
Tentukan nilai mutlak |-8n|, n bilangan asli - YouTube
![tentukan nilai mutlak [-8n],n bilangan asli - Brainly.co.id](https://i1.wp.com/id-static.z-dn.net/files/d65/7516bd772eed557c5d1af48de8a4917e.jpg)
tentukan nilai mutlak [-8n],n bilangan asli - Brainly.co.id

nilai mutlak dari |8n|,n bilangan asli adalah - Brainly.co.id

tentukan nilai mutlak untuk setiap bentuk berikut ini : a. |-8n|,n - Brainly.co.id

√ 1. tentukan nilai mutlak untuk setiap bentuk berikut ini a. (-8n) n bilangan asli b.2 akar 3-3 c. 3 per 7 - 2 per 5 - Ilmu Edukasi

jawaban dari soal ‘Tentukan nilai mutlak dari |-8n|,n bilangan asli

Tentukan nilai mutlak untuk setiap bentuk berikut! 1. |-8n|,n bilangan - Brainly.co.id

√ 1. tentukan nilai mutlak untuk setiap bentuk berikut ini a. (-8n) n bilangan asli b.2 akar 3-3 c. 3 per 7 - 2 per 5 - Ilmu Edukasi

nilai mutlak, persamaan dan pertidaksamaan, bse matematika kelas 10 k 13 revisi 2016 no uk 1,1 n - YouTube

- Tentukanlah nilai mutlak untuk setiap bentuk berikut ini. a). |-8n|, n bilangan asli b). |2√3 - - Brainly.co.id

Tentukan nilai mutlak dari | -8n l , dengan n bilangan asli - YouTube

- Tentukanlah nilai mutlak untuk setiap bentuk berikut ini. a) |-8n, n bilangan asli e) 125 - 30b) 213-33 2c)g) |(3n)2-, n bilangan

- Tentukanlah nilai mutlak untuk setiap bentuk berikut ini. a) |-8n, n bilangan asli e) 125 - 30b) 213-33 2c)g) |(3n)2-, n bilangan

Uji Kompetensi 1.1Tentukanlah nilai mutlak untuk setiap bentuk berikut ini.a) |-8n, n bilangan asli - Brainly.co.id

tentukan nilai mutlak untuk setiap bentuk berikut ini : a. |-8n|,n - Brainly.co.id

Tentukanlah nilai mutlak untuk setiap bentuk berikut ini A) |-8n| , n bilangan asli B) |2(akar - Brainly.co.id

Uji Kompetensi 1.1 1. Tentukanlah nilai mutlak untuk setiap bentuk berikut ini. a) |-8n, n bilangan asli e) 125 - 31 b) 2/3-31 f) 125

Tentukan nilai mutlak untuk setiap bentuk berikut ini : a. |-8n|,n bilangan asli b. |12x(-3): (2-5)|

Soal 5. Buktikan bahwa 8n^(3)-5n habis dibagi 3

Tentukanlah nilai mutlak untuk setiap bentuk berikut ini….

Pernyataan matematis 5n+1 - 8n - 9 dengan n bilangan asli selalu habis dibagi - YouTube

Kunci Jawaban Matematika Kelas 10, Uji Kompetensi Persamaan Nilai Mutlak Halaman 25 - Ringtimes Bali

