
15+ Contoh Algoritma dan Flowchart dalam Kehidupan Sehari-hari

Algoritma Dalam Kehidupan Sehari-Hari Dalam Bahasa Natural Dan Flowchart - Mata Pelajaran

15+ Contoh Algoritma dan Flowchart dalam Kehidupan Sehari-hari

Contoh-Contoh Algoritma Flowchart Dalam Kehidupan Sehari-Hari – Mamikos Info

5 Contoh Algoritma flowchart dalam kehidupan sehari-hari | Referensi Siswa | Diagram alir, Diagram, Hidup

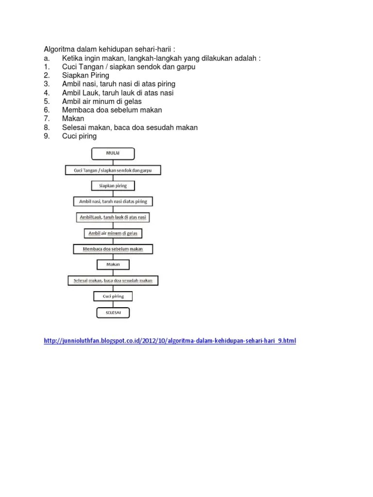
Contoh Algoritma dalam Kehidupan Sehari Hari - Jajat Blog

5 Contoh Algoritma dan Flowchart Dalam Kehidupan Sehari-hari

contoh algoritma sederhana dalam kehidupan sehari hari - Brainly.co.id

15+ Contoh Algoritma dan Flowchart dalam Kehidupan Sehari-hari

Pengertian ALGORITMA adalah: Mengenal Apa Itu Algoritma

Detail Contoh Algoritma Dan Flowchart Dalam Kehidupan Sehari Hari Berbagai Contoh

Contoh-Contoh Algoritma Flowchart Dalam Kehidupan Sehari-Hari – Mamikos Info

Algoritma Percabangan Dan Misalnya Dalam Kehidupan Sehari Hari

Algoritma dalam kehidupan sehari-hari dalam bahasa natural dan flowchart | Referensi Siswa

Algoritma Dalam Kehidupan Sehari
![Algoritma Dalam Kehidupan Sehari - [DOCX Document]](https://i2.wp.com/reader020.staticloud.net/reader020/html5/20190928/563dbb41550346aa9aab9c4e/bg4.png)
Algoritma Dalam Kehidupan Sehari - [DOCX Document]

8 Contoh Algoritma dalam Kehidupan Sehari-hari | Kelas Programmer

Contoh Algoritma Dalam Kehidupan Sehari Hari Dan Flowchartnya

Detail 5 Contoh Algoritma Flowchart Dalam Kehidupan Sehari Hari Referensi Siswa

Contoh-Contoh Algoritma Flowchart Dalam Kehidupan Sehari-Hari – Mamikos Info
Algoritma Dalam Kehidupan Sehari | PDF

5 Contoh Algoritma flowchart dalam kehidupan sehari-hari

Mengenal Apa Itu Algoritma : Definisi, Ciri - Ciri, dan Contohnya - IDCloudHost

Contoh-Contoh Algoritma Flowchart Dalam Kehidupan Sehari-Hari – Mamikos Info

15+ Contoh Algoritma dan Flowchart dalam Kehidupan Sehari-hari

Pengertian ALGORITMA adalah: Mengenal Apa Itu Algoritma

Contoh Algoritma Dalam Kehidupan Sehari Hari – Berbagai Contoh
![10+ Contoh Flowchart Sederhana & Algoritmanya [+PENJELASAN]](https://i1.wp.com/www.nesabamedia.com/wp-content/uploads/2019/06/kopi.png)
10+ Contoh Flowchart Sederhana & Algoritmanya [+PENJELASAN]

dasar-dasar algoritma

Pengertian Algoritma — contoh, jenis, kegunaan, cara membuat – ApaYangDimaksud.com

21 Contoh Algoritma Dan Flowchart - Badoy Studio

- Buatlah Flowchart Berangkat Sekolah - herysucahyono

21 Contoh Algoritma Dan Flowchart - Badoy Studio

Contoh algoritma dalam kehidupan sehari

Contoh Flowchart Percabangan Dalam Kehidupan Sehari Hari – Berbagai Contoh

Contoh Algoritma - Pengertian, Sejarah, Ciri, Jenis & Struktur

contoh algorima kehidupan sehari hari mengunakan flowchart - Brainly.co.id

Mengenal Algoritma Pemograman - Nguprek

Contoh-Contoh Algoritma Flowchart Dalam Kehidupan Sehari-Hari – Mamikos Info

Algoritma membuat Nasi Goreng Lengkap Dengan Pseudocode dan Flowchart Membuat Nasi Goreng - Anak IT

Aplikasi Generator DC pada kehidupan sehari-hari | LOOK AT HERE

Penulisan Algoritma Pemrograman Yang Benar Dan Sesuai Kaidah

Algoritma, Pengertian, Sejarah, Hingga Manfaatnya dalam Kehidupan Sehari- hari - - Berita Info Publik, Pendidikan Pelayanan Publik
![]()
ALGORITMA and PEMROGRAMAN Teori dan Prak (3)

Algoritma dan Pemrograman - ppt download

Algoritma dan Flowchar… | Haikal Rahman
![Cara Mudah Membuat Flowchart Yang Baik dan Benar [LENGKAP]](https://i2.wp.com/i2.wp.com/sharingconten.com/wp-content/uploads/2020/01/Flowchart-Menghitung-Luas-Segitiga.jpg?resize=772%2C386)
Cara Mudah Membuat Flowchart Yang Baik dan Benar [LENGKAP]

