
Latihan soal uas pengantar manajemen
Soal Manajemen Keuangan | PDF

Contoh Soal Manajemen Keuangan - HIMATANSI FEB UNSIL
Contoh Soal Struktur Modal Manajemen Keuangan
Contoh Soal Manajemen Keuangan 2 Dan Jawabannya - Peranti Guru

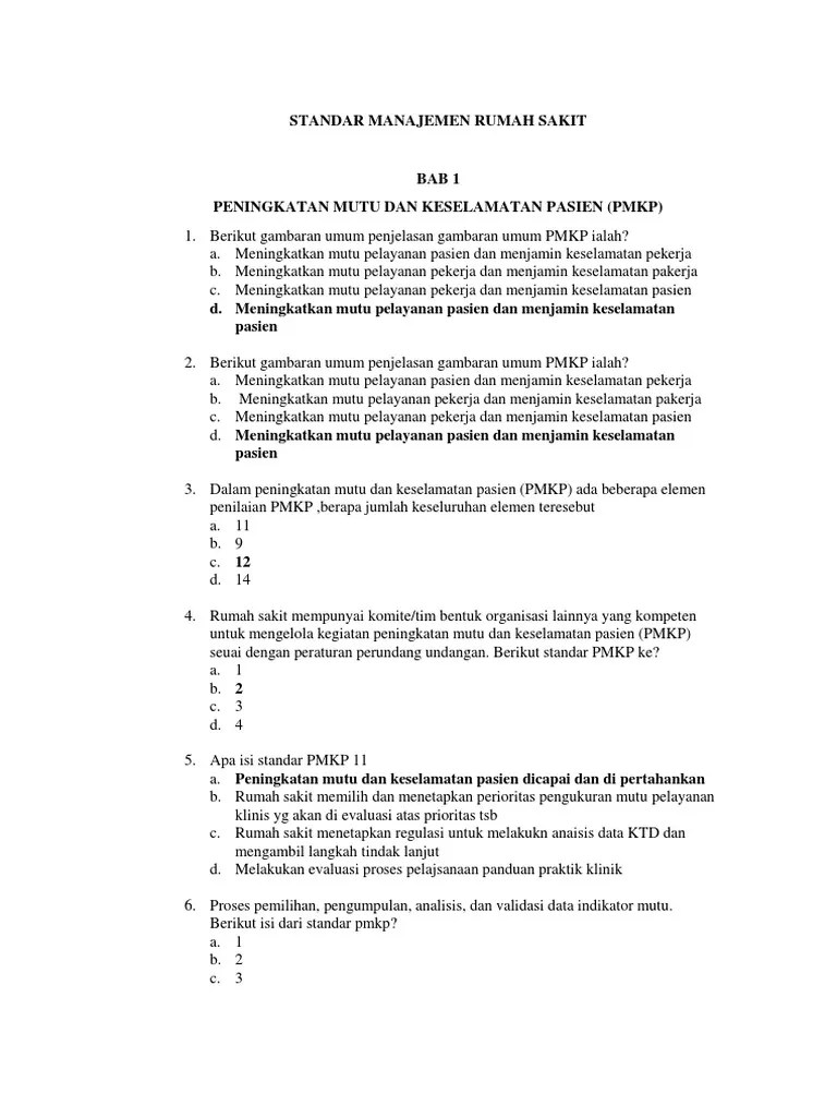
50 soal pilihan ganda manajemen
Contoh Soal Manajemen Operasional | PDF
![]()
Page 126 - Modul CA - Manajemen Keuangan Lanjutan (Plus Soal)