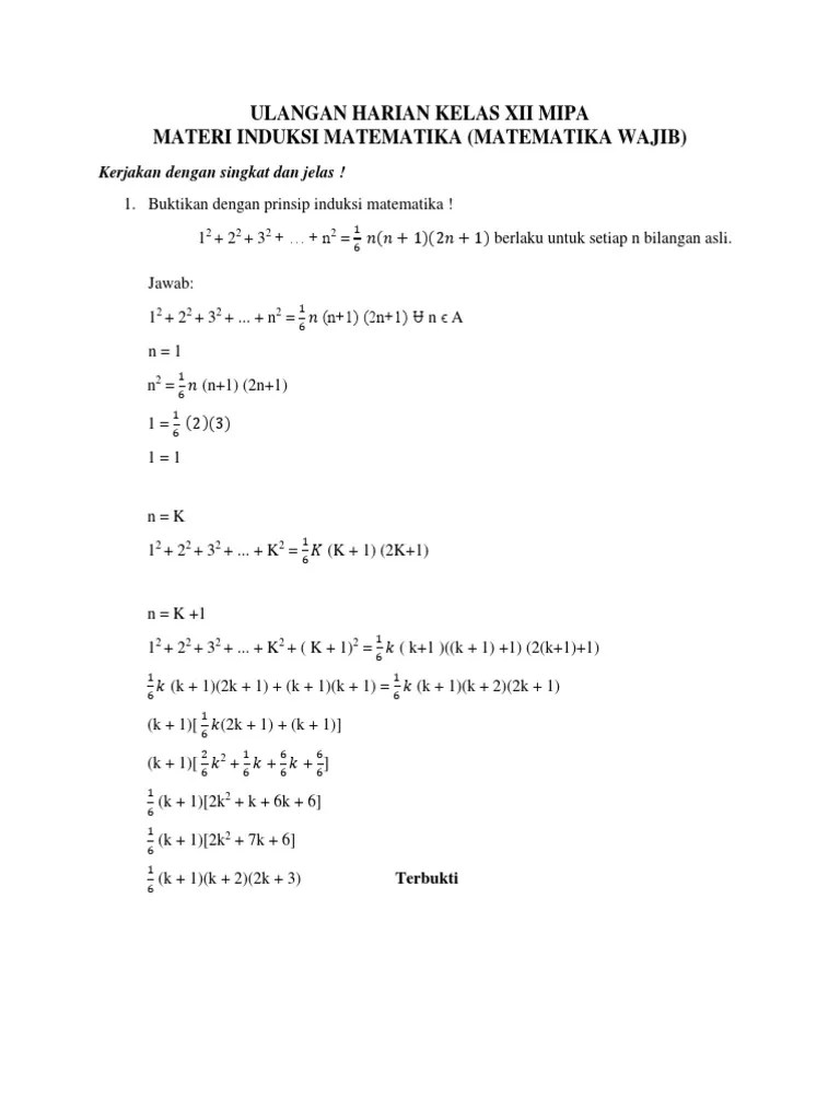
Buktikan dengan induksi matematika. 1+4+7+…+(3n-2)=(1/2…

Alternatif Penyelesaian Soal no. 1 Ukom 1.1 Hal. 25 Matematika Wajib kelas 10 SMA K13 - YouTube

tentukan nilai mutlak untuk setiap bentuk berikut ini : a. (-8n),n bilangan asli - Brainly.co.id

Tentukan nilai mutlak dari | -8n l , dengan n bilangan asli - YouTube

Di ketahui k= x= 6n, n bilangan asli Dan L = x = 8n, n bilangan asli. K irisan L= - Brainly.co.id

Soal Tentukanlah nilai mutlak untuk setiap bentuk berikut ini.

Tentukan nilai mutlak dari| (3n)2n-1| ,n bilangan asli - YouTube

Pernyataan matematis 5n + 1– 8n – 9 dengan n bilangan asli selalu habis dibagi
Uh Induksi Matematika (2017-2018) | PDF

9n – 1 habis dibagi 8 - Mas Dayat

Soal Tentukanlah nilai mutlak untuk setiap bentuk berikut ini. a) |-8n|,n bilangan asli

8 pangkat n dikurang 3 pangkat n habis dibagi 5 - YouTube

Untuk n bilangan asli, nilai polinomial 8x^(4n+3)-7x^(8n-…

Kunci Jawaban Uji Kompetensi 1.1 Matematika SMA Kelas 10 Hal 25 | Nesajamath
Induksi Matematika - Materi Lengkap Matematika

Kelas x matematika wajib

8-n|,n bilangan asli

Tentukan nilai mutlak dari | -8n l , dengan n bilangan asli - YouTube

Buktikan pernyataan matematis berupa keterbagian berikut …

Soal Bilangan asli n bersisa 2 jika dibagi 7 dan bersisa 3 jika dibagi 4 . Di antara bilangan b