Algoritma dan Diagram Alir | Kaaeka’s Blog

15+ Contoh Algoritma dan Flowchart dalam Kehidupan Sehari-hari

Contoh Algoritma Membuat Mie Instan Beserta Pseudocode dan Flowchart Membuat Mie Instan - Anak IT
Contoh Algoritma Dikehidupan Sehari | PDF

PENGENALAN ALGORITMA DEFINISI ALGORITMA Algoritma adalah urutan langkahlangkah

Contoh Flowchart Perulangan Dalam Kehidupan Sehari Hari – Berbagai Contoh
![KONTRAK PEBELAJARAN - .4/1/2015 5 Contoh Algoritma Dalam Kehidupan Sehari- hari • Cara membuat kue • Cara memprogram perkuliahan • Cara mendaftar Tugas Akhir • Cara mengendarai - [PDF Document]](https://i2.wp.com/demo.fdokumen.com/img/378x509/reader024/reader/2021010909/5a736d9a7f8b9aac538e8b90/r-1.jpg)
KONTRAK PEBELAJARAN - .4/1/2015 5 Contoh Algoritma Dalam Kehidupan Sehari- hari • Cara membuat kue • Cara memprogram perkuliahan • Cara mendaftar Tugas Akhir • Cara mengendarai - [PDF Document]

Contoh algoritma dalam kehidupan sehari

Ays Rahmadian Subhi » Blog Archive » Algoritma, Flow Chart, and Pseudo Code

Logika Algoritma & Pemrograman - ppt download

7 Contoh Algoritma Pemrograman Dasar untuk Latihan - DosenIT.com

Contoh Algoritma Sekuensial

Pengertian ALGORITMA adalah: Mengenal Apa Itu Algoritma
Contoh Algoritma Dalam Kehidupan Sehari

Contoh Algoritma Sederhana Dalam Kehidupan Sehari Hari – Berbagai Contoh
Contoh Algoritma dan Flowchart Pengertian Serta Kegunaannya

Algoritma dan Flowchart Cara Membuat Pop Mie

- Tuliskan 3 contoh algoritma Urut 2. Tuliskan 3 contoh algoritma Perulangan 3. Tuliskan 3 contoh algoritma Percabangan

Pengertian Algoritma, Kriteria, Fungsi dan Klasifikasinya

Algoritma: Definisi, Ciri, Jenis, Struktur dan Contohnya

Materi Logika dan Algoritma

Pengertian Algoritma Beserta,Tujuan, Fungsi, Manfaat, Sifat, Ciri Lengkap

riesa: flowchart kerja lampu lalu lintas | Lampu lalu lintas

3 Contoh Algoritma Sekuensial (Runtunan) | Kelas Programmer
Contoh Algoritma dan Flowchart Pengertian Serta Kegunaannya

Contoh Algoritma dalam Kehidupan Sehari Hari - Erincoodi

ALGORITMA PEMROGRAMAN Abdul Kudus SSi MSi Ph D

KONTRAK PEBELAJARAN - .4/1/2015 5 Contoh Algoritma Dalam Kehidupan Sehari- hari • Cara membuat kue

CONTOH ALGORITMA DAN FLOWCHARTNYA - YouTube

Algoritma Adalah; Pengertian, Sejarah, dan Contoh Algoritma

Algoritma dan Flowchart Cara Memasak Nasi

Contoh Algoritma Perulangan Dalam Kehidupan Sehari Hari – Berbagai Contoh

Algoritma Membuat Secangkir Kopi Manis Lengkap Dengan Pseudocode dan Flowchart Membuat Secangkir Kopi Manis - Anak IT

Algoritma flowchart menghitung luas (lingkaran, segitiga, persegi panjang dan menampilkan hasilnya)

Contoh Algoritma dalam Kehidupan Sehari-hari | Official Blog of Merlinda Wibowo

Mengenal Apa Itu Algoritma : Definisi, Ciri - Ciri, dan Contohnya - IDCloudHost

Contoh Algoritma ~ 35+ images soal dan jawaban algoritma, contoh flowchart algoritma selection sort, bagaimana contoh kasus algoritma yang memiliki strukur

Materi Logika dan Algoritma

Algoritma pemilihan (selection), apa itu? | by Mochamad Iqbal Dwi Cahyo | UNIKOM Codelabs | Medium

Algoritma Adalah; Pengertian, Sejarah, dan Contoh Algoritma

15+ Contoh Algoritma dan Flowchart dalam Kehidupan Sehari-hari

Contoh Algoritma Dan Flowchart-Flip eBook Pages 1 - 5| AnyFlip | AnyFlip

Algoritma dan Struktur Data - ppt download

Contoh Algoritma Dalam Kehidupan Sehari – Beinyu.com

Belajar TIK — Algoritma dan Bahasa Pemrograman

Contoh Program Algoritma Greedy - guildpotent

2 Contoh Algoritma Insertion Sort untuk Latihan - DosenIT.com
![]()
ALGORITMA and PEMROGRAMAN Teori dan Prak (1)

Pengertian Algoritma dan Contoh Algoritma, Lengkap! | Gilang Ahmad Ismail
![]()
Terapkan Algoritma Machine Learning dalam Kehidupan Sehari-H…

Algoritma : Pengertian, Sejarah, Contoh Dalam Kehidupan Sehari-hari, Algoritma Pemrograman - Webillian.Com
![RPP Pemrograman Dasar - [PDF Document]](https://i1.wp.com/reader017.fdokumen.com/reader017/html5/js20200117/5e211f4646a14/5e211f4ccab7a.jpg)
RPP Pemrograman Dasar - [PDF Document]
Contoh Algoritma dan Flowchart Pengertian Serta Kegunaannya