Contoh Soal Manajemen Keuangan - HIMATANSI FEB UNSIL

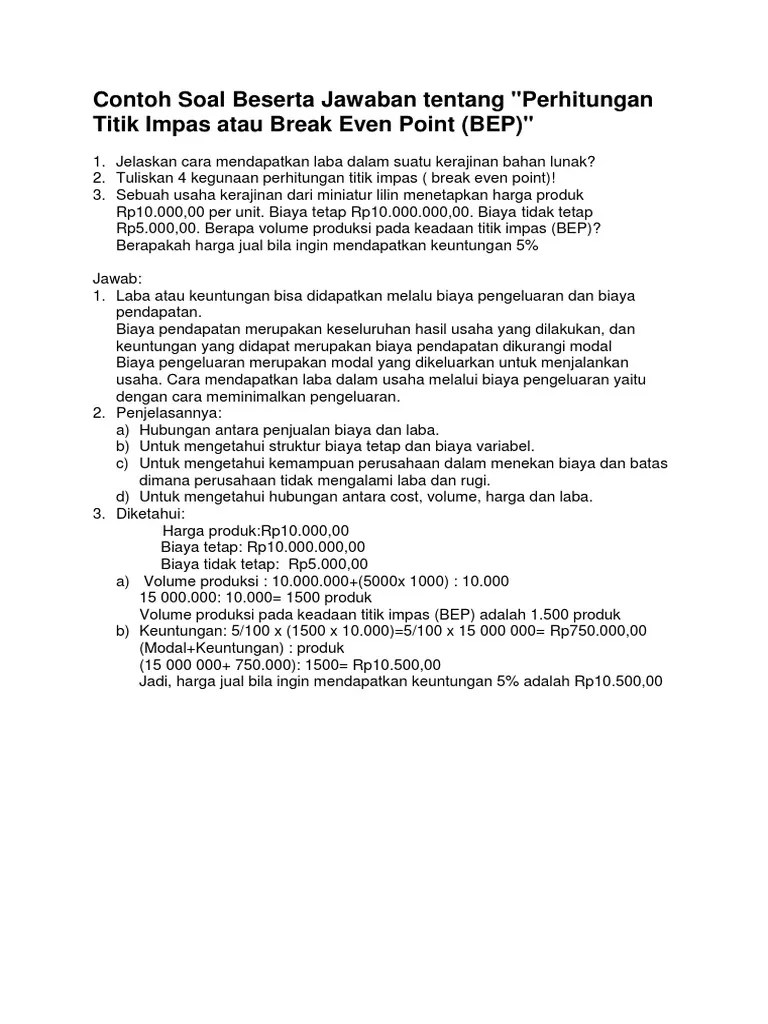
15+ Contoh Soal Bep Manajemen Operasional - Kumpulan Contoh Soal

Contoh soal uts fe ui

Contoh Soal Manajemen Keuangan 2 Dan Jawabannya – Belajar
![]()
DOC) PEMBAHASAN SOAL DAN JAWABAN MATA KULIAH MANAJEMEN KEUANGAN II By Iwan Sugianto co Diah ciptaning,LSW | iwan sugianto - Academia.edu
Contoh Soal Manajemen Laboratorium | PDF
![]()
Top PDF Contoh Soal Manajemen Laboratorium - 123dok.com
Contoh Soal Pilihan Ganda Tentang Manajemen Beserta Jawabannya
Contoh Soal Pilihan Ganda Dasar Manajemen Keuangan | PDF
![Jawaban Contoh Soal Manajemen Piutang - [Download DOCX]](https://i1.wp.com/img.dokumen.tips/img/1200x630/reader015/image/20170729/54e0d60b4a79591c258b4e3f.png?t=1627197413)
Jawaban Contoh Soal Manajemen Piutang - [Download DOCX]

Contoh Soal Dan Jawaban Struktur Modal Dan Leverage - Contoh Soal Terbaru
Contoh Soal Dan Jawaban Manajemen Sains - Kemendikbud

UAS Manajemen Keuangan II | Bank Soal Manajemen Unair

50 Contoh Soal Pilihan Ganda tentang MANAJEMEN & Jawaban - Muttaqin id

Soal Bab 9 Soal kasus 1 CONTOH SOAL - ppt download

Contoh Soal Manajemen Proyek Dan Jawabannya

Contoh Soal UAS Manajemen Farmasi Kelas 11 SMT 1 - Inputsoal.com
![]()
Soal Uts Akuntansi Manajemen Dan Jawaban - Kumpulan Contoh Surat dan Soal Terlengkap
Contoh Soal Teori Manajemen Keuangan
Contoh Soal Dan Jawaban Akuntansi Manajemen 2 - Peranti Guru