Buktikan setiap pernyataan berikut menggunakan induksi ma…

Soal Jika “ n!=8n(n-2) ” merupakan notasi faktorial maka nilai _ bilangan asli yang memenuhi pe

- Tentukanlah nilai mutlak untuk setiap bentuk berikut ini. a) |-8n, n bilangan asli e) 125 - 30b) 213-33 2c)g) |(3n)2-, n bilangan

Uji Kompetensi 1.1 No 1 Kelas 10 SMA SMK Persamaan Nilai Mutlak Paket Matematika 2017 Halaman 25 26 - YouTube

Soal Jika “ n!=8n(n-2) ” merupakan notasi faktorial maka nilai _ bilangan asli yang memenuhi pe

8 pangkat n dikurang 3 pangkat n habis dibagi 5 - YouTube
Induksi Matematika (P3) | PDF

Tentukan nilai mutlak untuk setiap bentuk berikut ini! Tolong bagi yg bisa. - Brainly.co.id

Buktikan setiap pernyataan berikut menggunakan induksi ma…

Tentukan nilai mutlak dari| (3n)2n-1| ,n bilangan asli - Brainly.co.id
Soal-Soal Olimpiade Matematika 2002-2007 | PDF

Tentukan nilai mutlak dari | -8n l , dengan n bilangan asli - YouTube

Soal Perhatikan pernyataan matematis berupa keterbagian berikut untuk semua bilangan asli _. _
Bagaimana cara membuktikan bahwa 3^(2n+2)-8n-9 habis dibagi 64 dengan menggunakan teorema binomial - Quora

Soal pembinaan olimpiade mtk sma by hudah riyanto - issuu

POLA DAN BARISAN BILANGAN I POLA BILANGAN 1

Buktikan pernyataan matematis berupa keterbagian berikut …

buktikan n³ -n habis dibagi 3 untuk setiap n bilangan asli - Brainly.co.id

Soal Jika “! “ merupakan notasi faktorial, maka nilai n bilangan asli yang memenuhi persamaan n

Tentukan nilai mutlak dari | -8n l , dengan n bilangan asli - YouTube
Bab Iii | PDF

Buktikan dengan induksi matematika. 1+4+7+…+(3n-2)=(1/2…

Soal Tentukanlah nilai mutlak untuk setiap bentuk berikut ini. a) |-8n|,n bilangan asli
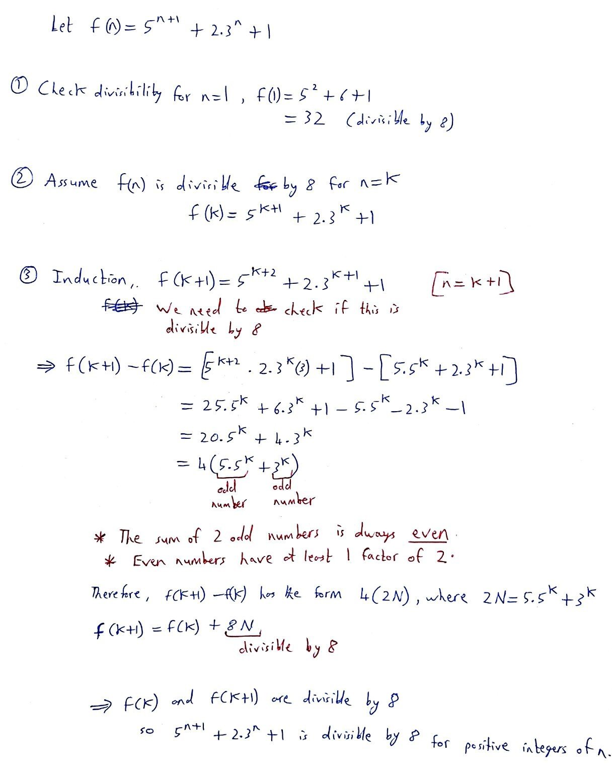
Bagaimana membuktikan bahwa 8 membagi [matematika]5^{n+1}+2(3^n)+1[/matematika] - Quora

