
2x + 3y)(px + qy) = rx2 + 23xy + 12y2 - Brainly.co.id
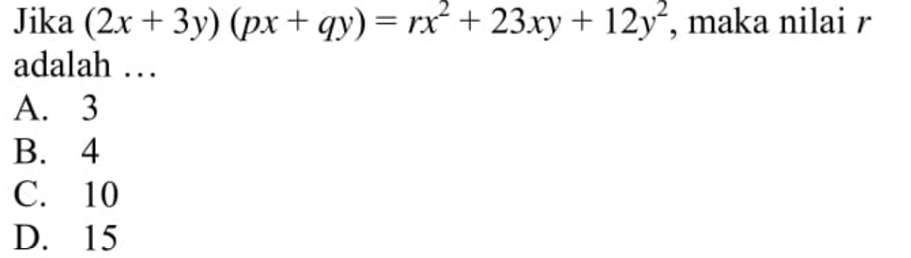
Jika (2x + 3y)(px + qy) = rx2 + 23xy + 12y2, maka …

tentukan nilai r pada persamaan bentuk aljabar (2x+3y)(px+qy)=rx2+23xy+12y2 - Brainly.co.id

2.Tentukan nilai r pada persamaan bentuk aljabar (2x+3y)(px+qy)=rx2 + 23xy+ 12y2 yang sehabis huruf - Brainly.co.id

2x+3y)(px+qy)=rx2+23xy+12y2 tentukan nilai r pada persamaan bentuk aljabar - Brainly.co.id

Tentukan nilai r pada persamaan bentuk aljabar(2x + 3y)(px + qy) = rx2 + 23xy + 12y2 - Brainly.co.id

2x+3y)(px+qy)=rx2+23xy+12y2. Nilai r pada bentuk aljabar tersebut adalah……… A5 B10 C12 D24 - Brainly.co.id
tentukan nilai “r” pada persamaan bentuk aljabar (2x + 3y) (px + qy) = rx2 + 23xy + 12y2 - Brainly.co.id

tentukan nilai “r” pada persamaan bentuk aljabar (2x + 3y) (px + qy) = rx2 + 23xy + 12y2 - Brainly.co.id

Tentukan nilai r pada persamaan bentuk aljabar (2x + 3y)(px + qy) = rx2 + 23xy + 12y2 - Brainly.co.id

Tentukan Nilai R Pada Persamaan Bentuk Aljabar – Nasi
tentukan nilai r pada persamaan bentuk aljabar(2x+3y)(px+qy)=rx2+23xy+12y2 - Brainly.co.id

Tentuka nilai r pada persamaan bentuk aljabar (2x+3y) (px+qy) =rx2+23xy+12y2

Kelas 7 - Aljabar - Ayo Kita Berlatih 3.3 - YouTube

Tolong jawab ya nomor 2 aja - Brainly.co.id
![]()
Jika (2x + 3y)(px + qy) = rx2 + 23xy + 12y2, maka …
Tentukan Nilai R Pada Persamaan Bentuk Aljabar – Nasi

√ Tentukan nilai r pada persamaan bentuk aljabar (2x + 3y)(px + qy) = rx2 + 23xy + 12y(akar 2) - Teras Edukasi
Tentukan Nilai R Pada Persamaan Bentuk Aljabar - Berbagi Bentuk Penting

Kelas 07 smp matematika s1 siswa 2017 by P’e Thea - issuu

Tentukan Nilai R Pada Persamaan Bentuk Aljabar – Nasi

Tentukan Nilai R Pada Persamaan Bentuk Aljabar – Nasi

√ Tentukan nilai r pada persamaan bentuk aljabar (2x + 3y)(px + qy) = rx² + 23xy + 12y² - Jawab Aku

- Jika (2x + 3y)(px + qy) = rx2 + 23xy + 12y2,maka nilai r adalah ….a. 3b. 410d. 25C. - Brainly.co.id
Jawaban Buku Matematika Kelas 7 Ayo Kita Berlatih 3.3 Hal 222 - 224 Tentukan Hasil Kali dari | Pentium Sintesi
Soal Buat Google Classroom | PDF