Contoh-soal Manajemen Ips x Smanim
![]()
Perhitungan margin kontribusi pr unit dan rasio margin kontribusi TOTAL PER | Course Hero
![]()
CONTOH SOAL UAS MANAJEMEN PROYEK BSI SEM
![12 MANAJEMEN PROYEK (PERT) - 6623 – Taufiqur .Contoh Soal Dengan menggunakan … Jawaban: Penentuan Nilai t … Sobarsa Kosasih, Manajemen Operasi, Mitra Wacana Media, 2009 - [PDF Document]](https://i3.wp.com/demo.fdokumen.com/img/378x509/reader024/reader/2020123013/5a718ad97f8b9aa2538cf612/r-2.jpg)
12 MANAJEMEN PROYEK (PERT) - 6623 – Taufiqur .Contoh Soal Dengan menggunakan … Jawaban: Penentuan Nilai t … Sobarsa Kosasih, Manajemen Operasi, Mitra Wacana Media, 2009 - [PDF Document]
![]()
DOC) Mnj-keuangan-kel-9-ok | Reni Krisna Dewi - Academia.edu
Contoh Soal Manajemen Proyek Cpm Dan Pert – Python

√ Soal Ujian UT (Universitas Terbuka) Manajemen Disertai Kunci Jawaban Lengkap Untuk Semua Semester

contoh soal PG untuk Manajemen Pemasaran

Contoh Soal Jawab Manajemen Persediaan
Praktik Akuntansi Manajemen (Soal Dan Jawaban) | PDF
![]()
CONTOH SOAL AKUNTANSI MANAJEMEN - CONTOHSOALAKUNTANSI MANAJEMEN COSTPLUSPRICING CONTOH 1 .Perusah | Course Hero
Contoh Soal Dan Jawaban Manajemen Konflik - Kemendikbud

contoh soal ujian manajemen agribisnis

35 Contoh Soal Pengantar Manajemen & Jawaban (Essay, Pilgan) - Muttaqin id

Contoh Soal Tes Kuliah Manajemen

KUMPULAN SOAL MKU DAN Mata Kuliah Jurusan Pendidikan Ekonomi - HIMPUNAN MAHASISWA JURUSAN PENDIDIKAN EKONOMI

50+ Contoh Soal dan Jawaban Manajemen - E-KELAS.COM
![]()
DOC) Contoh Soal: Manajemen Operasional | Bayu Saputera - Academia.edu

Soal Manajemen Operasional 1 - Kunci Ujian
![]()
50 soal pilihan ganda manajemen
![]()
Contoh Soal Dan Jawaban Manajemen Operasi - Peranti Guru

Soal Uts Teori Tentang Manajemen Keuangan
Contoh Soal Dan Jawaban Tentang Manajemen - Kemendikbud
Contoh Soal Manajemen Operasional Tentang Produktivitas
![]()
Contoh Latihan Soal MSDM Dan Ada

Contoh Soal Materi Manajemen serta Jawaban dan Penjelasannya - Semua Halaman - Adjar
Contoh-Soal Manajemen Ips X Smanim | PDF

UTS MANAJEMEN PEMASARAN | Bank Soal Manajemen Unair

Contoh Soal Dan Jawaban Obligasi Manajemen Keuangan
![]()
Contoh Soal Manajemen Persediaan Dan Jawabannya - Barisan Contoh

Manajemen operasional

Contoh Soal Layout Manajemen Operasi
Bank Soal Manajemen Farmasi

Contoh Soal Fungsi Manajemen dalam Pengelolaan Badan Usaha

SOAL manajemen keuangan

Contoh Soal Jawab Manajemen Persediaan

Soal Ekonomi : Manajemen dan Organisasi dan Kunci Jawaban Lengkap - Muttaqin id
![]()
Soal Dan Jawaban Manajemen Strategi - Peranti Guru

Contoh Soal Manajemen Kas

CONTOH SOAL MATKUL MANAJEMEN LOGISTIK

Contoh Soal Akuntansi Manajemen Dan Jawabannya

Contoh Soal Ujian Tugas Akhir Program Manajemen Operasi, Beserta Perhitungannya | dee-roy