Barisan dan deret 3G

Tentukan nilai mutlak untuk setiap bentuk bentuk berikut ini a. |-8n|, n bilangan asli b. |2akar - Brainly.co.id
Buktikan Dengan Induksi Matematika Bahwa Untuk Semua Bilangan Asli N – Rasanya
Soal Induksi | PDF
Uji Kompetensi 1.1 Matematika Kelas 10 Kurikulum 2013 Nilai Mutlak

POLA DAN BARISAN BILANGAN I POLA BILANGAN 1
![]()
Analisis Real (Barisan Bilangan Real) Latihan bagian 2.1

Contoh Soal Induksi Matematika Habis Dibagi 5 - Kumpulan Contoh Surat dan Soal Terlengkap
![]()
DOC) KUMPULAN SOAL JAWAB OLIMPIADE MATEMATIKAdaripertemuan Berau | hasriani ani - Academia.edu

Soal Pernyataan matematis 5^(n+1)-8n-9 dengan n bilangan asli selalu habis dibagi

Contoh Soal Induksi Matematika Habis Dibagi 5 - Kumpulan Contoh Surat dan Soal Terlengkap

Kunci Jawaban Matematika Kelas 10 Halaman 25,26 Uji Kompetensi 1.1 Persamaan dan Tidak Persamaan - Ringtimes Bali

Soal Pernyataan matematis 5^(n+1)-8n-9 dengan n bilangan asli selalu habis dibagi

3 Trik Cara Menemukan Bilangan Berurutan Dengan Jumlah Tertentu

Mintaa tolong banget bantuin nomer 27 Aja - Brainly.co.id

Pengantar dasar matematika2
![]()
Staff Site Universitas Negeri Yogyakarta
REMEDIAL KD 3.1 | PDF

9n – 1 habis dibagi 8 - Mas Dayat
Berapakah akar ke-n dari n? - Quora
![Barisan dan Deret - rinim.files. tersebut dikenal sebagai barisan bilangan Real {a n} dengan a n adalah suku ke-n. … Selidiki kekonvergenan dari 20 2 1 n n ne f … - [PDF Document]](https://i2.wp.com/demo.dokumen.tech/img/378x509/reader025/reader/2021050201/5a795bfc7f8b9a4a518d8b16/r-2.jpg)
Barisan dan Deret - rinim.files. tersebut dikenal sebagai barisan bilangan Real {a n} dengan a n adalah suku ke-n. … Selidiki kekonvergenan dari 20 2 1 n n ne f … - [PDF Document]
LKPD Persamaan Nilai Mutlak Kelas X | PDF
![]()
Teori Bilangan.docx - Nama Kelas Matematika A1 NIM Mata Kuliah Teori Bilangan M1 KB1 latihan 1 Buktikan bahwa untuk setiap bilangan asli n berlaku 4 10 | Course Hero

30+ Soal dan Pembahasan Matematika Dasar SMA Barisan dan Deret Aritmetika | defantri.com

Tentukan nilai mutlak dari | -8n l , dengan n bilangan asli - YouTube

Modul 2 keterbagian bilangan bulat

6.Diketahui K={x/x=6n,n bilangan asli} L={x/x=8n,n bilangan asli} 7.Diketahui A={x/x=4p,x<25,p - Brainly.co.id
Induksi Remed | PDF

- tentukanlah nilai mutlak untuk setiap bentuk be…

Tentukan nilai mutlak dari | -8n l , dengan n bilangan asli - YouTube

Soal Dan Jawaban Matematika Induksi - Kumpulan Contoh Surat dan Soal Terlengkap
Jika jumlah n suku pertama suatu barisan adalah 4n^2 + 5n, maka suku umum barisan tersebut adalah? - Quora

K13AR10MATWJB0703-56c3eaf3 Pages 1 - 6 - Flip PDF Download | FlipHTML5

Wahana Matematika (IPS) by Ayu Rahayu - issuu