Tentukan Nilai R Pada Persamaan Bentuk Aljabar - Berbagi Bentuk Penting
- Tentukan nilai r pada persamaan bentuk aljabar - Gauthmath

Tentukan Nilai R Pada Persamaan Bentuk Aljabar – Nasi
soal

gimana caranya nih !! - Brainly.co.id

Tentukan Nilai R Pada Persamaan Bentuk Aljabar - Berbagi Bentuk Penting

tentukan nilai r pada persamaan bentuk aljabar (2x+3y ) ( px+gy)= rx²+23xy+ 12y² note : - Brainly.co.id
Tentukan Nilai R Pada Persamaan Bentuk Aljabar - Berbagi Bentuk Penting
Jika (2x + 3y)(px + qy) = rx2 + 23xy + 12y2, maka …
![]()
Mengalikan bentuk aljabar Menghitung operasi tambah | ana kusumaning wardani - Academia.edu
Jika (2x + 3y)(px + qy) = rx2 + 23xy + 12y2, maka …

Ayo Kita Berlatih 3.3 Matematika Kelas 7 Bab 3 Bentuk Aljabar nomor 1-4 halaman 222 - 223 - YouTube

Tentukan Nilai R Pada Persamaan Bentuk Aljabar – Nasi

Tentukan Nilai R Pada Persamaan Bentuk Aljabar – Nasi
Jika (2x + 3y) (px qy) = rx^2 + 23xy + + 12y^2, maka nila…
Tentukan Nilai R Pada Persamaan Bentuk Aljabar – Nasi
Bab Aljabar | PDF

tolong bantu saya plissss:( - Brainly.co.id
Tentukan Nilai R Pada Persamaan Bentuk Aljabar – Nasi

Tentukan Nilai R Pada Persamaan Bentuk Aljabar - Berbagi Bentuk Penting
![]()
PDF) persamaan kuadrat | fauzi muzaqqi - Academia.edu

Bantuin jawab dong…. Matematika SMP - Brainly.co.id
Jika (2x + 3y)(px + qy) = rx2 + 23xy + 12y2, maka …
Soal Buat Google Classroom | PDF
Tentukan Nilai R Pada Persamaan Bentuk Aljabar - Berbagi Bentuk Penting
tentukan nilai r pada persaman bentuk aljabar - Brainly.co.id

aku bingung penyelesaiannya kak…
Bank Soal Matematika SMP Bentuk Aljabar 1 Libre

Tentukan Nilai R Pada Persamaan Bentuk Aljabar – Nasi

Tentukan Nilai R Pada Persamaan Bentuk Aljabar – Nasi
![]()
Tentukan Nilai R Pada Persamaan Bentuk Aljabar - Berbagi Bentuk Penting

Lkpd soal mengenal bentuk aljabar 3.5 pertemuan 2

Tentukan Nilai R Pada Persamaan Bentuk Aljabar – Nasi
Tentukan Nilai R Pada Persamaan Bentuk Aljabar - Berbagi Bentuk Penting

Jawab yg Benar yaaaaaa……. - Brainly.co.id

Tentukan Nilai R Pada Persamaan Bentuk Aljabar – Nasi

Pembahasan Soal dan Jawaban Tugas Matematika: September 2019
![071-104 PK+ FK - [PDF Document]](https://i0.wp.com/demo.dokumen.tech/img/378x509/reader024/reader/2021021814/548a2dcdb47959050d8b5c57/r-2.jpg)
071-104 PK+ FK - [PDF Document]

Tentukan Nilai R Pada Persamaan Bentuk Aljabar – Nasi

tolong besok dicocokin - Brainly.co.id

Tentukan dengan penyelesaian himpunan eleminasi 1.3x+5y : -1 5x-6y : -16 2.2x+3y : 8 3x+2y : 17 3.x-2y : -6 -4x+3y ; 10 tolong.. kak