40 CONTOH SOAL ULANGAN TENGAH SEMESTER MANAJEMEN PENDIDIKAN TYPE PILIHAN GANDA - EduBlogs.com
Soal Latihan Dan Jawaban Akuntansi Manajemen - Kumpulan Contoh Surat dan Soal Terlengkap
![Soal Manajemen [+Kunci Jawaban] 2021 - Fivser](https://i3.wp.com/1.bp.blogspot.com/-oBVVQaaIc-w/YBTmL72pEXI/AAAAAAAACog/uqZLvzc57SIhK8QZk0l9vrPrunDaO2mwgCLcBGAsYHQ/w0/Soal%2BManajemen%2Bdan%2BKunci%2BJawaban%2B2021.png)
Soal Manajemen [+Kunci Jawaban] 2021 - Fivser

Cara Mengerjakan Contoh Soal Manajemen Keuangan (Asistensi UTS 2020) - YouTube

Contoh Soal Ekonomi Kelas 10 Bab 9 Manajemen ~ Part 1 - SekolahMuOnline

Contoh soal-dan-jawaban-ujian-sertifikasi-jabatan-fungsional-auditor
Contoh Soal Manajemen Persediaan Dan Penyelesaiannya
Contoh Soal Hitungan Dan Jawaban Manajemen Operasional - Bagikan Contoh

Soal & Jawaban Bab Manajemen ( Pilgan, Essay, Portofolio) - Muttaqin id

Contoh Soal Ujian Manajemen Strategi - Pintu Dunia

Contoh Soal CPNS Analis Manajemen Lantas dan Jawabannya 2019

Contoh Soal Akuntansi Manajemen Dan Jawabannya 2021

Contoh Soal Manajemen Biaya Stratejik dan Budgeting - Part 4 - YouTube
![]()
Contoh Soal Analisis Laporan Keuangan Dan Jawabannya Bsi - Nusagates
Contoh Soal Manajemen Piutang Dan Jawabannya
QWERTY

Contoh soal uas manejemen operasional

Contoh Soal Ujian Ekonomi Syariah - Pintu Dunia

Detail Contoh Soal Manajemen Kas Belajar Di Rumah

182 Contoh Soal Pilihan Ganda Finance dan Bahasa Inggris

Soal-soal Archives | Laboratorium Manajemen dan Rekayasa Konstruksi

Contoh Soal Dan Jawaban Manajemen Keuangan 2 Semester 4 - ID Aplikasi

Kumpulan Soal Pilihan Ganda dan Kunci Jawaban Manajemen Proyek Perangkat Lunak Tentang Konsep Dasar Manajemen Proyek - Berbagiruang.com

Quiz Pengantar Manajemen dan Bisnis dengan Jawabannya (Bonus UTS & UAS) - AneIqbal
Contoh Soal Manajemen Keuangan - 1 | PDF
![CONTOH SOAL DAN JAWABAN - Smart Accounting nbsp; Contoh Soal Pengantar Sistem Pengendalian Manajemen 2 7. Di bawah ini merupakan tujuan dari pengendalian intern, kecuali: a. Melindungi - [PDF Document]](https://i2.wp.com/demo.fdokumen.com/img/378x509/reader023/reader/2020111521/5a6fdcf57f8b9a9d538b6d5c/r-2.jpg)
CONTOH SOAL DAN JAWABAN - Smart Accounting nbsp; Contoh Soal Pengantar Sistem Pengendalian Manajemen 2 7. Di bawah ini merupakan tujuan dari pengendalian intern, kecuali: a. Melindungi - [PDF Document]

Contoh Soal dan Kunci Jawaban Pelajaran Sistem Informasi Manajemen - Roni Loka

Manajemen Keuangan (SN321063) Capital Budgeting – 1 - ppt download

Contoh Soal dan Pembahasan Materi Manajemen - (SMA/ MA/ SMK) - Alif MH

Contoh Soal Ujian Manajemen Sumber Daya Manusia (MSDM) – travel tale