensial orde ke-n | Nopiyani Sutardi - Academia.edu

Transformasi Laplace Ditemukan oleh PierreSimon Marquis de Laplace
![]()
Top PDF Transformasi Laplace dari Masalah Nilai Batas pada Persamaan Diferensial Parsial - 123dok.com

pembahasan soal soal transformasi laplace 1 - YouTube

SOAL-SOAL DAN PEMBAHASAN PD ORDE 2 NON HOMOGEN KOEF KONSTAN | Taufiqur Rokhman

Penerapan Transformasi Laplace pada penyelesaian - ppt download
PAM 253 PERSAMAAN DIFERENSIAL BIASA Topik: Transformasi Laplace

PPT - TRANSFORMASI LAPLACE PowerPoint Presentation, free download - ID:3674173
PAM 253 PERSAMAAN DIFERENSIAL BIASA Topik: Transformasi Laplace

16++ Contoh Soal Laplace Turunan - Kumpulan Contoh Soal

Transformasi Laplace « teknik mesin 2011 universitas brawijaya
Course: Persamaan Diferensial Parsial

Transformasi laplace (bag. kedua)
![BAB V PERSAMAAN DIFFERENSIAL SIMULTAN Tujuan file.upi.edu/Direktori/FPTK/JUR._PEND._TEKNIK_MESIN/…Jawaban dari persamaan differensial yang didapat … Metode transformasi laplace, - [PDF Document]](https://i3.wp.com/demo.fdokumen.com/img/378x509/reader024/reader/2021010116/5a86f2047f8b9a882e8d53db/r-2.jpg)
BAB V PERSAMAAN DIFFERENSIAL SIMULTAN Tujuan file.upi.edu/Direktori/FPTK/JUR._PEND._TEKNIK_MESIN/…Jawaban dari persamaan differensial yang didapat … Metode transformasi laplace, - [PDF Document]
Dapatkah kamu menyelesaikan sistem persamaan diferensial x' = x + 2y, y' = x + e^(-t) dengan syarat awal x(0) = y(0) = 0 dengan menggunakan TRANSFORMASI LAPLACE? - Quora
Transformasi Laplace | PDF

Prak-13: Implementasi Transformasi Laplace - TeachMeSoft
![]()
Penerapan Transformasi Laplace Dalam Menyelesaikan Persamaan Diferensial Linear Pada Rangkaian Seri RLC.

Contoh Soal Invers Transformasi Z Dan Penyelesaiannya

BAB III PEMBAHASAN. 3.1 Solusi Partikulir Masalah Nilai Awal Persamaan Saint Venant 2D - PDF Download Gratis

TRANSFORMASI LAPLACE Yulvi Zaika. - ppt download

transformasi-laplace

M1001 Transformasi Laplace : Ringkasan dan Contoh Soal 1 - YouTube

Transformasi Laplace (bag.1)

Transformasi Laplace « teknik mesin 2011 universitas brawijaya

- Solusi Persamaan Diferensial Dengan Transformasi Laplace.pptx

Contoh Soal Dan Penyelesaian Transformasi Laplace - Barisan Contoh
PAM 253 PERSAMAAN DIFERENSIAL BIASA Topik: Transformasi Laplace
Bab 11 Invers Transformasi Laplace | PDF

TRANSFORMASI LAPLACE INVERS (beserta contoh soal) - YouTube

Transformasi Laplace Ditemukan oleh PierreSimon Marquis de Laplace
![]()
DOC) Transformasi-laplace | candra wahyu - Academia.edu
Solusi Persamaan Diferensial Solusi Persamaan Diferensial Dengan Transformasi Laplace g p
![]()
Top PDF APLIKASI TRANSFORMASI LAPLACE UNTUK SOLU - 123dok.com

Transformasi Laplace (bag.1)

Diferensiasi dan Integrasi Transformasi Laplace - ppt download
SISTEM KENDALI OTOMATIS Transformasi Laplace
![Jawaban Tugas - .Jawaban Tugas . Invers Transformasi Laplace . b . c . a Tentukan transformasi laplace - [PDF Document]](https://i1.wp.com/demo.fdokumen.com/img/378x509/reader025/reader/2021042907/5c94808a09d3f2302b8be94e/r-2.jpg)
Jawaban Tugas - .Jawaban Tugas . Invers Transformasi Laplace . b . c . a Tentukan transformasi laplace - [PDF Document]

Contoh Soal Diferensial
PAM 253 PERSAMAAN DIFERENSIAL BIASA Topik: Transformasi Laplace
Solusi Persamaan Diferensial Solusi Persamaan Diferensial Dengan Transformasi Laplace g p
Belajar Matematika: (9) contoh soal transformasi lapace-5
Kelompok 13 Transformasi Laplace Dari Fungsi Tangga | PDF

Contoh Soal PD orde 2 non homogen | Taufiqur Rokhman

M1001 Transformasi Laplace : Ringkasan dan Contoh Soal 1 - YouTube

Transformasi Laplace (bag.1)
TRANSFORMASI LAPLACE
![5. Solusi Persamaan Diferensial Dengan Transformasi Laplace.pptx - [PPTX Powerpoint]](https://i2.wp.com/reader015.fdokumen.com/reader015/slide/20170801/54e1b5624a7959986b8b471e/document-2.png?t=1630445069)
- Solusi Persamaan Diferensial Dengan Transformasi Laplace.pptx - [PPTX Powerpoint]
Solusi Persamaan Diferensial Solusi Persamaan Diferensial Dengan Transformasi Laplace g p
PAM 253 PERSAMAAN DIFERENSIAL BIASA Topik: Transformasi Laplace

Contoh Soal Persamaan Diferensial Orde 1 Dan Penyelesaiannya - Contoh Soal Terbaru
![]()
contoh soal tranformasi laplace.docx - KODE IKLAN 336x280 Setelah mengikuti kuliah ini kamu akan dpt menentukan transf laplace utk fgs fgs sederhana | Course Hero

DIKTAT Persamaan Diferensial - staff.uny.ac. Lestari M.Sc…‚ ‚ JURUSAN PENDIDIKAN MATEMATIKA … Materi tersebut untuk pembahasan persamaan diferensial … Contoh soal
BAB III TRANSFORMASI LAPLACE

BAB V PERSAMAAN DIFERENSIAL PARSIAL - Free Download PDF

Transformasi laplace
Contoh Soal Diferensial Sederhana

M804 PDB Orde 2 Homogen : Solusi Umum (part 1) - YouTube
FOURIER April 2013, Vol. 2, No. 1, 54 – 70 54 APLIKASI TRANSFORMASI LAPLACE PADA RANGKAIAN LISTRIK Arifin1, Muhammad Wakhid M

27++ Contoh Soal Persamaan Diferensial Sederhana - Kumpulan Contoh Soal
Pengertian Dan Contoh Soal PD Homogen | PDF
Transformasi Laplace
Solusi Persamaan Diferensial Solusi Persamaan Diferensial Dengan Transformasi Laplace g p
Untitled
Penyelesaian Persamaan Ruang Keadaan

Laplace Transform - PDF Download Gratis