Bilangan Himpunan - Jumali264 Blog . A = { x | x 1, x ∈ bilangan cacah
Acak Aljabar | PDF
![]()
Modul OSN Matematika SMP Folder OSN.pdf - Original File Diunduh di 8-SPENSASI.BLOGSPOT.COM SIAP OSN MATEMATIKA SMP 2015 Hak Cipta 2014 pada Wahyu | Course Hero
![]()
Tentukan Nilai R Pada Persamaan Bentuk Aljabar - Berbagi Bentuk Penting

Tentukan Nilai R Pada Persamaan Bentuk Aljabar – Nasi

2x+3y)(px+qy)=rx2+23xy+12y2. Nilai r pada bentuk aljabar tersebut adalah……… A5 B10 C12 D24 - Brainly.co.id

Kelas 7 - Aljabar - Ayo Kita Berlatih 3.3 - YouTube
![Matematika 2001 - [PDF Document]](https://i2.wp.com/demo.fdokumen.com/img/378x509/reader023/reader/2020111509/55999c111a28ab870d8b47a3/r-2.jpg)
Matematika 2001 - [PDF Document]

Tentukan dengan penyelesaian himpunan eleminasi 1.3x+5y : -1 5x-6y : -16 2.2x+3y : 8 3x+2y : 17 3.x-2y : -6 -4x+3y ; 10 tolong.. kak

Tentukan Nilai R Pada Persamaan Bentuk Aljabar – Nasi

Matematika 7 Sekar Ramadhanti D.N-Flip eBook Pages 201 - 250| AnyFlip | AnyFlip

Bilangan Himpunan - Jumali264 Blog . A = { x | x 1, x ∈ bilangan cacah
![]()
Modul Mengenal bentuk Aljabar 7.3.5 (nurwaningsih)

Tentukan Nilai R Pada Persamaan Bentuk Aljabar – Nasi

Kelas VII Matematika BS Sem1 Pages 201 - 250 - Flip PDF Download | FlipHTML5

tolong jawab nomer 2 dong dalam bentuk aljabar - Brainly.co.id

071-104 PK+ FK
Hasil dari (2x+3y)(x−4y) adalah ….

Dijawab ya perkalian bentuk aljabar - Brainly.co.id

071-104 PK+ FK

Matematika 2001

Tentukan Nilai R Pada Persamaan Bentuk Aljabar - Berbagi Bentuk Penting
Soal Buat Google Classroom | PDF

Tentukan Nilai R Pada Persamaan Bentuk Aljabar – Nasi
![Soal operasi aljabar dan himpunan operasi aljabar dan … Bila kedua orang tersebut mulai menyalakannya - [PDF Document]](https://i3.wp.com/demo.vdokumen.com/img/378x509/reader025/reader/2021050204/5c9587e109d3f29c7b8ce3c2/r-1.jpg)
Soal operasi aljabar dan himpunan operasi aljabar dan … Bila kedua orang tersebut mulai menyalakannya - [PDF Document]

Tolong jawabin MTK yang nomer 1 a,b,c sama nomer 2 - Brainly.co.id

Tentukan Nilai R Pada Persamaan Bentuk Aljabar - Berbagi Bentuk Penting

tolong jawab mas bro ?? yg no 1 - Brainly.co.id

Edisi-revisi-2017-Kelas-7-SMP-Matematika-Siswa-42423 Pages 201 - 250 - Flip PDF Download | FlipHTML5
Kunci Matematika Vii k13 Pk-U-I | PDF

Lkpd soal mengenal bentuk aljabar 3.5 pertemuan 2

Tentukan Nilai R Pada Persamaan Bentuk Aljabar - Berbagi Bentuk Penting
![]()
Matematika 7 Sekar Ramadhanti D.N-Flip eBook Pages 201 - 250| AnyFlip | AnyFlip